Micromechanical Observation and Numerical Simulation for Local Deformation Evolution of Duplex Stainless Steel
Abstract
1. Introduction
2. Experimental and Numerical Simulation Methods
2.1. Nanoindentation Experiments
2.2. DIC Experiments
2.3. Determination of the Mechanical Parameters for the Two Phases
2.4. Finite Element Analysis of DIC Experiment
3. DIC Experiment Results and Analysis
3.1. Strain Evolution Analysis
3.2. Analysis of Local Deformation
4. Finite Element Analysis Results and Discussion
4.1. Material Parameters of the Austenite and Ferrite Phase
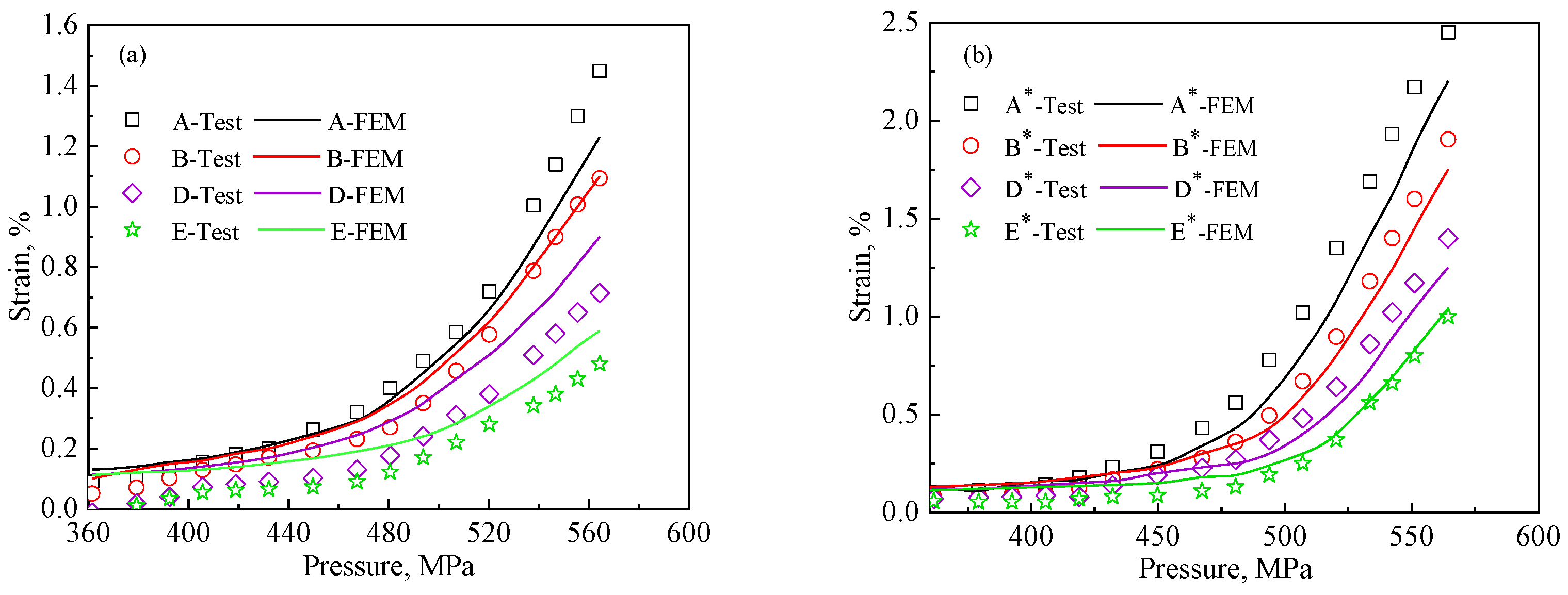
4.2. Micro-Plastic Deformation Behavior and Evolution Analysis
4.3. Analysis of Microscopic Stress Distribution
5. Conclusions
Author Contributions
Funding
Institutional Review Board Statement
Informed Consent Statement
Data Availability Statement
Conflicts of Interest
References
- Sharma, L.; Peerlings, R.H.J.; Geers, M.G.D.; Roters, F. Microstructural influences on fracture at prior austenite grain boundaries in dual-phase steels. Materials 2019, 12, 3687. [Google Scholar]
- Aşık, E.E.; Perdahcıoğlu, E.S.; van den Boogaard, T. An RVE-Based Study of the Effect of Martensite Banding on Damage Evolution in Dual Phase Steels. Materials 2020, 13, 1795. [Google Scholar] [CrossRef] [PubMed]
- DeBold, T.A. Duplex stainless steel—Microstructure and properties. JOM 1989, 41, 12–15. [Google Scholar] [CrossRef]
- Li, C.X.; Dang, S.H.; Wang, L.P.; Zhang, C.L.; Han, P.D. Effect of Cr, Mo, and Nb additions on intergranular cohesion of ferritic stainless steel: First-principles determination. Chin. Phys. B 2014, 23, 037102. [Google Scholar] [CrossRef]
- Gurrappa, I.; Malakondaiah, G. Corrosion characteristics of newly developed structural DMR-1700 steel and comparison with different steels for industrial applications. Metall. Mater. Trans. A Phys. Metall. Mater. Sci. 2006, 37, 3039–3046. [Google Scholar] [CrossRef]
- Michalska, J.; Sozańska, M. Qualitative and quantitative analysis of σ and χ phases in 2205 duplex stainless steel. Mater. Charact. 2006, 56, 355–362. [Google Scholar] [CrossRef]
- Nilsson, J.O. Super duplex stainless steels. Mater. Sci. Technol. 2013, 8, 685–700. [Google Scholar] [CrossRef]
- Örnek, C.; Engelberg, D.L. SKPFM measured Volta potential correlated with strain localization in microstructure to understand corrosion susceptibility of cold-rolled grade 2205 duplex stainless steel. Corros. Sci. 2015, 99, 164–171. [Google Scholar] [CrossRef]
- Oliver, C.W.; Pharr, G.M. Improved technique for determining hardness and elastic modulus using load and displacement sensing indentation experiments. J. Mater. Res. 1992, 7, 1564–1583. [Google Scholar] [CrossRef]
- Dai, X.; Xie, H.; Wang, H. Analysis of Errors Caused by Offset Displacement in Two-Dimensional Digital Image Correlation Measurement. J. Exp. Mech. 2013, 28, 10–19. [Google Scholar]
- Naderi, M.; Saeed-Akbari, A.; Bleck, W. Quantitative and qualitative investigation of the heterogeneous microstructures using surface hardness mapping and dilatation data. Mater. Lett. 2008, 62, 1132–1135. [Google Scholar] [CrossRef]
- Liu, J.-H. Quantitative deformation measurements and analysis of the ferrite-austenite banded structure in a 2205 duplex stainless steel at 250 °C. Chin. Phys. B 2018, 27, 038102. [Google Scholar]
- Bartali, A.E.; Aubin, V.; Degallaix, S. Surface observation and measurement techniques to study the fatigue damage micromechanisms in a duplex stainless steel. Int. J. Fatigue 2009, 31, 2049–2055. [Google Scholar]
- Mateo, A.; Llanes, L.; Akdut, N.; Anglada, M. High cycle fatigue behaviour of a standard duplex stainless steel plate and bar. Mater. Sci. Eng. A 2001, 319–321, 516–520. [Google Scholar]
- Fréchard, S.; Martin, F.; Clément, C.; Cousty, J. AFM and EBSD combined studies of plastic deformation in a duplex stainless steel. Mater. Sci. Eng. A 2006, 418, 312–319. [Google Scholar] [CrossRef]
- Bartali, A.E.; Evrard, P.; Aubinm, V.; Herenu, S.; Armas, A.I.; Armas, A.F.; Moreuil, D. Strain heterogeneities between phases in a duplex stainless steel. Comparison between measures and simulation. Procedia Eng. 2010, 2, 2229–2237. [Google Scholar] [CrossRef]
- Cui, Y.Y.; Jia, Y.F.; Xuan, F.Z. Micro-deformation evolutions of the constituent phases in duplex stainless steel during cyclic nanoindentation. Sci. Rep. 2018, 8, 6199. [Google Scholar] [CrossRef]
- Gu, J. Finite Element Analysis of Residual Stress in SAF2205 Steel Plate Welding Arc Welding Joint. China Spec. Equip. Saf. 2013, 29, 49–52. [Google Scholar]
- Dao, M.; Chollacoop, N.; Van Vliet, K.J.; Venkatesh, T.A.; Suresh, S. Computational modeling of the forward and reverse problems in instrumented sharp indentation. Acta Mater. 2001, 49, 3899–3918. [Google Scholar]
- Ma, Y.; Yao, X.P.; Tian, L.H.; Zhang, X.; Shu, X.F.; Tang, B. Extract the plastic properties of metals using reverse analysis of nanoindentation test. Acta Metall. 2011, 47, 321–326. [Google Scholar]
- Bressan, J.D.; Tramontin, A.; Rosa, C. Modeling of nanoindentation of bulk and thin film by finite element method. Wear 2005, 258, 115–122. [Google Scholar] [CrossRef]
- Sun, X.; Choi, K.S.; Liu, W.N.; Khaleel, M.A. Predicting failure modes and ductility of dual phase steels using plastic strain localization. Int. J. Plast. 2009, 25, 1888–1909. [Google Scholar]
- Choi, K.S.; Liu, W.N.; Sun, X.; Khaleel, M.A. Microstructure-based constitutive modeling of TRIP steel: Prediction of ductility and failure modes under different loading conditions. Acta Mater. 2009, 57, 2592–2604. [Google Scholar] [CrossRef]
- Zhu, M.-L.; Xuan, F.-Z. Effect of microstructure on strain hardening and strength distributions along a Cr–Ni–Mo–V steel welded joint. Mater. Des. 2015, 65, 707–715. [Google Scholar]


















Publisher’s Note: MDPI stays neutral with regard to jurisdictional claims in published maps and institutional affiliations. |
© 2022 by the authors. Licensee MDPI, Basel, Switzerland. This article is an open access article distributed under the terms and conditions of the Creative Commons Attribution (CC BY) license (https://creativecommons.org/licenses/by/4.0/).
Share and Cite
Zhao, J.; Shi, Y.; Guo, S.; Zhu, M. Micromechanical Observation and Numerical Simulation for Local Deformation Evolution of Duplex Stainless Steel. Materials 2022, 15, 8076. https://doi.org/10.3390/ma15228076
Zhao J, Shi Y, Guo S, Zhu M. Micromechanical Observation and Numerical Simulation for Local Deformation Evolution of Duplex Stainless Steel. Materials. 2022; 15(22):8076. https://doi.org/10.3390/ma15228076
Chicago/Turabian StyleZhao, Jian, Yanru Shi, Sujuan Guo, and Mingliang Zhu. 2022. "Micromechanical Observation and Numerical Simulation for Local Deformation Evolution of Duplex Stainless Steel" Materials 15, no. 22: 8076. https://doi.org/10.3390/ma15228076
APA StyleZhao, J., Shi, Y., Guo, S., & Zhu, M. (2022). Micromechanical Observation and Numerical Simulation for Local Deformation Evolution of Duplex Stainless Steel. Materials, 15(22), 8076. https://doi.org/10.3390/ma15228076

