Features of the Preparation and Luminescence of Langmuir-Blodgett Films Based on the Tb(III) Complex with 3-Methyl-1-phenyl-4-stearoylpyrazol-5-one and 2,2′-Bipyridine
Abstract
:1. Introduction
2. Materials and Methods
2.1. Preparation of Solutions
2.2. IR Spectroscopy and IR Microscopy
2.3. Luminescence Spectroscopy
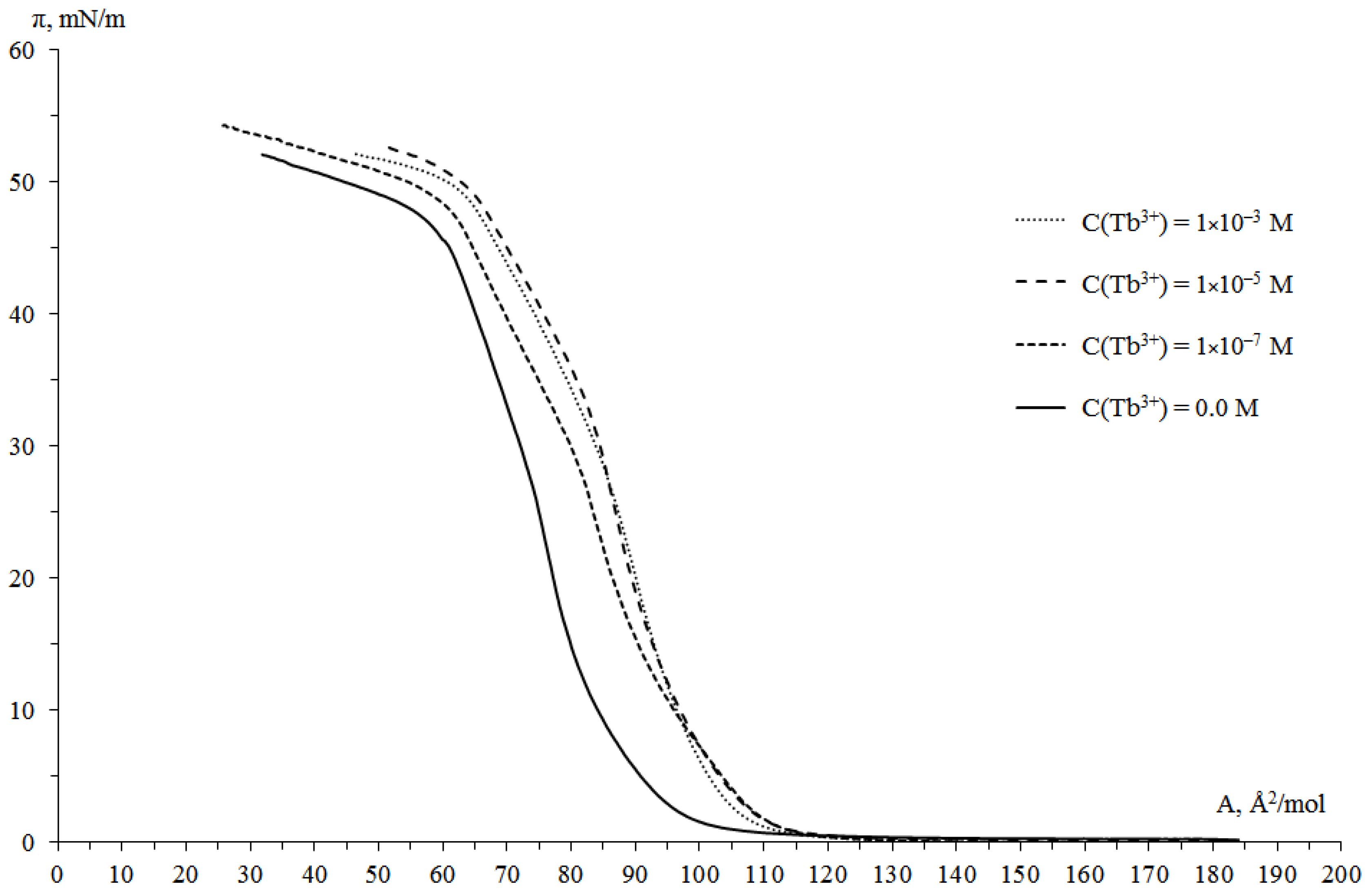
3. Results
3.1. General Characterisation
3.2. IR Spectroscopy
3.3. Luminescent Properties
4. Conclusions
Supplementary Materials
Author Contributions
Funding
Institutional Review Board Statement
Informed Consent Statement
Data Availability Statement
Acknowledgments
Conflicts of Interest
References
- Hussain, S.A.; Dey, B.; Bhattacharjee, D.; Mehta, N. Unique supramolecular assembly through Langmuir–Blodgett (LB) technique. Heliyon 2018, 4, e01038. [Google Scholar] [CrossRef] [PubMed] [Green Version]
- Hasegawa, M.; Ishii, A. Thin-film formation for promoting the potential of luminescent lanthanide coordination complexes. Coord. Chem. Rev. 2020, 421, 213458. [Google Scholar] [CrossRef]
- Kitchen, J.A. Lanthanide-based self-assemblies of 2,6-pyridyldicarboxamide ligands: Recent advances and applications as next-generation luminescent and magnetic materials. Coord. Chem. Rev. 2017, 340, 232–246. [Google Scholar] [CrossRef] [Green Version]
- Bünzli, J.-C.G. On the design of highly luminescent lanthanide complexes. Coord. Chem. Rev. 2015, 293, 19–47. [Google Scholar] [CrossRef]
- Gusev, A.; Shul’gin, V.; Braga, E.; Zamnius, E.; Lyubomirskiy, N.; Kryukova, M.; Linert, W. Strong enhancement of ionic luminescence Dy(III), Tb(III), Eu(III) and Sm(III) by pyridyltriazoles. J. Lumin. 2019, 212, 315–321. [Google Scholar] [CrossRef]
- Girard-Egrot, A.P.; Blum, L.J. Langmuir–Blodgett Technique for Synthesis of Biomimetic Lipid Membranes. In Nanobiotechnology of Biomimetic Membranes; Fundamental Biomedical Technologies; Martin, D.K., Ed.; Springer: Boston, MA, USA, 2007; Volume 1, p. 29. [Google Scholar] [CrossRef]
- Ando, Y.; Hiroike, T.; Miyashita, T.; Miyazaki, T. Fabrication of ferrous stearate multilayer films by the Langmuir–Blodgett method. Thin Solid Films 1995, 266, 292–297. [Google Scholar] [CrossRef]
- Brandl, D.; Schoppmann, C.; Tomaschko, C.; Schurr, M.; Voit, H. Vacuum stability of Langmuir–Blodgett films of fatty acids and fatty acid salts. Thin Solid Films 1995, 256, 220–225. [Google Scholar] [CrossRef]
- Liu, L.; Chen, M.; Yang, J.; Liu, S.-Z.; Du, Z.-L.; Wong, W.-Y. Preparation, characterization, and electrical properties of dual-emissive Langmuir–Blodgett films of some europium-substituted polyoxometalates and a platinum polyyne polymer. J. Polym. Sci. Part A Polym. Chem. 2010, 48, 879–888. [Google Scholar] [CrossRef]
- Gu, Z.-R.; Fu, H.; Liu, L.; Li, F.-B.; Liu, S.-Z.; Wang, Y.-R.; Du, Z.-L.; Ho, C.-L.; Wong, W.-Y. Preparation, characterization, and photoelectric properties of Langmuir–Blodgett films of some europium-substituted polyoxometalates and 2-aminofluorene with tunable emission color. J. Inorg. Organomet. Polym. Mater. 2013, 23, 665–672. [Google Scholar] [CrossRef]
- Wu, S.; He, P.; Guan, J.; Chen, B.; Luo, Y.; Yan, Q.; Zhang, Q. Effects of synergetic ligands on structure and fluorescence properties of Langmuir and Langmuir–Blodgett films containing Eu(TTA)3nL. J. Photochem. Photobiol. A Chem. 2007, 188, 218–225. [Google Scholar] [CrossRef]
- Adati, R.D.; Lima, S.A.M.; Davolos, M.R.; Jafelicci, M. Langmuir–Blodgett films incorporating an ionic europium complex. J. Alloy Compd. 2009, 488, 595–598. [Google Scholar] [CrossRef]
- Gang, Z.; Yanze, Z.; Pingssheng, H. Fabrication and characterization of Langmuir–Blodgett films based on rare earth β-Diketonate complexes. Thin Solid Films 2004, 468, 268–272. [Google Scholar] [CrossRef]
- Zhang, R.-J.; Liu, H.-G.; Yang, K.-Z.; Si, Z.-K.; Zhu, G.-Y.; Zhang, H.-W. Fabrication and fluorescence characterization of the LB films of luminous rare earth complexes Eu(TTA)3Phen and Sm(TTA)3Phen. Thin Solid Films 1997, 295, 228–233. [Google Scholar] [CrossRef]
- Zhang, R. Dewetting of core/ring microstructure in Langmuir–Blodgett films. Colloids Surf. A Physicochem. Eng. Asp. 2008, 321, 16–19. [Google Scholar] [CrossRef]
- Shul’gin, V.; Pevzner, N.; Gusev, A.; Sokolov, M.; Panyushkin, V.; Devterova, J.; Kirillov, K.; Martynenko, I.; Linert, W. Tb(III) complexes with 1-phenyl-3-methyl-4-stearoyl-pyrazol-5-one as a materials for luminescence Langmuir–Blodgett films. J. Coord. Chem. 2018, 71, 4228–4236. [Google Scholar] [CrossRef] [Green Version]
- Bian, Z.; Wang, K.; Jin, L.; Huang, C. Syntheses of new amphiphilic europium(III) complexes for Langmuir–Blodgett films. Colloids Surf. A Physicochem. Eng. Asp. 2005, 257, 67–70. [Google Scholar] [CrossRef]
- Zhang, L.; Liu, H.-G.; Kang, S.-Z.; Mu, Y.-D.; Qian, D.-J.; Lee, Y.-I.; Feng, X.-S. Novel luminescent Langmuir–Blodgett films of europium complex embedded in titania matrix. Thin Solid Films 2005, 491, 217–220. [Google Scholar] [CrossRef]
- Adati, R.D.; Pavinatto, F.J.; Monteiro, J.H.S.K.; Davolos, M.R.; Miguel, J.J.; Oliveira, O.N. Synthesis of a functionalized europium complex and deposition of luminescent Langmuir–Blodgett (LB) films. New J. Chem. 2012, 36, 1978–1984. [Google Scholar] [CrossRef]
- Sokolov, M.E.; Arkhipova, I.N.; Kolokolov, F.A.; Volynkin, V.A.; Panyushkin, V.T. Synthesis of 3-tetradecylpentane-2,4-dione and investigation of its compression isotherms by the Lengmuir–Blodgett method. Russ. J. Gen. Chem. 2010, 80, 1895. [Google Scholar] [CrossRef]
- Repina, I.N.; Sokolov, M.E.; Panyushkin, V.T. Investigation of complex formation of Cobalt(II) with molecular Langmuir layers of octadecane-2,4-dione. J. Phys. Chem. C 2012, 116, 5554. [Google Scholar] [CrossRef]
- Sokolov, M.E.; Repina, I.N.; Raitman, O.A.; Kolokolov, F.A.; Panyushkin, V.T. Features of the complexation of octadecane-2,4-dione and lanthanide ions in Langmuir monolayers. Russ. J. Phys. Chem. A 2016, 90, 1097. [Google Scholar] [CrossRef]
- Devterova, J.M.; Rudnov, P.S.; Panyushkin, V.T.; Sokolov, M.E.; Buz’ko, V.Y.; Repina, I.N. Subphase pH effect on the limiting molecular area of amphiphilic β-diketones in Langmuir monolayers. Mendeleev Commun. 2020, 30, 505–506. [Google Scholar] [CrossRef]
- Simon, A. Grazing Angle Microscope. U.S. Patent US006,008,936A, 28 December 1999. [Google Scholar]
- Bunzli, J.G.; Eliseeva, S.V. Lanthanide Luminescence: Photophysical, Analytical and Biological Aspects. In Springer Series on Fluorescence; Springer: Berlin/Heidelberg, Germany, 2011. [Google Scholar]
- Panyushkin, V.T.; Mastakov, A.A.; Bukov, N.N.; Nikolaenko, A.A.; Sokolov, M.E. On nonequivalence of rare-earth ion positions in mixed-ligand complexes with acetylacetone and unsaturated organic acids. J. Struct. Chem. 2004, 45, 167–168. [Google Scholar] [CrossRef]
- Belousov, Y.A.; Utochnikova, V.V.; Kuznetsov, S.S.; Andreev, M.N. New rare-earth metal acyl pyrazolonates: Synthesis, crystals structures, and luminescence properties. Russ. J. Coord. Chem. 2014, 40, 627–633. [Google Scholar] [CrossRef]
- Pettinari, C.; Marchetti, F.; Pettinari, R.; Drozdov, A.; Belousov, Y.A.; Taydakov, I.V.; Krasnobrov, V.D.; Petukhov, D.I. Synthesis of novel lanthanide acylpyrazolonato ligands with long aliphatic chains and immobilization of the Tb complex on the surface of silica pre-modified via hydrophobic interactions. Dalton Trans. 2015, 44, 14887–14895. [Google Scholar] [CrossRef]











| C(Tb3+), M | 0.0 | 1 × 10−7 | 1 × 10−6 | 1 × 10−5 | 1 × 10−4 | 5 × 10−4 | 1 × 10−3 |
| A0, Å2/mol | 93.0 ± 1 | 111.0 ± 1 | 116.0 ± 1 | 121.0 ± 1 | 120.0 ± 1 | 121.0 ± 1 | 119.5 ± 1 |
Publisher’s Note: MDPI stays neutral with regard to jurisdictional claims in published maps and institutional affiliations. |
© 2022 by the authors. Licensee MDPI, Basel, Switzerland. This article is an open access article distributed under the terms and conditions of the Creative Commons Attribution (CC BY) license (https://creativecommons.org/licenses/by/4.0/).
Share and Cite
Devterova, J.; Kirillov, K.; Nikolaev, A.; Sokolov, M.; Shul’gin, V.; Gusev, A.; Panyushkin, V.; Linert, W. Features of the Preparation and Luminescence of Langmuir-Blodgett Films Based on the Tb(III) Complex with 3-Methyl-1-phenyl-4-stearoylpyrazol-5-one and 2,2′-Bipyridine. Materials 2022, 15, 1127. https://doi.org/10.3390/ma15031127
Devterova J, Kirillov K, Nikolaev A, Sokolov M, Shul’gin V, Gusev A, Panyushkin V, Linert W. Features of the Preparation and Luminescence of Langmuir-Blodgett Films Based on the Tb(III) Complex with 3-Methyl-1-phenyl-4-stearoylpyrazol-5-one and 2,2′-Bipyridine. Materials. 2022; 15(3):1127. https://doi.org/10.3390/ma15031127
Chicago/Turabian StyleDevterova, Julia, Kirill Kirillov, Anton Nikolaev, Michail Sokolov, Victor Shul’gin, Alexey Gusev, Victor Panyushkin, and Wolfgang Linert. 2022. "Features of the Preparation and Luminescence of Langmuir-Blodgett Films Based on the Tb(III) Complex with 3-Methyl-1-phenyl-4-stearoylpyrazol-5-one and 2,2′-Bipyridine" Materials 15, no. 3: 1127. https://doi.org/10.3390/ma15031127
APA StyleDevterova, J., Kirillov, K., Nikolaev, A., Sokolov, M., Shul’gin, V., Gusev, A., Panyushkin, V., & Linert, W. (2022). Features of the Preparation and Luminescence of Langmuir-Blodgett Films Based on the Tb(III) Complex with 3-Methyl-1-phenyl-4-stearoylpyrazol-5-one and 2,2′-Bipyridine. Materials, 15(3), 1127. https://doi.org/10.3390/ma15031127

