Influence of Sb3+ Cations on the Structural, Magnetic and Electrical Properties of AlFeO3 Multiferroic Perovskite with Humidity Sensors Applicative Characteristics
Abstract
1. Introduction
2. Experimental
3. Results and Discussion
3.1. Microstructure Characteristics
3.2. Magnetic Properties
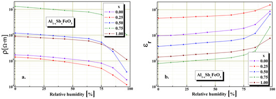
3.3. Electrical Properties
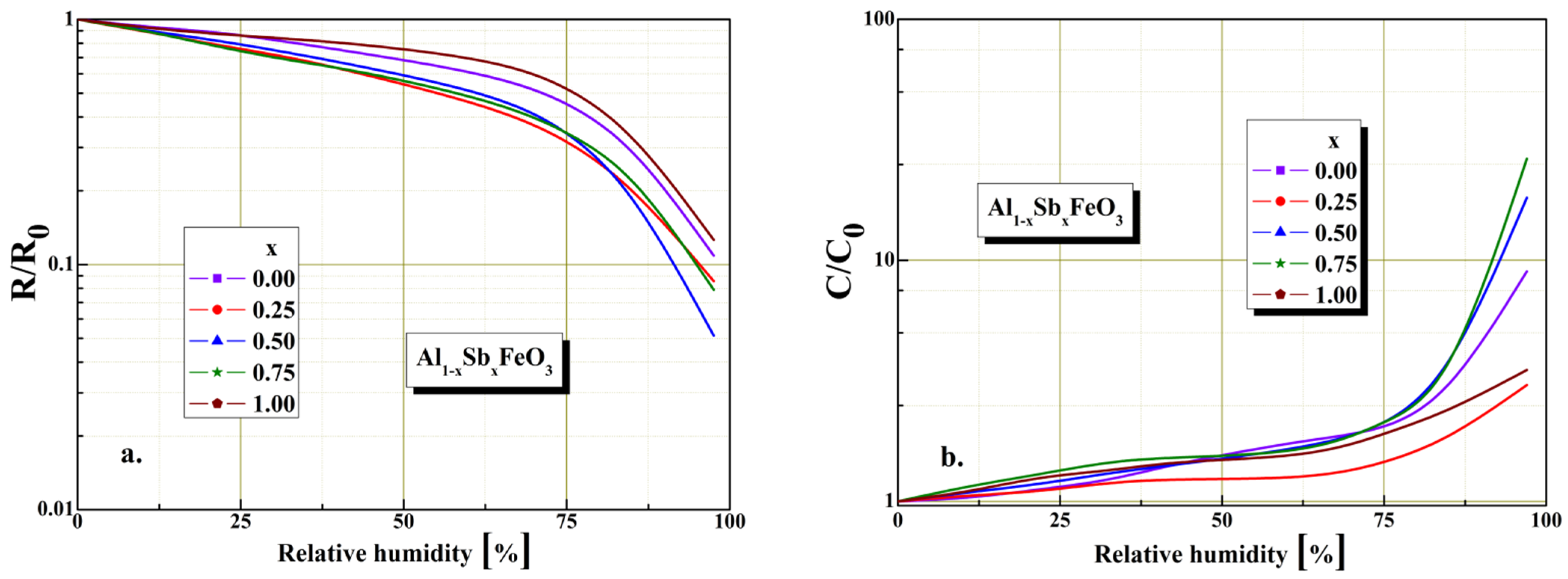
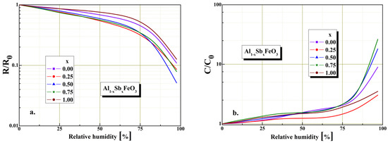
3.4. Humidity Influence on the Electrical Propertiesand Humidity Sensors Characteristics
4. Conclusions
Author Contributions
Funding
Institutional Review Board Statement
Informed Consent Statement
Data Availability Statement
Conflicts of Interest
References
- Lacerda, L.H.S.; Ribeiro, R.A.P.; Lazaro, S.R. Magnetic, electronic, ferroelectric, structural and topological analysis of AlFeO3, FeAlO3, FeVO3, BiFeO3 and PbFeO3 materials: Theoretical evidences of magnetoelectric coupling. J. Magn. Magn. Mater. 2019, 480, 199–208. [Google Scholar] [CrossRef]
- Tumusange, M.S.; Subedi, B.; Chen, C.; Junda, M.M.; Song, Z.N.; Yan, Y.F.; Podraza, N.J. Impact of Humidity and Temperature on the Stability of the Optical Properties and Structure of MAPbI(3), MA(0.7)FA(0.3)PbI(3) and (FAPbI(3))(0.95)(MAPbBr(3))(0.05) Perovskite Thin Films. Materials 2021, 14, 4054. [Google Scholar] [CrossRef] [PubMed]
- Santos, G.M.; Catellani, I.B.; Santos, I.A.; Guo, R.; Bhalla, A.S.; Padilha, J.E.; Cótica, L.F. Microscopic description of the ferroism in lead-free AlFeO3. Sci. Rep. 2018, 8, 6420. [Google Scholar] [CrossRef] [PubMed]
- Tambwe, K.; Ross, N.; Baker, P.; Bui, T.T.; Goubard, F. Humidity Sensing Applications of Lead-Free Halide Perovskite Nanomaterials. Materials 2022, 15, 4146. [Google Scholar] [CrossRef]
- Caracas, R. Elasticity of AlFeO3 and FeAlO3 perovskite and post-perovskite from first-principles calculations. Geophys. Res. Lett. 2010, 37, L20306. [Google Scholar] [CrossRef]
- Zhang, G.B.; Wang, Y.X.; Ren, F.Z.; Yan, Y.L. First-principles study of spontaneous polarization in SbFeO3. J. Phys. Soc. Jpn. 2012, 81, 074702. [Google Scholar] [CrossRef]
- Priyanga, G.S.; Thomas, T. Magnetism, half-metallicity and bonding in AlFeO3 and the impact of in doping. J. Magn. Magn. Mater. 2020, 497, 165909. [Google Scholar] [CrossRef]
- Farhat, L.B.; Ahmed, S.B.; Ezzine, S.; Amami, M. Particle size dependent structural, magnetic and electrical properties of Cr-doped lead-free multiferroic AlFeO3 prepared by co-precipitation and solid state method. Mater. Chem. Phys. 2020, 255, 123631. [Google Scholar] [CrossRef]
- Tudorache, F.; Petrila, I. Effects of partial replacement of Iron with Tungsten on microstructure, electrical, magnetic and humidity properties of Copper-Zinc ferrite material. J. Electron. Mater. 2014, 43, 3522–3526. [Google Scholar] [CrossRef]
- Shireen, A.; Saha, R.; Mandal, P.; Sundaresan, A.; Rao, C.N.R. Multiferroic and magnetodielectric properties of the Al1−xGaxFeO3 family of oxides. J. Mater. Chem. 2011, 21, 57–59. [Google Scholar] [CrossRef]
- Morsy, M.; Mokhtar, M.M.; Ismail, S.H.; Mohamed, G.G.; Ibrahim, M. Humidity sensing behaviour of Lyophilized rGO/Fe2O3 nanocomposite. J. Inorg. Organomet. Polym. Mater. 2020, 30, 4180–4190. [Google Scholar] [CrossRef]
- Tudorache, F.; Popa, P.D.; Dobromir, M.; Iacomi, F. Studies on the structure and gas sensing properties of nickel-cobalt ferrite thin films prepared by spin coating. J. Mater. Sci. Eng. B 2013, 178, 1334–1338. [Google Scholar] [CrossRef]
- Ateia, E.E.; Arman, M.M.; Morsy, M. Synthesis, characterization of NdCoO3 perovskite and its uses as humidity sensor. Appl. Phys. A-Mater. 2019, 125, 883. [Google Scholar] [CrossRef]
- Wang, Y.; Zhu, L.P.; Du, C.F. Polarization-sensitive light sensors based on a bulk perovskite MAPbBr(3) single crystal. Materials 2021, 14, 4054. [Google Scholar]
- Hamasaki, Y.; Shimizu, T.; Taniguchi, H.; Taniyama, T.; Yasui, S.; Itoh, M. Epitaxial growth of metastable multiferroic AlFeO3 film on SrTiO3 (111) substrate. Appl. Phys. Lett. 2014, 104, 082906. [Google Scholar] [CrossRef]
- Tudorache, F.; Tigau, N.; Condurache-Bota, S. Humidity sensing characteristics of Sb2O3 thin films with transitional electrical behavior. Sens. Actuator A-Phys. 2019, 285, 134–141. [Google Scholar] [CrossRef]
- Cótica, L.F.; Santos, G.M.; Freitas, V.F.; Coelho, A.A.; Pal, M.; Santos, I.A.; Garcia, D.; Eiras, J.A.; Guo, R.; Bhalla, A.S. Room temperature nonlinear magnetoelectric effect in lead-free and Nb-doped AlFeO3 compositions. J. Appl. Phys. 2015, 117, 064104. [Google Scholar] [CrossRef]
- Aldulmani, S.A.A.; Raies, I.; Amami, M.; Farhat, L.B. Synthesis dependent structural magnetic and electrical properties of CR-doped lead-free multiferroic AlFeO3. Crystals 2020, 10, 440. [Google Scholar] [CrossRef]
- Priyanga, G.S.; Thomas, T. Direct band gap narrowing and light-harvesting-potential in orthorhombic In-doped-AlFeO3 perovskite: A first principles study. J. Alloys Compd. 2018, 750, 312–319. [Google Scholar] [CrossRef]
- Li, Y.; Wang, Y.G.; Wang, N.; Wang, F.L.; Jain, A. Magnetoelectric (1−x)AlFeO3−xBaTiO3 solid solutions with ferroelectric relaxorbehavior near room temperature. Ceram. Int. 2020, 46, 7930–7938. [Google Scholar] [CrossRef]
- Dixit, C.K.; Tauqeer, M.; Sharma, R. Dielelctric constant, dielectric loss & structural studies of SbFeO3 ferroelectrics: Temperature dependences. Chem. Sin. 2015, 6, 19–22. [Google Scholar]
- Chen, L.; Yang, J.; Chen, W.; Sun, S.; Tang, H.; Li, Y. Perovskite mesoporous LaFeO3 with peroxidase-like activity for colorimetric detection of gallic acid. Sens. Actuator B-Chem. 2020, 321, 128642. [Google Scholar] [CrossRef]
- Saha, R.; Shireen, A.; Shirodkar, S.N.; Singh, M.S.; Waghmare, U.V.; Sundaresan, A.; Rao, C.N.R. Phase transitions of AlFeO3 and GaFeO3 from the chiral orthorhombic (Pna21) structure to the rhombohedral (R3c) structure. Inorg. Chem. 2011, 50, 9527–9532. [Google Scholar] [CrossRef] [PubMed]
- Kumar, P.; Bera, A.; Muthu, D.V.S.; Shirodkar, S.N.; Saha, R.; Shireen, A.; Sundaresan, A.; Waghmare, U.V.; Sood, A.K.; Rao, C.N.R. Coupled phonons, magnetic excitations, and ferroelectricity in AlFeO3: Raman and first-principles studies. Phys. Rev. B 2012, 85, 134449. [Google Scholar] [CrossRef]
- Abimanyu, H.; Jung, K.-D.; Jun, K.W.; Kim, J.; Yoo, K.S. Preparation and characterization of Fe/Cu/Al2O3-composite granules for SO3 decomposition to assist hydrogen production. Appl. Catal. A-Gen. 2008, 343, 134–141. [Google Scholar] [CrossRef]
- Saha, R.; Shireen, A.; Shirodkar, S.N.; Waghmare, U.V.; Sundaresan, A.; Rao, C.N.R. Multiferroic and magnetoelectric nature of GaFeO3, AlFeO3 and related oxides. Solid State Commun. 2012, 152, 1964–1968. [Google Scholar] [CrossRef]
- Wang, S.-F.; Zhang, C.; Sun, G.; Chen, B.; Xiang, X.; Wang, H.; Fang, L.; Tian, Q.; Ding, Q.; Zu, X.T. Fabrication of a novel light emission material AlFeO3 by a modified polyacrylamide gel route and characterization of the material. Opt. Mater. 2013, 36, 482–488. [Google Scholar] [CrossRef]
- Li, Q.; Wang, S.; Yuan, Y.; Gao, H.; Xiang, X. Phase-controlled synthesis, surface morphology, and photocatalytic activity of the perovskite AlFeO3. J. Sol-Gel Sci. Technol. 2017, 82, 500–508. [Google Scholar] [CrossRef]
- Durai, L.; Badhulika, S. Highly sensitive electrochemical impedance-based biosensor for label-free and wide range detection of fibrinogen using hydrothermally grown AlFeO3 nanospheres modified electrode. IEEE Sens. J. 2021, 21, 4160–4166. [Google Scholar] [CrossRef]
- Tyagi, S.; Sharma, G.; Choudhary, R.J.; Sathe, V.G. Phonon invisibility driven by strong magneto-elastic coupling in AlFeO3 thin film. J. Appl. Phys. 2019, 126, 085302. [Google Scholar] [CrossRef]
- Raies, I.; Al Dulmani, S.A.; Farhat, L.B.; Fadlallah, E.E.; Amami, M. Temperature-dependent magnetic and electrical properties of Cr-doped AlFeO3 ceramics. J. Asian Ceram. Soc. 2020, 8, 1095–1107. [Google Scholar] [CrossRef]
- Amami, M.; Farhat, L.B.; Ahmed, S.B.; Ezzine, S. Structural, magnetic and electrical characterization of Cr-doped lead-free multiferroic AlFeO3 prepared by co-precipitation and solid state method. Int. J. Mod. Phys. B 2020, 34, 2050183. [Google Scholar] [CrossRef]
- Santos, G.M.; Silva, D.M.; Freitas, V.F.; Dias, G.S.; Coelho, A.A.; Pal, M.; Santos, I.A.; Cótica, L.F.; Guo, R.; Bhalla, A.S. Multiferroic behavior of lead-free AlFeO3 and Mn, Nb doped compositions. Ferroelectrics 2014, 460, 108–116. [Google Scholar] [CrossRef]
- Peng, L.; Jiang, M.; Gu, Z.; Cheng, G.; Ma, L.; Du, Y.; Wu, X.; Rao, G.; Li, Y. Structure and piezoelectric properties of K0.5Na0.5NbO3–AlFeO3 lead-free ceramics by using AlFeO3 as a sintering aid. J. Mater. Sci-Mater. Electron. 2014, 25, 323–327. [Google Scholar]
- Cótica, L.F.; Santos, I.A.; Venet, M.; Garcia, D.; Eiras, J.A.; Coelho, A.A. Dielectric and magnetic coupling in lead-free FeAlO3 magnetoelectric compound. Solid State Commun. 2008, 147, 123–125. [Google Scholar] [CrossRef]
- Salah, M.; Morad, I.; Elhosiny Ali, H.; Mostafa, M.M.; El-Desoky, M.M. Influence of BaO doping on the structural, ac conductivity, and dielectric properties of BiFeO3 multiferroic nanoparticles. J. Inorg. Organomet. Polym. Mater. 2021, 31, 3700–3710. [Google Scholar] [CrossRef]
- Petrila, I.; Tudorache, F. Effects of sintering temperature on the microstructure, electrical and magnetic characteristics of copper-zinc spinel ferrite with possibility use as humidity sensors. Sens. Actuator A-Phys. 2021, 332, 113060. [Google Scholar] [CrossRef]










| Sample x | Sspec [mm2] | Porosity Φ [%] | Dm [μm] | Bulk Density ρ [g/cm3] |
|---|---|---|---|---|
| 0.00 | 2.706 | 35.42 | 0.724 | 3.063 |
| 0.25 | 2.408 | 33.50 | 0.773 | 3.224 |
| 0.50 | 1.970 | 32.68 | 0.810 | 3.759 |
| 0.75 | 1.634 | 31.45 | 0.845 | 4.345 |
| 1.00 | 1.301 | 31.12 | 0.930 | 4.956 |
| Sample x | Saturation MS [emu/g] | Remanence MR [emu/g] | Coercivity HC [A/m] |
|---|---|---|---|
| 0.00 | 7.30 | 2.26 | 41.35 |
| 0.25 | 9.35 | 3.11 | 39.78 |
| 0.50 | 6.37 | 2.12 | 38.72 |
| 0.75 | 6.25 | 2.17 | 37.17 |
| 1.00 | 6.69 | 2.19 | 33.54 |
Publisher’s Note: MDPI stays neutral with regard to jurisdictional claims in published maps and institutional affiliations. |
© 2022 by the authors. Licensee MDPI, Basel, Switzerland. This article is an open access article distributed under the terms and conditions of the Creative Commons Attribution (CC BY) license (https://creativecommons.org/licenses/by/4.0/).
Share and Cite
Petrila, I.; Tudorache, F. Influence of Sb3+ Cations on the Structural, Magnetic and Electrical Properties of AlFeO3 Multiferroic Perovskite with Humidity Sensors Applicative Characteristics. Materials 2022, 15, 8369. https://doi.org/10.3390/ma15238369
Petrila I, Tudorache F. Influence of Sb3+ Cations on the Structural, Magnetic and Electrical Properties of AlFeO3 Multiferroic Perovskite with Humidity Sensors Applicative Characteristics. Materials. 2022; 15(23):8369. https://doi.org/10.3390/ma15238369
Chicago/Turabian StylePetrila, Iulian, and Florin Tudorache. 2022. "Influence of Sb3+ Cations on the Structural, Magnetic and Electrical Properties of AlFeO3 Multiferroic Perovskite with Humidity Sensors Applicative Characteristics" Materials 15, no. 23: 8369. https://doi.org/10.3390/ma15238369
APA StylePetrila, I., & Tudorache, F. (2022). Influence of Sb3+ Cations on the Structural, Magnetic and Electrical Properties of AlFeO3 Multiferroic Perovskite with Humidity Sensors Applicative Characteristics. Materials, 15(23), 8369. https://doi.org/10.3390/ma15238369
