Dynamic Characteristics and Damage Constitutive Model of Mudstone under Impact Loading
Abstract
:1. Introduction
2. Impact Compression Test of Mudstone
2.1. Preparation and Microanalysis of Mudstone Samples
2.1.1. Sample Preparation
2.1.2. Microstructure and Mineral Composition of Mudstone Samples
2.2. Test Device and Scheme
3. Test Results and Discussion
3.1. Test Results
3.2. Stress–Strain Curve Analysis
3.2.1. Single-Impact Test, Different Impact Pressures
3.2.2. Cyclic-Impact Test, Fixed Impact Pressure
3.3. Failure Morphology of Samples under Impact Loads
3.3.1. Single-Impact Scenario, Different Impact Pressures
3.3.2. Cyclic-Impact Scenario, Fixed Impact Pressure
4. Establishment and Discussion of Dynamic Damage Constitutive Model
4.1. Rock Dynamic Strength Criteria
4.2. Establishment of the Dynamic Damage Constitutive Model of Mudstone
4.2.1. Dynamic Damage Model
- (1)
- Mudstone is isotropic;
- (2)
- On the microscopic level, mudstone obeys Hooke’s law before damage;
- (3)
- On the microscopic level, the element strength of mudstone is described by a normal distribution.
4.2.2. Statistical Damage Evolution Model
4.3. Identification of Model Parameters
- (a)
- when ,
- (b)
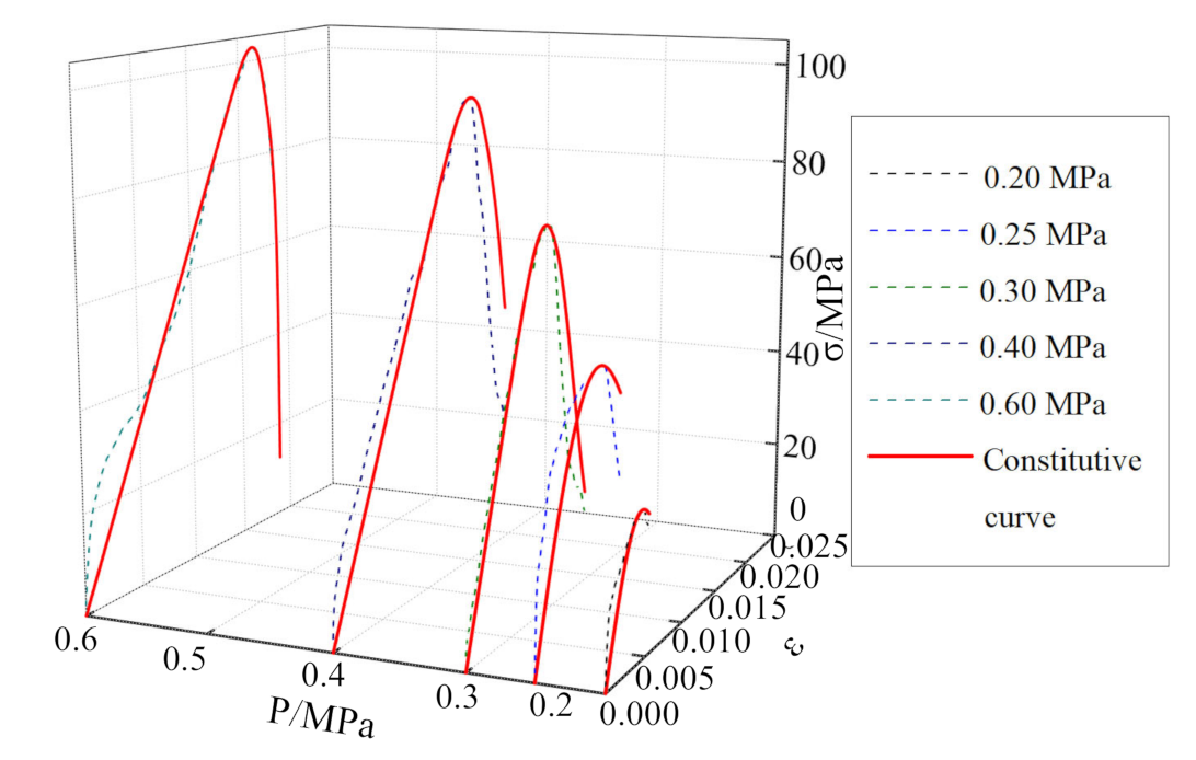
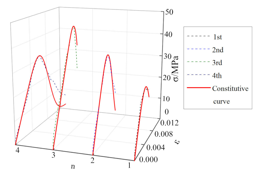
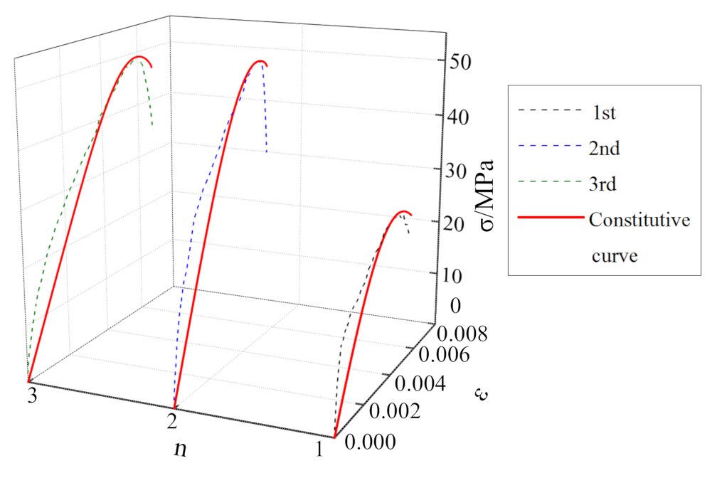
4.4. Verification of the Constitutive Model
5. Conclusions
- (1)
- According to the stress–strain curves under impact loads, in the single-impact load scenario, the peak stress and peak strain of the studied mudstone samples gradually increased with increasing impact pressure, and the peak stress and the average strain rate were nonlinearly and positively correlated. In the cyclic-impact loading scenario with fixed impact pressure, the peak stress of the mudstone samples increased first and then decreased with the number of impacts, while the peak strain increased gradually with the number of impacts;
- (2)
- Through the analysis of the failure mode of mudstone under impact loads, it can be seen that in the single-impact load scenario, as the impact pressure increased, the fragmentation of the mudstone samples gradually decreased, and the number of broken blocks gradually increased. In the cyclic-impact load scenario, the failure mode of the mudstone samples changed significantly with the increase in impact times. There was no obvious macroscopic failure mode during the previous impact tests, and the tensile failure occurred due to the penetrating cracks of the sample in the last impact;
- (3)
- Based on the rock dynamic strength criterion, combined with the statistical damage theory, a dynamic damage constitutive model of mudstone was established, to describe the mudstone response to various impact load scenarios. The model behavior agreed well with the corresponding experimental results, validating the rationality of the model established in this study. The model provides a theoretical basis for the future stability analysis of roadway-surrounding rock subjected to dynamic loads.
Author Contributions
Funding
Institutional Review Board Statement
Informed Consent Statement
Data Availability Statement
Conflicts of Interest
References
- Cheng, H.; Cai, H.B.; Rong, C.X.; Yao, Z.S.; Li, M.J. Rock stability analysis and support countermeasure of chamber group connected with deep shaft. J. China Coal Soc. 2011, 36, 261–266. (In Chinese) [Google Scholar]
- Cai, H.B.; Cheng, H.; Rong, C.X.; Song, H.Q.; Li, M.J. Rock stability analysis and supporting structure optimization of deep shaft ingate under complex conditions. J. Min. Saf. Eng. 2015, 32, 298–304. (In Chinese) [Google Scholar]
- Ramulu, M.; Chakraborty, A.K.; Sitharam, T.G. Damage assessment of basaltic rock mass due to repeated blasting in a railway tunnelling project-A case study. Tunn. Undergr. Space Technol. 2008, 24, 208–221. [Google Scholar] [CrossRef]
- Li, H.B.; Xia, X.; Li, J.C.; Zhao, J.; Liu, B.; Liu, Y.Q. Rock damage control in bedrock blasting excavation for a nuclear power plant. Int. J. Rock Mech. Min. Sci. 2010, 48, 210–218. [Google Scholar]
- Yao, Z.S.; Wang, C.; Xue, W.P.; Zhang, P.; Fang, Y. Experimental study on the dynamic mechanical properties of high-performance hybrid fiber-reinforced concrete of mine shaft lining. J. Mater. Res. Technol. 2021, 14, 1–18. [Google Scholar] [CrossRef]
- Xie, H.P. Research review of the state key research development program of China: Deep rock mechanics and mining theory. J. China Coal Soc. 2019, 44, 1283–1305. (In Chinese) [Google Scholar]
- Luo, X.; Jiang, N.; Wang, M.; Xu, Y. Response of leptynite subjected to repeated impact loading. Rock Mech. Rock Eng. 2016, 49, 4137–4141. [Google Scholar] [CrossRef]
- Huang, X.W.; Yao, Z.S.; Cai, H.B.; Li, X.W.; Chen, H.Q. Performance evaluation of coaxial borehole heat exchangers considering ground non-uniformity based on analytical solutions. Int. J. Therm. Sci. 2021, 170, 1–17. [Google Scholar] [CrossRef]
- Li, K.Q.; Li, D.Q.; Li, P.T.; Liu, Y. Meso-mechanical investigations on the overall elastic properties of multi-phase construction materials using finite element method. Constr. Build. Mater. 2019, 228, 1–12. [Google Scholar] [CrossRef]
- Qi, C.; Wang, M.; Bai, J.; Wei, X.; Wang, H. Investigation into size and strain rate effects on the strength of rock-like materials. Int. J. Rock Mech. Min. Sci. 2016, 86, 132–140. [Google Scholar] [CrossRef]
- Gong, F.Q.; Lu, D.H.; Li, X.B.; Rao, Q.H. Experimental research of sandstone dynamic strength criterion under different strain rates. Rock Soil Mech. 2013, 34, 2433–2441. (In Chinese) [Google Scholar]
- Li, H.B.; Wang, J.W.; Li, J.R.; Zhou, Q.C.; Liu, Y.Q. Mechanical properties of soft rock under dynamic uniaxial compression. Rock Soil Mech. 2004, 25, 1–4. (In Chinese) [Google Scholar] [CrossRef]
- Xu, J.H.; Kang, Y.; Wang, X.C.; Feng, G.; Wang, Z.F. Dynamic characteristics and safety criterion of deep rock mine opening under blast loading. Int. J. Rock Mech. Min. Sci. 2019, 119, 156–167. [Google Scholar] [CrossRef]
- Yilmaz, O.; Unlu, T. Three dimensional numerical rock damage analysis under blasting load. Tunn. Undergr. Space Technol. 2013, 38, 266–278. [Google Scholar] [CrossRef]
- Mishra, S.; Zaid, M.; Rao, K.S.; Gupta, N.K. FEA of Urban Rock Tunnels Under Impact Loading at Targeted Velocity. GeoTechnol. Geol. Eng. 2021, 2021, 1–19. [Google Scholar] [CrossRef]
- Chakraborty, T.; Mishra, S.; Loukus, J.; Halonen, B.; Bekkala, B. Characterization of three Himalayan rocks using a split Hopkinson pressure bar. Int. J. Rock Mech. Min. Sci. 2016, 85, 112–118. [Google Scholar] [CrossRef]
- Li, S.H.; Zhu, W.C.; Niu, L.L.; Yu, M.; Chen, C.F. Dynamic characteristics of green sandstone subjected to repetitive impact loading: Phenomena and mechanisms. Rock Mech. Rock Eng. 2018, 51, 1921–1936. [Google Scholar] [CrossRef]
- Ping, Q.; Zhang, C.L.; Sun, H.J.; Han, X. Dynamic mechanical properties and energy dissipation analysis of sandstone after high temperature cycling. Shock. Vib. 2020, 2020, 1–11. [Google Scholar] [CrossRef]
- Braunagel, M.J.; Griffith, W.A. The effect of dynamic stress cycling on the compressive strength of rocks. Geophys. Res. Lett. 2019, 46, 6479–6486. [Google Scholar] [CrossRef]
- Yu, Y.L.; Jin, K.X. Study on the dynamic behavior of magnetites and granite under high strain rate. Expl. Shock Wave. 1990, 10, 266–271. (In Chinese) [Google Scholar]
- Shan, R.L.; Xue, Y.S.; Zhang, Q. Time dependent damage model of rock under dynamic loading. Chin. J. Rock Mech. Eng. 2003, 22, 1771–1776. (In Chinese) [Google Scholar]
- Xie, L.X.; Zhao, G.M.; Meng, X.R. Research on excess stress constitutive model of rock under impact load. Chin. J. Rock Mech. Eng. 2013, 32, 2772–2781. (In Chinese) [Google Scholar]
- Yang, M.H.; Zhao, M.H.; Cao, W.G. Research on damage constitutive model of rock under dynamical load based on statistical theory. J. Wuhan Uni. Technol. 2007, 29, 95–98. (In Chinese) [Google Scholar]
- Cao, W.G.; Zhao, H.; Zhang, L.; Zhang, Y.J. Simulation method of dynamic triaxial deformation process for rock under invariable strain rate. Chin. J. Geotech. Eng. 2010, 32, 1658–1664. (In Chinese) [Google Scholar]
- Liu, J.Z.; Xu, J.Y.; Lv, X.C.; Wang, Z.D.; Zhang, L. Study on dynamic behavior and damage constitutive model of rock under impact loading with confining pressure. Eng. Mech. 2012, 29, 55–63. (In Chinese) [Google Scholar]
- Zhu, J.J.; Li, X.B.; Gong, F.Q.; Wang, S.M. Dynamic characteristics and damage model for rock under uniaxial cyclic impact compressive loads. Chin. J. Geotech. Eng. 2013, 35, 531–539. (In Chinese) [Google Scholar]
- Song, L.; Hu, S.S. Two wave and three wave method in SHPB data processing. Expl. Shock Wave. 2005, 25, 368–373. (In Chinese) [Google Scholar]
- Du, R.F.; Pei, X.J.; Jia, J.; Zhang, X.C.; Chen, J.Y.; Zhang, G.H. Viscoelastic damage constitutive relation of sandstone under multiple impact load. J. Jilin Uni. (Eng. Technol. Ed.) 2021, 51, 638–649. (In Chinese) [Google Scholar]
- Kong, L.M.; Luo, T.; Yao, Y.P. Description of critical state for rate-dependent constitutive models. Rock Soil Mech. 2015, 36, 2442–2450. (In Chinese) [Google Scholar]
- Gong, F.Q.; Si, X.F.; Li, X.B.; Tao, M. Rock dynamic Mohr-Coulomb and Hoek-Brown criteria based on strain rate effect. Chin. J. Nonferrous Met. 2016, 26, 1763–1773. (In Chinese) [Google Scholar]
- Cao, W.G.; Lin, X.T.; Zhang, C.; Yang, S. A statistical damage simulation method of dynamic deformation process for rocks based on nonlinear dynamic strength criterion. Chin. J. Rock Mech. Eng. 2017, 36, 794–802. (In Chinese) [Google Scholar]
- Zhou, Y.Q.; Sheng, Q.; Luo, H.; Leng, X.L.; Fu, X.D.; Li, N.N. Dynamic constitutive model for subloading surface of rock materials considering rate effect. Chin. J. Geotech. Eng. 2018, 40, 1818–1826. (In Chinese) [Google Scholar]
- Zhao, J.; Li, H.B. Estimating the dynamic strength of rock using Mohr-Coulomb and Hoek-Brown criteria. Chin. J. Rock Mech. Eng. 2003, 22, 171–176. (In Chinese) [Google Scholar]
- Lu, Z.T.; Wang, Z.L. Triaxial tests on dynamic properties of granite under intermediate and high strain rates. Chin. J. Geotech. Eng 2016, 38, 1087–1094. (In Chinese) [Google Scholar]
- Song, Y.P. Dynamic Constitutive Relation and Failure Criterion of Concrete; Science Press: Beijing, China, 2012; pp. 40–56. (In Chinese) [Google Scholar]
- Lemaitre, J. How to use damage mechanics. Nucl. Eng. Des. 1984, 80, 233–245. [Google Scholar] [CrossRef]















| Number | L/mm | D/mm | ρ/kg·m−3 | Wave Velocity m/s | P/MPa | |||
|---|---|---|---|---|---|---|---|---|
| 1 | 25.98 | 49.7 | 2562 | 3821 | 0.20 | 30.00 | 0.0042 | 28.17 |
| 2 | 23.48 | 49.5 | 2575 | 4891 | 0.25 | 58.49 | 0.0073 | 50.53 |
| 3 | 24.74 | 49.43 | 2577 | 5623 | 0.30 | 81.34 | 0.0088 | 74.75 |
| 4 | 23.57 | 49.28 | 2576 | 4907 | 0.40 | 108.70 | 0.0149 | 94.95 |
| 5 | 25.32 | 49.36 | 2566 | 4522 | 0.60 | 111.17 | 0.0165 | 102.69 |
| Number | L/mm | D/mm | ρ/kg·m−3 | Wave Velocity m/s | P/MPa | ||||
|---|---|---|---|---|---|---|---|---|---|
| 1 | 25.24 | 49.7 | 2537 | 3712 | 0.15 | 1 | 23.74 | 0.0028 | 22.45 |
| 2 | 30.48 | 0.0042 | 32.67 | ||||||
| 3 | 19.59 | 0.0048 | 37.81 | ||||||
| 4 | 34.85 | 0.0054 | 29.31 | ||||||
| 5 | 39.01 | 0.0055 | 20.83 | ||||||
| 6 | 35.56 | 0.0056 | 14.39 | ||||||
| 2 | 25.16 | 49.77 | 2547 | 3310 | 0.175 | 1 | 48.54 | 0.0040 | 24.49 |
| 2 | 53.54 | 0.0046 | 35.68 | ||||||
| 3 | 35.54 | 0.0059 | 45.72 | ||||||
| 4 | 63.87 | 0.0062 | 31.60 | ||||||
| 3 | 25.98 | 49.7 | 2562 | 3821 | 0.20 | 1 | 30.00 | 0.0042 | 28.17 |
| 2 | 35.70 | 0.0050 | 51.18 | ||||||
| 3 | 36.11 | 0.0060 | 49.09 |
| Number | ||||||||
|---|---|---|---|---|---|---|---|---|
| 1 | 0.20 | 11.0 | 29 | 21.47 | 39.95 | 21.74 | 28.04 | −0.045 |
| 2 | 0.25 | 12.2 | 29 | 21.47 | 67.42 | 45.21 | 59.63 | −0.032 |
| 3 | 0.30 | 10.1 | 29 | 21.47 | 68.87 | 18.10 | 45.82 | 0.177 |
| 4 | 0.40 | 7.1 | 29 | 21.47 | 93.97 | 13.17 | 45.34 | 0.271 |
| 5 | 0.60 | 6.5 | 29 | 21.47 | 77.89 | 7.71 | 38.81 | 0.400 |
| Number | |||||||
|---|---|---|---|---|---|---|---|
| 1 | 0.15 | 1 | 23.98 | 9.0 | 3.91 | 14.99 | −0.080 |
| 2 | 21.79 | 9.4 | 9.13 | 20.33 | −0.006 | ||
| 3 | 12.47 | 13.0 | 9.01 | 23.70 | 0.013 | ||
| 4 | 32.20 | 6.5 | 7.84 | 18.35 | −0.017 | ||
| 5 | 42.74 | 6.1 | 12.77 | 19.62 | −0.073 | ||
| 6 | 42.12 | 3.5 | 2.33 | 8.68 | −0.097 | ||
| 2 | 0.175 | 1 | 69.46 | 7.9 | 11.30 | 20.85 | −0.054 |
| 2 | 66.01 | 8.2 | 9.24 | 21.14 | 0.020 | ||
| 3 | 29.16 | 8.5 | 6.33 | 23.60 | 0.044 | ||
| 4 | 73.40 | 6.2 | 7.95 | 18.20 | 0.003 | ||
| 3 | 0.20 | 1 | 38.80 | 11.0 | 21.74 | 28.04 | −0.046 |
| 2 | 30.75 | 12.0 | 26.44 | 45.55 | 0.045 | ||
| 3 | 30.57 | 10.5 | 17.15 | 36.53 | 0.054 |
Publisher’s Note: MDPI stays neutral with regard to jurisdictional claims in published maps and institutional affiliations. |
© 2022 by the authors. Licensee MDPI, Basel, Switzerland. This article is an open access article distributed under the terms and conditions of the Creative Commons Attribution (CC BY) license (https://creativecommons.org/licenses/by/4.0/).
Share and Cite
Zhou, R.; Cheng, H.; Cai, H.; Wang, X.; Guo, L.; Huang, X. Dynamic Characteristics and Damage Constitutive Model of Mudstone under Impact Loading. Materials 2022, 15, 1128. https://doi.org/10.3390/ma15031128
Zhou R, Cheng H, Cai H, Wang X, Guo L, Huang X. Dynamic Characteristics and Damage Constitutive Model of Mudstone under Impact Loading. Materials. 2022; 15(3):1128. https://doi.org/10.3390/ma15031128
Chicago/Turabian StyleZhou, Ruihe, Hua Cheng, Haibing Cai, Xiaojian Wang, Longhui Guo, and Xianwen Huang. 2022. "Dynamic Characteristics and Damage Constitutive Model of Mudstone under Impact Loading" Materials 15, no. 3: 1128. https://doi.org/10.3390/ma15031128
APA StyleZhou, R., Cheng, H., Cai, H., Wang, X., Guo, L., & Huang, X. (2022). Dynamic Characteristics and Damage Constitutive Model of Mudstone under Impact Loading. Materials, 15(3), 1128. https://doi.org/10.3390/ma15031128

