Experimental Study on the Effects of Matric Suction on Shear Properties of Polypropylene Fiber Reinforced Unsaturated Clay
Abstract
1. Introduction
2. Test Materials and Scheme
2.1. Test Materials
2.2. Test Scheme
2.3. Test Process
2.4. Test Instrument
3. Test Results and Analysis
3.1. Test Data Processing
3.2. Effects of Matric Suction on the Shear Properties of the Specimens
3.3. Effects of Matric Suction on Stress vs. Strain Curves
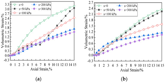
3.4. Effects of Matric Suction on the Volumetric-Strain vs. Axial-Strain Curves
3.5. Analysis of Triaxial Specimens
- Tensile failure: the soil specimen has obvious fracture surface, and the fibers manifest mainly as tensile fracture during shear process. The main reason is that the polypropylene fibers are fractured due to the large friction resistance as the axial displacement reaches large enough. Fibers can effectively provide tensile stress to hinder the development of cracks, thus enhancing the shear strength.
- Friction failure: There is no obvious fracture surface in the shear failure of the soil specimen, and the volume change shows a radial drum trend. The fibers in the soil specimen have no obvious fracture. The insufficient friction between fibers and soil particles leads to the slippage, and the soil specimen represents compression deformation. It shows that the fiber reinforced soil has the characteristics of approximate isotropy, and the fibers form a spatial network structure in the soil, which plays a role of disorderly support and makes the soil stress more uniform.
4. Conclusions
- The greater the matric suction and the net confining pressure are, the greater the deviatoric stress of the specimen is. When the net confining pressure is small, the matric suction has obvious effects on the shear strength of the soil. The total cohesion intercept and effective internal friction increase with the increase in matric suction, while the adsorption internal friction angle decreases gradually. Similarly, the contribution of matric suction to shear strength decreases. The total cohesion intercept is more sensitive to matric suction. Under the same conditions, as the fiber length is 12 mm, the shear strength is the largest, which means that the reinforcement effect of polypropylene fiber achieves the best.
- The stress–strain relationship is approximately hyperbolic and strain hardening. The characteristics of strain hardening are more obvious with the increase in matric suction, and the soil specimens present plastic failure. The effect of matric suction on the shear strength is obvious with increasing axial strain.
- With the increase in net confining pressure during shearing process, the matric suction is smaller, and the volumetric strain is larger. The volumetric strain of specimen is more sensitive to the changing net confining pressure. It increases with the increase in net confining pressure. The relations present linearly as the matric suction is 0. Soil specimens are prone to tensile failure as net confining pressure is large, and friction failure as matric suction is large.
Author Contributions
Funding
Institutional Review Board Statement
Informed Consent Statement
Data Availability Statement
Conflicts of Interest
References
- Biglari, M.; Ashayeri, I.; Gallipoli, D.; Moradpour, S. A unifed small-strain shear stiffness model for saturated and unsaturated soils. Comput. Geotech. 2021, 136, 104241. [Google Scholar] [CrossRef]
- Dong, Y.; Lu, N.; McCartney, J.S. Scaling Shear Modulus from Small to Finite Strain for Unsaturated Soils. J. Geotech. Geoenvironmental Eng. 2018, 144. [Google Scholar] [CrossRef]
- Ahmadi Naghadeh, R.; Toker, N.K. Exponential equation for predicting shear strength envelope of unsaturated soils. Int. J. Geomech. 2019, 19, 04019061. [Google Scholar] [CrossRef]
- Sun, M.-Y.; Shi, B.; Zhang, D.; Liu, J.; Guo, J.-Y.; Wei, G.-Q.; Cheng, W. Study on calibration model of soil water content based on actively heated fiber-optic FBG method in the in-situ test. Measurement 2020, 165. [Google Scholar] [CrossRef]
- Estabragh, A.R.; Ranjbari, S.; Javadi, A.A. Properties of Clay Soil and Soil Cement Reinforced with Polypropylene Fibers. ACI Mater. J. 2017, 114, 195–205. [Google Scholar] [CrossRef]
- Nitin, T.; Neelima, S.; Jasmin, P. Engineering Characteristics and Performance of Polypropylene Fibre and Silica Fume Treated Expansive Soil Subgrade. Int. J. Geosynth. Ground Eng. 2020, 6, 1–18. [Google Scholar]
- Gong, Y.; He, Y.; Han, C.; Shen, Y.; Tan, G. Stability Analysis of Soil Embankment Slope Reinforced with Polypropylene Fiber under Freeze-Thaw Cycles. Adv. Mater. Sci. Eng. 2019, 2019, 5725708. [Google Scholar] [CrossRef]
- Lashkari, A.; Torkanlou, E. On the constitutive modeling of partially saturated interfaces. Comput. Geotech. 2016, 74, 222–233. [Google Scholar] [CrossRef]
- Lashkari, A.; Kadivar, M. A constitutive model for unsaturated soil-structure interfaces. Int. J. Numer. Anal. Methods Geomech. 2016, 40, 207–234. [Google Scholar] [CrossRef]
- Chiorean, V.F. Determination of Matric Suction and Saturation Degree for Unsaturated Soils, Comparative Study—Numerical Method versus Analytical Method. IOP Conf. Ser. Mater. Sci. Eng. 2017, 245. [Google Scholar] [CrossRef]
- Gallage, C.; Uchimura, T. Direct Shear Testing on Unsaturated Silty Soils to Investigate the Effects of Drying and Wetting on Shear Strength Parameters at Low Suction. J. Geotech. Geoenvironmental Eng. 2016, 142. [Google Scholar] [CrossRef]
- Liu, K.; Yin, J.H.; Chen, W.B.; Feng, W.Q.; Zhou, C. The stress-strain behaviour and critical state parameters of an unsaturated granular fill material under different suctions. Acta Geotech. 2020, 5, 23–29. [Google Scholar] [CrossRef]
- Abd, I.A.; Fattah, M.Y.; Mekkiyah, H. Relationship between the Matric Suction and the Shear Strength in Unsaturated Soil. Case Stud. Constr. Mater. 2020, 95, 441–467. [Google Scholar] [CrossRef]
- Gao, Y.; Sun, D.; Zhu, Z.; Xu, Y. Hydromechanical behavior of unsaturated soil with different initial densities over a wide suction range. Acta Geotech. 2018, 34, 123–129. [Google Scholar] [CrossRef]
- Taha, M.M.M.; Feng, C.P.; Ahmed, S.H.S. Influence of Polypropylene Fibre (PF) Reinforcement on Mechanical Properties of Clay Soil. Adv. Polym. Technol. 2020, 30, 75–90. [Google Scholar] [CrossRef]
- Ding, M.; Zhang, F.; Ling, X.; Lin, B. Effects of freeze-thaw cycles on mechanical properties of polypropylene Fiber and cement stabilized clay. Cold Reg. Sci. Technol. 2018, 154, 155–165. [Google Scholar] [CrossRef]
- Orakoglu, M.E.; Liu, J. Effect of freeze-thaw cycles on triaxial strength properties of fiber-reinforced clayey soil. J. Civ. Eng. 2017, 21, 2128–2140. [Google Scholar] [CrossRef]
- Roustaei, M.; Eslami, A.; Ghazavi, M. Effects of freeze-thaw cycles on a fiber reinforced fine grained soil in relation to geotechnical parameters. Cold Reg. Sci. Technol. 2015, 120, 127–137. [Google Scholar] [CrossRef]
- Mirzababaei, M.; Arulrajah, A.; Horpibulsuk, S.; Aldava, M. Shear strength of a fibre-reinforced clay at large shear displacement when subjected to different stress histories. Geotext. Geomembr. 2017, 45, 422–429. [Google Scholar] [CrossRef]
- Yang, B.-H.; Weng, X.-Z.; Liu, J.-Z.; Kou, Y.-N.; Jiang, L.; Li, H.-L.; Yan, X.-C. Strength characteristics of modified polypropylene fiber and cement-reinforced loess. J. Cent. South Univ. 2017, 24, 560–568. [Google Scholar] [CrossRef]
- Wu, R.; Tang, Y.; Li, S.; Wang, W.; Jiang, P.; Yang, G. Study on Water Characteristic Curve and Shear Characteristics of Typical Unsaturated Silty Clay in Shaoxing. Geofluids 2021, 2021, 5510535. [Google Scholar] [CrossRef]
- Sun, H.; Chen, Y.; Fang, Y.; Yang, D.; Liu, G. A Modified Soft Soil Reinforced with Polypropylene Fiber and Its Preparation Method: China. Chinese Patent 201711182220.0, 13 April 2018. [Google Scholar]
- Wu, D.; Liu, H.; Wang, C.; Xu, X.; Liu, X.; Wang, Q. The Interaction Effect of Particle Composition and Matric Suction on the Shear Strength Parameters of Unsaturated Granite Residual Soil. Arab. J. Sci. Eng. 2022. (prepublish). [Google Scholar] [CrossRef] [PubMed]
- GB/T50123-2019; The Ministry of Water Resources, Geotechnical Test Methods Standard. China Planning Press: Beijing, China, 2019.
- Zhai, Q.; Rahardjo, H.; Satyanaga, A.; Dai, G.L.; Du, Y.J. Effect of the uncertainty in soil-water characteristic curve on the estimated shear strength of unsaturated soil. J. Zhejiang Univ.-Sci. A Appl. Phys. Eng. 2020, 21, 317–330. [Google Scholar] [CrossRef]
- Sun, Y.; Zhang, W. Quantitative Analysis of Generalized Suction on the Shear Strength of Unsaturated Soils. IOP Conf. Ser. Earth Environ. Sci. 2021, 651, 032001–032010. [Google Scholar] [CrossRef]


















| Type | Density /(g·cm−3) | Diameter /mm | Strength of Extension /MPa | Elasticity Modulus /MPa | Light /°C | Acid-Base Resistance Property | Dispersity |
|---|---|---|---|---|---|---|---|
| Bunchy Monofilament | 0.91 | 0.04 | >486 | >4800 | 590 | Pole-strength | Excellent |
| Liquid Limit ωL/% | Plastic Limit ωP/% | Plasticity Index IP/% | Relative Density ds | Maximum Dry Density ρdmax/(g·cm−3) | Optimal Water Content ωop/% | Grain Composion (mm)&Dosage(%) | ||
|---|---|---|---|---|---|---|---|---|
| Clay <0.005 | Silt 0.005~0.075 | Sand >0.075 | ||||||
| 42.7% | 23.3% | 19.4% | 2.72 | 1.69 | 23.7% | 39.80 | 47.32 | 12.88 |
| Fiber Length /mm | Matric Suction/kPa | Net Confining Pressure /kPa | Deviatoric Stress /kPa | Total Cohesion /kPa | Effective Internal Friction Angle/° | Adsorption Internal Friction Angle/° |
|---|---|---|---|---|---|---|
| 6 | 0 | 50 | 151 | 24.7 | 21.5 | 21.5 |
| 100 | 214 | |||||
| 200 | 362 | |||||
| 50 | 50 | 189 | 43.1 | 21.6 | 20.2 | |
| 100 | 238 | |||||
| 200 | 362 | |||||
| 100 | 50 | 245 | 58.7 | 21.7 | 18.8 | |
| 100 | 275 | |||||
| 200 | 412 | |||||
| 200 | 50 | 283 | 82.4 | 22.2 | 15.9 | |
| 100 | 365 | |||||
| 200 | 449 | |||||
| 300 | 50 | 346 | 106.8 | 22.5 | 15.3 | |
| 100 | 416 | |||||
| 200 | 499 | |||||
| 12 | 0 | 50 | 154 | 28.2 | 22.3 | 22.3 |
| 100 | 245 | |||||
| 200 | 375 | |||||
| 50 | 50 | 209 | 51.2 | 22.5 | 21.7 | |
| 100 | 269 | |||||
| 200 | 385 | |||||
| 100 | 50 | 257 | 69.4 | 22.9 | 21.4 | |
| 100 | 275 | |||||
| 200 | 391 | |||||
| 200 | 50 | 334 | 105.1 | 23.3 | 21 | |
| 100 | 384 | |||||
| 200 | 478 | |||||
| 300 | 50 | 399 | 118.1 | 23.9 | 16.6 | |
| 100 | 419 | |||||
| 200 | 538 | |||||
| 19 | 0 | 50 | 144 | 28.0 | 21.9 | 21.9 |
| 100 | 227 | |||||
| 200 | 343 | |||||
| 50 | 50 | 196 | 48.5 | 22.2 | 21.5 | |
| 100 | 285 | |||||
| 200 | 393 | |||||
| 100 | 50 | 230 | 66.7 | 22.7 | 21.2 | |
| 100 | 295 | |||||
| 200 | 418 | |||||
| 200 | 50 | 306 | 97.7 | 23.2 | 19.2 | |
| 100 | 372 | |||||
| 200 | 442 | |||||
| 300 | 50 | 342 | 115.1 | 23.6 | 16.1 | |
| 100 | 411 | |||||
| 200 | 464 |
Publisher’s Note: MDPI stays neutral with regard to jurisdictional claims in published maps and institutional affiliations. |
© 2022 by the authors. Licensee MDPI, Basel, Switzerland. This article is an open access article distributed under the terms and conditions of the Creative Commons Attribution (CC BY) license (https://creativecommons.org/licenses/by/4.0/).
Share and Cite
Wu, R.; Yang, G.; Li, S.; Xiang, Q. Experimental Study on the Effects of Matric Suction on Shear Properties of Polypropylene Fiber Reinforced Unsaturated Clay. Materials 2022, 15, 8223. https://doi.org/10.3390/ma15228223
Wu R, Yang G, Li S, Xiang Q. Experimental Study on the Effects of Matric Suction on Shear Properties of Polypropylene Fiber Reinforced Unsaturated Clay. Materials. 2022; 15(22):8223. https://doi.org/10.3390/ma15228223
Chicago/Turabian StyleWu, Ruiqian, Guang Yang, Shaohe Li, and Qichen Xiang. 2022. "Experimental Study on the Effects of Matric Suction on Shear Properties of Polypropylene Fiber Reinforced Unsaturated Clay" Materials 15, no. 22: 8223. https://doi.org/10.3390/ma15228223
APA StyleWu, R., Yang, G., Li, S., & Xiang, Q. (2022). Experimental Study on the Effects of Matric Suction on Shear Properties of Polypropylene Fiber Reinforced Unsaturated Clay. Materials, 15(22), 8223. https://doi.org/10.3390/ma15228223
