Magnetic and Magnetocaloric Properties of Nano- and Polycrystalline Manganites La(0.7−x)EuxBa0.3MnO3
Abstract
1. Introduction
2. Materials and Methods
3. Results
3.1. Structural Analysis
3.2. Oxygen Content
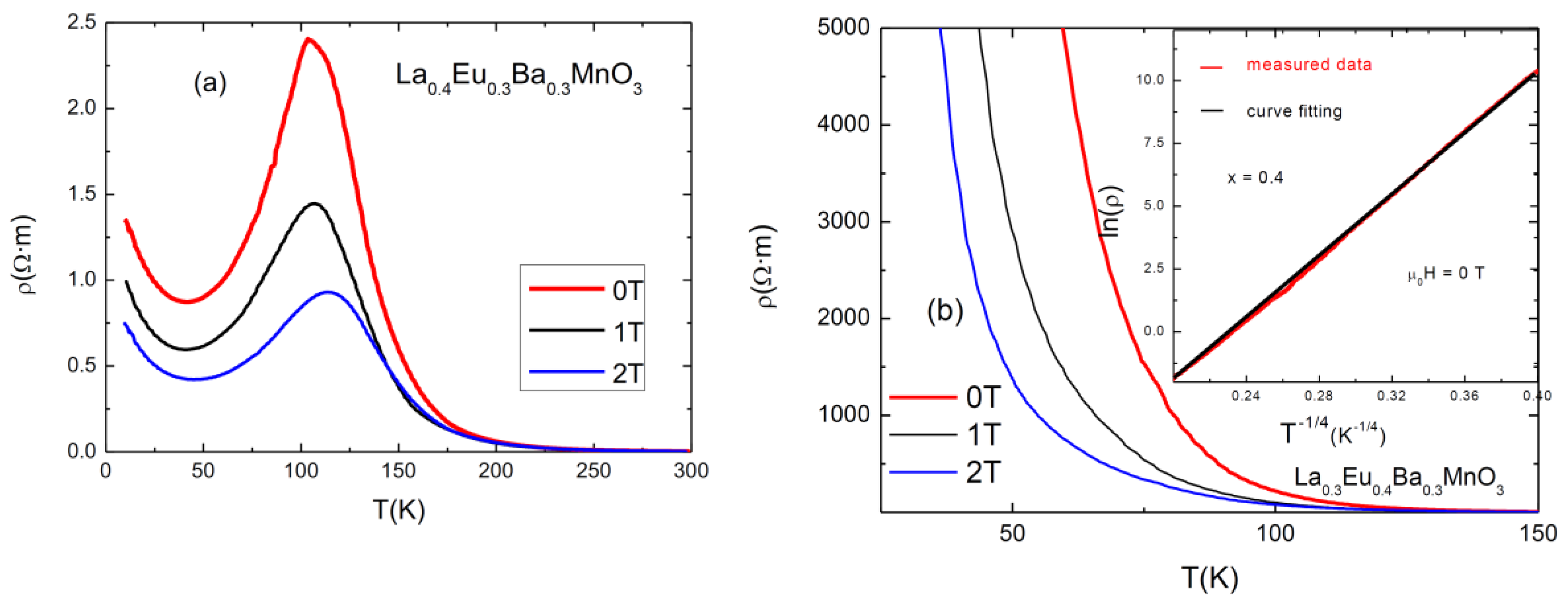
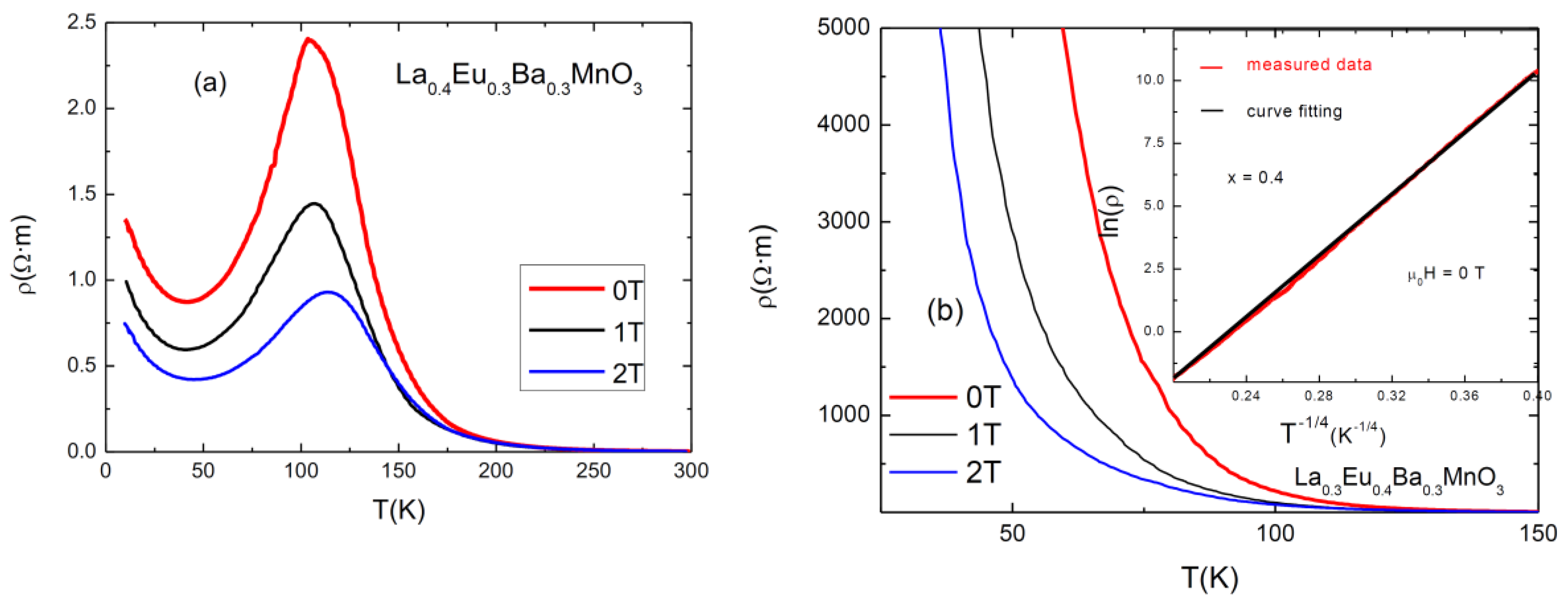
3.3. Electrical Measurements
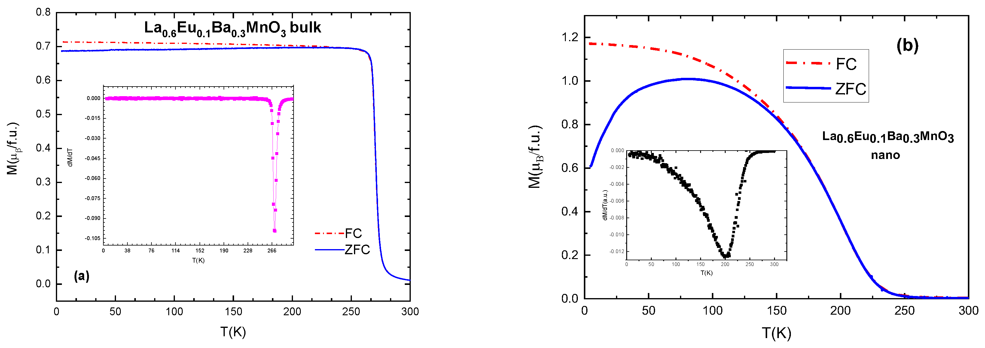
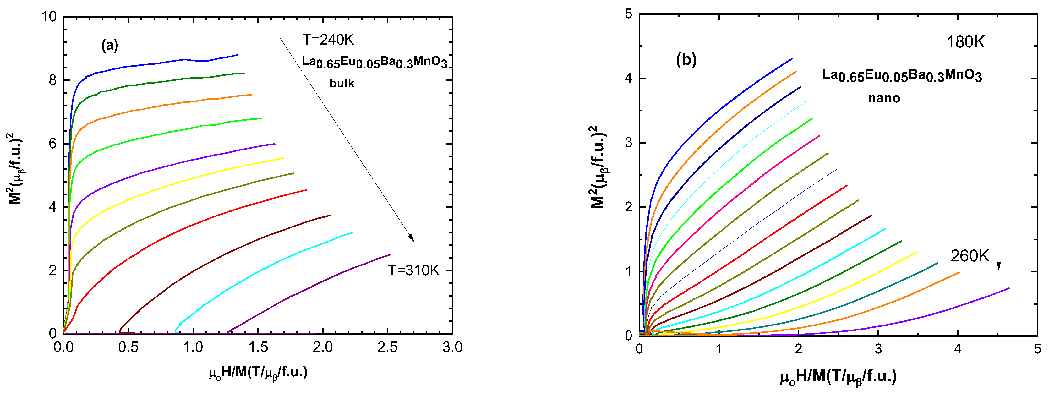
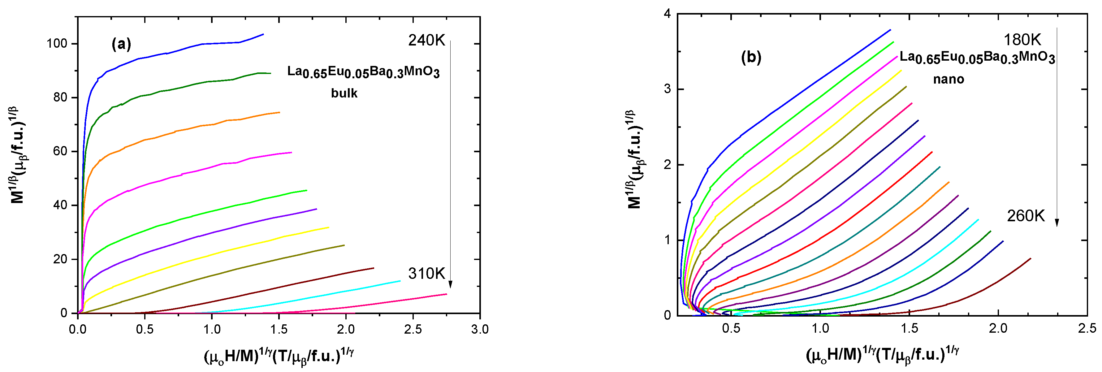
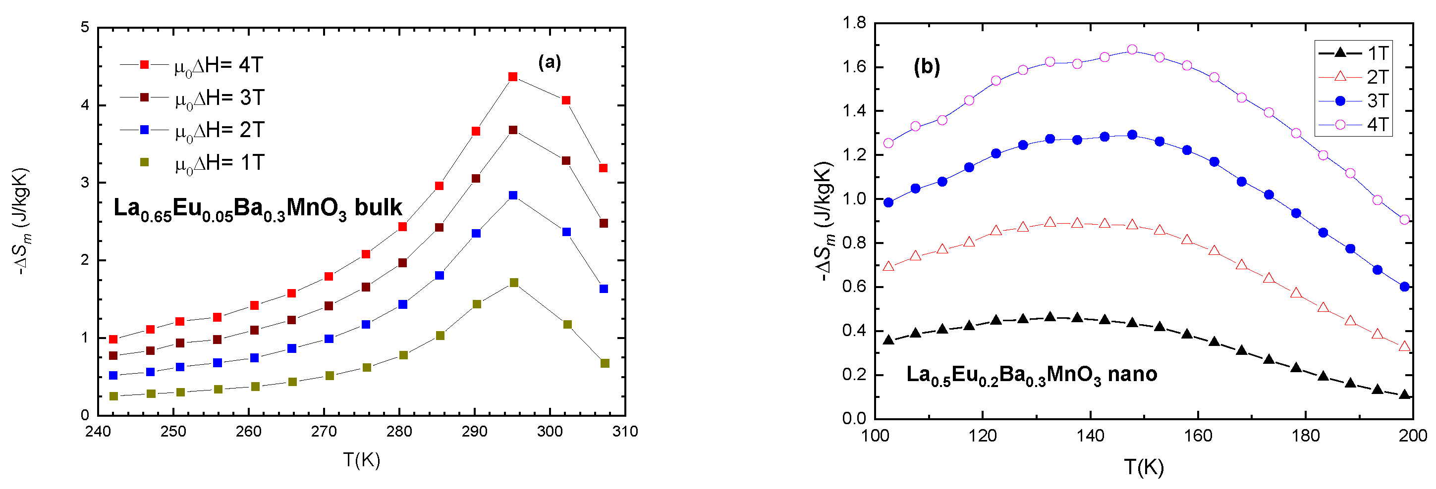
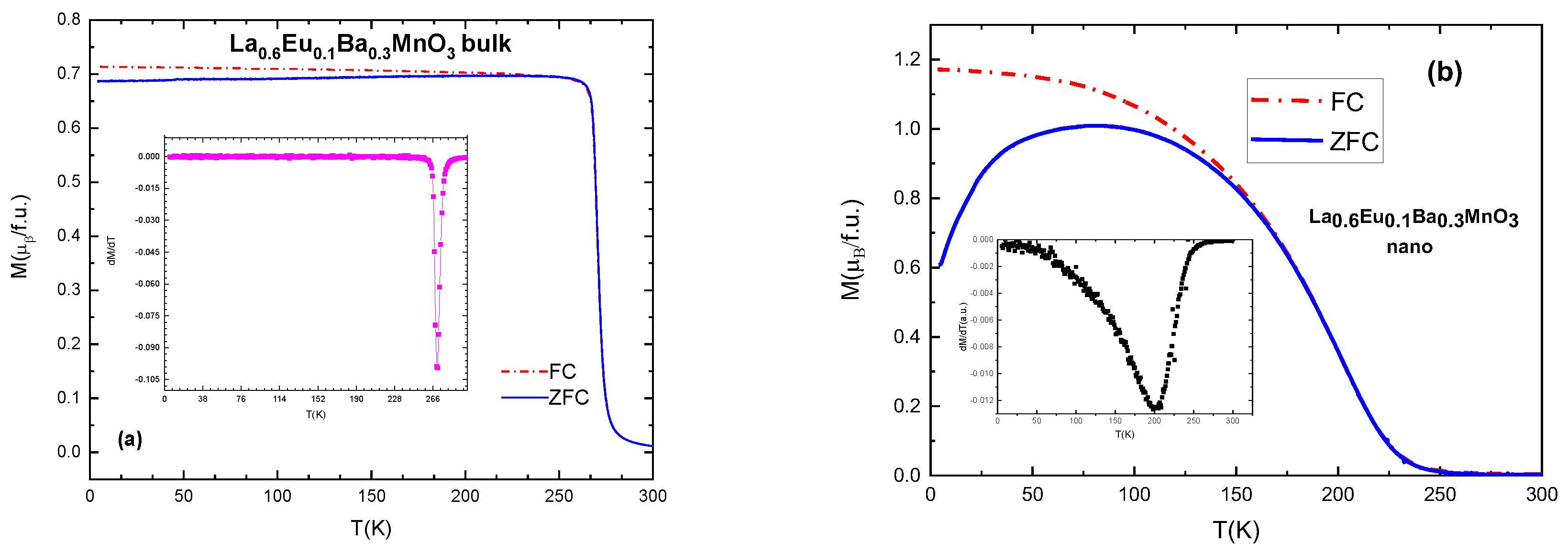
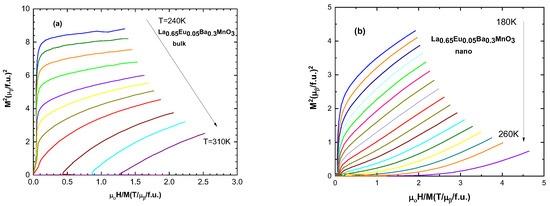
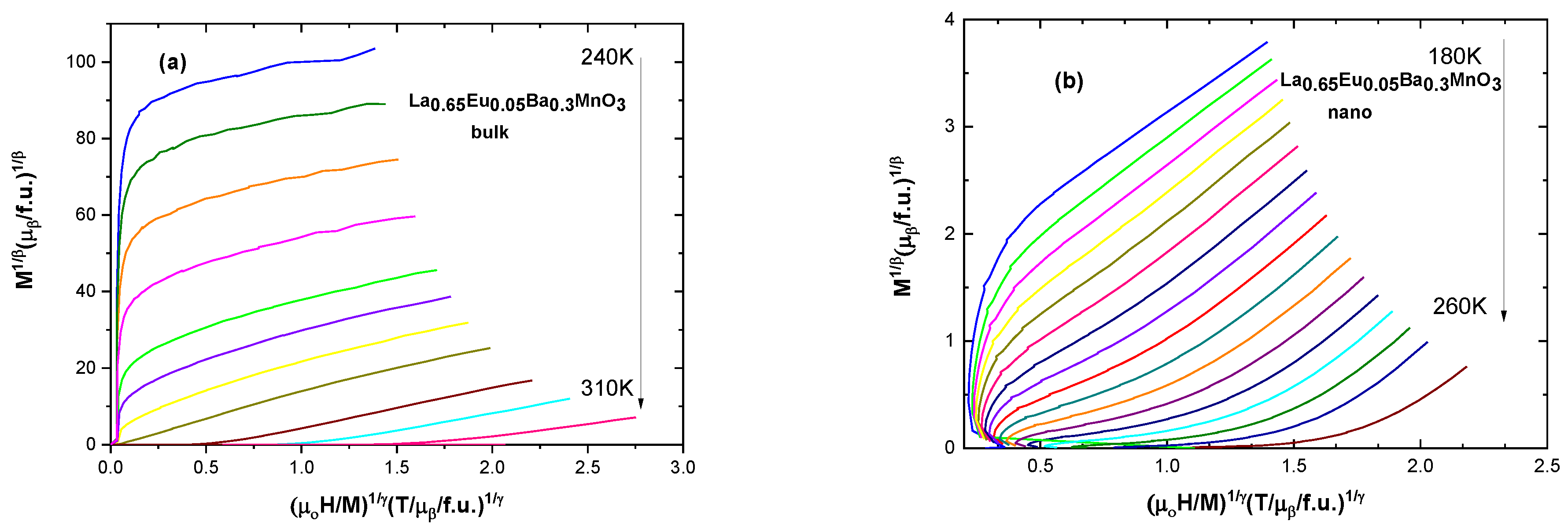
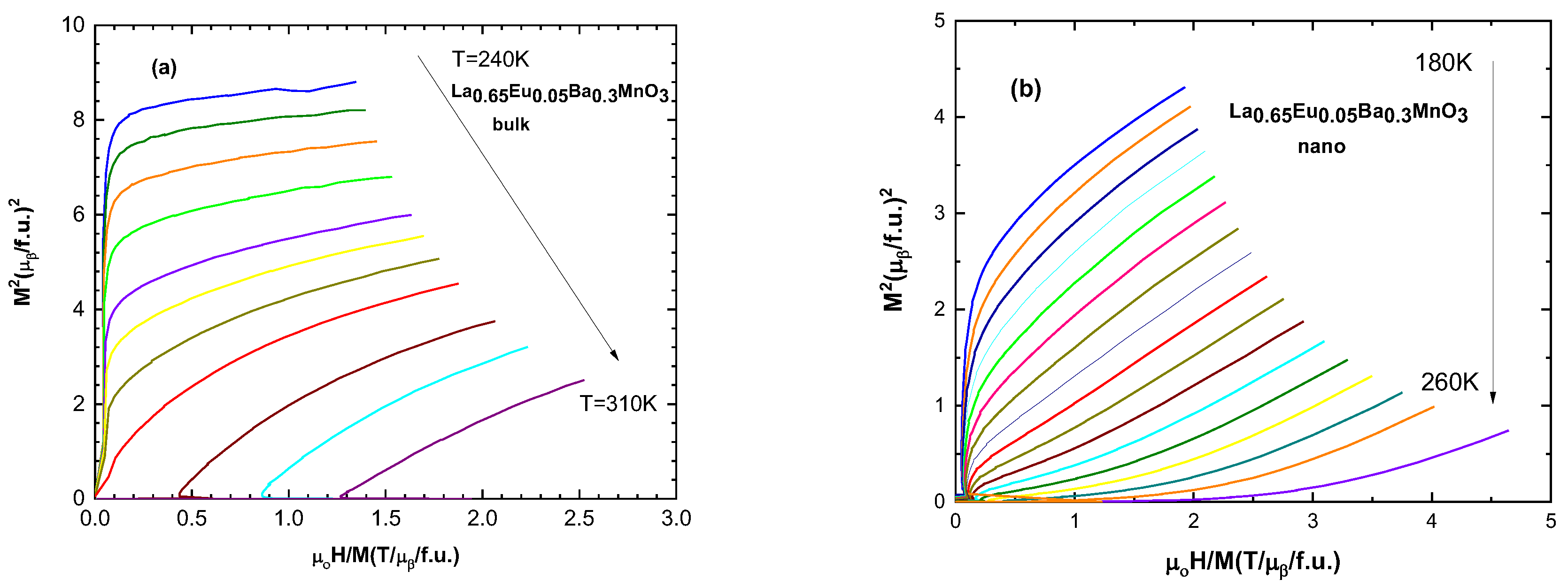
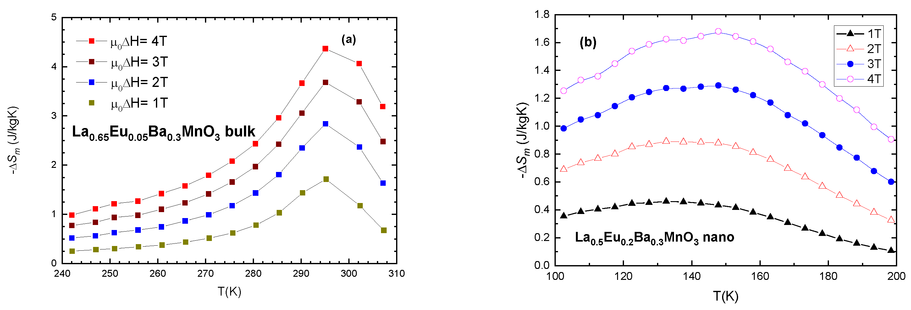
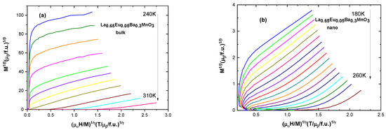
3.4. Magnetic Properties
| Compound | γ | β | δ | Tc (K) | |
|---|---|---|---|---|---|
| x= 0 | bulk | 1.065 | 0.288 | 4.69 | 340 |
| x = 0.05 | bulk | 0.915 | 0.234 | 4.9 | 297 |
| x = 0.1 | bulk | 1.07 | 0.24 | 5.45 | 270 |
| x = 0.2 | bulk | 0.976 | 0.246 | 4.967 | 198 |
| x = 0.3 | bulk | 0.933 | 0.255 | 4.659 | 142 |
| x= 0.4 | bulk | 1.022 | 0.249 | 5.104 | 99 |
| x = 0 | nano | 1.823 | 0.493 | 4.698 | 263 |
| x= 0.05 | nano | 1.968 | 0.548 | 4.589 | 220 |
| x = 0.1 | nano | 1.867 | 0.521 | 4.584 | 200 |
| x = 0.2 | nano | 1.755 | 0.477 | 4.679 | 136 |
| x= 0.3 | nano | 1.931 | 0.537 | 4.596 | 90 |
| x = 0.4 | nano | 1.789 | 0.512 | 4.49 | 64 |
| Mean field model | 1 | 0.5 | 3 | ||
| 3D Heisenberg model | 1.366 | 0.355 | 4.8 | ||
| Ising model | 1.24 | 0.325 | 4.82 | ||
| Tricritical mean field model | 1 | 0.25 | 5 | ||
| Compound (Bulk) | TC (K) | Ms (μB/f.u.) | Hci (Oe) | |ΔSM| (J/kgK) μ0ΔH = 1 T | |ΔSM| (J/kgK) μ0ΔH = 4 T | RCP (S) (J/kgK) μ0ΔH = 1 T | RCP (S) (J/kgK) μ0ΔH = 4 T | Refs |
|---|---|---|---|---|---|---|---|---|
| La0.7Ba0.3MnO3 | 340 | 4.04 | 200 | 1.33 | 3.5 | 53.7 | 158.4 | This work |
| La0.65Eu0.05Ba0.3MnO3 | 297 | 3.87 | 172 | 1.71 | 4.2 | 42.7 | 155.4 | This work |
| La0.6Eu0.1Ba0.3MnO3 | 270 | 3.84 | 63 | 1.6 | 4.1 | 40 | 187.7 | This work |
| La0.5Eu0.2Ba0.3MnO3 | 198 | 3.7 | 67 | 1.41 | 3.7 | 38.1 | 212.6 | This work |
| La0.4Eu0.3Ba0.3MnO3 | 142 | 3.78 | 66 | 1.7 | 3.5 | 42.6 | 176.4 | This work |
| La0.3Eu0.4Ba0.3MnO3 | 99 | 3.46 | 120 | 1.02 | 2.83 | 25.7 | 133.3 | This work |
| La0.7Ca0.3MnO3 | 256 | 1.38 | 41 | [10] | ||||
| La0.7Sr0.3MnO3 | 365 | - | 4.44 (5 T) | 128 (5 T) | [10] | |||
| La0.6Nd0.1Ca0.3MnO3 | 233 | 1.95 | 37 | [10] | ||||
| Gd5Si2Ge2 | 276 | - | 18 (5 T) | - | 535 (5 T) | [10] | ||
| Gd | 293 | 2.8 | 35 | [10] |
| Compound (Nano) | Tc (K) | Ms (μB/f.u.) | Hci (Oe) | |ΔSM| (J/kgK) μ0ΔH = 1 T | |ΔSM| (J/kgK) μ0ΔH = 4 T | RCP(S) (J/kgK) μ0ΔH = 1 T | RCP(S) (J/kgK) μ0ΔH = 1 T | Refs |
|---|---|---|---|---|---|---|---|---|
| La0.7Ba0.3MnO3 | 263 | 2.79 | 4800 | 1.04 | 1.37 | 105.4 | 130.1 | This work |
| La0.65Eu0.05Ba0.3MnO3 | 220 | 2.95 | 410 | 0.43 | 1.63 | 43.3 | 155.6 | This work |
| La0.6Eu0.1Ba0.3MnO3 | 200 | 2.6 | 390 | 0.93 | 1.23 | 93.5 | 135.3 | This work |
| La0.5Eu0.2Ba0.3MnO3 | 136 | 2.96 | 280 | 0.46 | 1.68 | 47.8 | 218.4 | This work |
| La0.4Eu0.3Ba0.3MnO3 | 90 | 2.3 | 590 | 0.39 | 1.99 | 38.3 | 187.7 | This work |
| La0.3Eu0.4Ba0.3MnO3 | 64 | 2.09 | 960 | 0.25 | 1.09 | 23.3 | 119.9 | This work |
| La0.67Ca0.33MnO3 | 260 | 0.97 (5 T) | 27 (5 T) | [45] | ||||
| Pr0.65(Ca0.6Sr0.4)0.35MnO3 | 220 | 0.75 | 21.8 | [46] | ||||
| La0.6Sr0.4MnO3 | 365 | 1.5 | 66 | [47] |
4. Conclusions
Author Contributions
Funding
Institutional Review Board Statement
Informed Consent Statement
Data Availability Statement
Acknowledgments
Conflicts of Interest
References
- Fidler, J.C. A History of Refrigeration throughout the World. Int. J. Refrig. 1979, 2, 249–250. [Google Scholar] [CrossRef]
- Briley, G.C. A History of Refrigeration. ASHRAE J. 2004, 46, S31–S34. [Google Scholar]
- Gschneidner, K.A.; Pecharsky, V.K. Thirty Years of near Room Temperature Magnetic Cooling: Where We Are Today and Future Prospects. Int. J. Refrig. 2008, 31, 945–961. [Google Scholar] [CrossRef]
- Dorin, B.R.; Avsec, J.; Plesca, A. The Efficiency of Magnetic Refrigeration and a Comparison with Compresor Refrigeration Systems. J. Energy Tecnol. 2018, 11, 59–69. [Google Scholar]
- Moya, X.; Kar-Narayan, S.; Mathur, N.D. Caloric Materials near Ferroic Phase Transitions. Nat. Mater. 2014, 13, 439–450. [Google Scholar] [CrossRef]
- Dagotto, E.; Hotta, T.; Moreo, A. Colossal Magnetoresistant Materials: The Key Role of Phase Separation. Phys. Rep. 2001, 344, 1–153. [Google Scholar] [CrossRef]
- Dagotto, E. Nanoscale Phase Separation and Colossal Magnetoresistance, 1st ed.; Springer Science & Business Media: New York, NY, USA, 2002; pp. 271–284. [Google Scholar]
- Coey, J.M.D.; Viret, M.; Von Molnár, S. Mixed-Valence Manganites. Adv. Phys. 1999, 48, 167–293. [Google Scholar] [CrossRef]
- Rostamnejadi, A.; Venkatesan, M.; Alaria, J.; Boese, M.; Kameli, P.; Salamati, H.; Coey, J.M.D. Conventional and Inverse Magnetocaloric Effects in La0.45Sr 0.55MnO3 Nanoparticles. J. Appl. Phys. 2011, 110, 043905. [Google Scholar] [CrossRef]
- Varvescu, A.; Deac, I.G. Critical Magnetic Behavior and Large Magnetocaloric Effect in Pr0.67Ba0.33MnO3 Perovskite Manganite. Phys. B Condens. Matter 2015, 470–471, 96–101. [Google Scholar] [CrossRef]
- Weng, S.; Zhang, C.; Han, H. 3D-Heisenberg Ferromagnetic Characteristics in a La0.67 Ba0.33 MnO3 Film on SrTiO3. Eur. Phys. J. B 2021, 94, 91. [Google Scholar] [CrossRef]
- Liedienov, N.A.; Pashchenko, A.V.; Pashchenko, V.P.; Prokopenko, V.K.; Revenko, Y.F. Structure defects, phase transitions, magnetic resonance and magneto-transport properties of La0.6–xEuxSr0.3Mn1.1O3–δ ceramics. Low Temp. Phys. 2016, 42, 1102–1111. [Google Scholar] [CrossRef]
- Amaral, J.S.; Reis, M.S.; Amaral, V.S.; Mendonca, T.M.; Araujo, J.P.; Sa, M.A.; Tavares, P.B.; Vieira, J.M. Magnetocaloric effect in Er- and Eu-substituted ferromagneticLa-Sr manganites. J Magn. Magn. Mat. 2009, 290, 686–689. [Google Scholar]
- Raju, K.; Manjunathrao, S.; Venugopal Reddy, P. Correlation between Charge, Spin and Lattice in La-Eu-Sr Manganites. J. Low Temp. Phys. 2012, 168, 334–349. [Google Scholar] [CrossRef]
- Rao, C.N.R. Perovskites. In Encyclopedia of Physical Science and Technology; Elsevier: Amsterdam, The Netherlands, 2003; pp. 707–714. [Google Scholar]
- Nath, D.; Singh, F.; Das, R. X-Ray Diffraction Analysis by Williamson-Hall, Halder-Wagner and Size-Strain Plot Methods of CdSe Nanoparticles—A Comparative Study. Mater. Chem. Phys. 2020, 239, 2764–2772. [Google Scholar] [CrossRef]
- Wolfgong, W.J. Chemical Analysis Techniques for Failure Analysis. In Handbook of Materials Failure Analysis with Case Studies from the Aerospace and Automotive Industries; Butterworth-Heinemann: Oxford, UK, 2016; pp. 279–307. [Google Scholar]
- Licci, F.; Turilli, G.; Ferro, P. Determination of Manganese Valence in Complex La-Mn Perovskites. J. Magn. Magn. Mater. 1996, 164, L268–L272. [Google Scholar] [CrossRef]
- Tali, R. Determination of Average Oxidation State of Mn in ScMnO3 and CaMnO3 by Using Iodometric Titration. Damascus Univ. J. Basic Sci. 2007, 23, 9–19. [Google Scholar]
- Covaci, E.; Senila, M.; Ponta, M.; Frentiu, T. Analitical performance and validation of optical emission and atomic absorption spectrometry methods for multielemental determination in vegetables and fruits. Rev. Roum. Chim. 2020, 65, 735–745. [Google Scholar] [CrossRef]
- Deac, I.G.; Tetean, R.; Burzo, E. Phase Separation, Transport and Magnetic Properties of La2/3A1/3Mn1−XCoxO3, A = Ca, Sr (0.5 ≤ x ≤ 1). Phys. B Condens. Matter 2008, 403, 1622–1624. [Google Scholar] [CrossRef]
- Gross, R.; Alff, L.; Büchner, B.; Freitag, B.H.; Höfener, C.; Klein, J.; Lu, Y.; Mader, W.; Philipp, J.B.; Rao, M.S.R.; et al. Physics of Grain Boundaries in the Colossal Magnetoresistance Manganites. J. Magn. Magn. Mater. 2000, 211, 150–159. [Google Scholar] [CrossRef]
- Raju, K.; Pavan Kumar, N.; Venugopal Reddy, P.; Yoon, D.H. Influence of Eu Doping on Magnetocaloric Behavior of La0.67Sr0.33MnO3. Phys. Lett. Sect. A Gen. At. Solid State Phys. 2015, 379, 1178–1182. [Google Scholar] [CrossRef]
- Kubo, K.; Ohata, N. A Quantum Theory of Double Exchange. J. Phys. Soc. Jpn. 1972, 33, 21–32. [Google Scholar] [CrossRef]
- Liedienov, N.A.; Wei, Z.; Kalita, V.M.; Pashchenko, A.V.; Li, Q.; Fesych, I.V.; Turchenko, V.A.; Hou, C.; Wei, X.; Liu, B.; et al. Spin-dependent magnetism and superparamagnetic contribution to the magnetocaloric effect of non-stoichiometric manganite nanoparticles. Appl. Mater. Today 2022, 26, 101340. [Google Scholar] [CrossRef]
- Panwar, N.; Pandya, D.K.; Agarwal, S.K. Magneto-Transport and Magnetization Studies of Pr2/3Ba 1/3MnO3:Ag2O Composite Manganites. J. Phys. Condens. Matter 2007, 19, 456224. [Google Scholar] [CrossRef]
- Panwar, N.; Pandya, D.K.; Rao, A.; Wu, K.K.; Kaurav, N.; Kuo, Y.K.; Agarwal, S.K. Electrical and Thermal Properties of Pr 2/3(Ba1-XCsx)1/3MnO 3 Manganites. Eur. Phys. J. B 2008, 65, 179–186. [Google Scholar] [CrossRef]
- Banerjee, B.K. On a Generalised Approach to First and Second Order Magnetic Transitions. Phys. Lett. 1964, 12, 16–17. [Google Scholar] [CrossRef]
- Joy, P.A.; Anil Kumar, P.S.; Date, S.K. The Relationship between Field-Cooled and Zero-Field-Cooled Susceptibilities of Some Ordered Magnetic Systems. J. Phys. Condens. Matter 1998, 10, 11049–11054. [Google Scholar] [CrossRef]
- Arun, B.; Suneesh, M.V.; Vasundhara, M. Comparative Study of Magnetic Ordering and Electrical Transport in Bulk and Nano-Grained Nd0.67Sr0.33MnO3 Manganites. J. Magn. Magn. Mater. 2016, 418, 265–272. [Google Scholar] [CrossRef]
- Peters, J.A. Relaxivity of Manganese Ferrite Nanoparticles. Prog. Nucl. Magn. Reson. Spectrosc. 2020, 120, 72–94. [Google Scholar] [CrossRef]
- Arrott, A. Criterion for Ferromagnetism from Observations of Magnetic Isotherms. Phys.Rev. 1957, 108, 1394–1396. [Google Scholar] [CrossRef]
- Jeddi, M.; Gharsallah, H.; Bejar, M.; Bekri, M.; Dhahri, E.; Hlil, E.K. Magnetocaloric Study, Critical Behavior and Spontaneous Magnetization Estimation in La0.6Ca0.3Sr0.1MnO3 Perovskite. RSC Adv. 2018, 8, 9430–9439. [Google Scholar] [CrossRef]
- Stanley, H.E. Introduction to Phase Transitions and Critical Phenomena; Oxford University Press: Oxford, UK, 1987; pp. 7–10. [Google Scholar]
- Arrott, A.; Noakes, J.E. Approximate Equation of State for Nickel Near Its Critical Temperature. Phys. Rev. Lett. 1967, 19, 786–789. [Google Scholar] [CrossRef]
- Pathria, R.K.; Beale, P.D. Phase Transitions: Criticality, Universality, and Scaling. In Statistical Mechanics; Elsevier: Amsterdam, The Netherlands, 2022; pp. 417–486. [Google Scholar]
- Fisher, M.E.; Ma, S.K.; Nickel, B.G. Critical Exponents for Long-Range Interactions. Phys. Rev. Lett. 1972, 29, 917. [Google Scholar] [CrossRef]
- Smari, M.; Walha, I.; Omri, A.; Rousseau, J.J.; Dhari, E.; Hlil, E.K. Critical parameters near the ferromagnetic–paramagnetic phase transition in La0.5Ca0.5−xAgxMnO3 compounds (0.1 ≤ x ≤ 0.2). Ceram. Int. 2014, 40, 8945–8951. [Google Scholar] [CrossRef]
- Kim, D.; Revaz, B.; Zink, B.L.; Hellman, F.; Rhyne, J.J.; Mitchell, J.F. Tri-critical Point and the Doping Dependence of the Order of the Ferromagnetic Phase Transition of La1−xCaxMnO3. Phys. Rev. Lett. 2002, 89, 227202. [Google Scholar] [CrossRef] [PubMed]
- Zverev, V.; Tishin, A.M. Magnetocaloric Effect: From Theory to Practice. In Reference Module in Materials Science and Materials Engineering; Elsevier: Amsterdam, The Nederlands, 2016; pp. 5035–5041. [Google Scholar] [CrossRef]
- Majumder, D.D.; Majumder, D.D.; Karan, S. Magnetic Properties of Ceramic Nanocomposites. In Ceramic Nanocomposites; Woodhead Publishing Series in Composites Science and Engineering; Banerjee, R., Manna, I., Eds.; Elsevier B.V.: Amsterdam, The Netherlands, 2013; pp. 51–91. [Google Scholar] [CrossRef]
- Souca, G.; Iamandi, S.; Mazilu, C.; Dudric, R.; Tetean, R. Magnetocaloric Effect and Magnetic Properties of Pr1-XCexCo3 Compounds. Stud. Univ. Babeș-Bolyai Phys. 2018, 63, 9–18. [Google Scholar] [CrossRef]
- Naik, V.B.; Barik, S.K.; Mahendiran, R.; Raveau, B. Magnetic and Calorimetric Investigations of Inverse Magnetocaloric Effect in Pr0.46 Sr0.54 MnO3. Appl. Phys. Lett. 2011, 98, 112506. [Google Scholar] [CrossRef]
- Gong, Z.; Xu, W.; Liedienov, N.A.; Butenko, D.S.; Zatovsky, I.V.; Gural’skiy, I.A.; Wei, Z.; Li, Q.; Liu, B.; Batman, Y.A.; et al. Expansion of the multifunctionality in off-stoichiometric manganites using post-annealing and high pressure: Physical and electrochemical studies. Phys Chem. Chem. Phys. 2002, 24, 21872–21885. [Google Scholar] [CrossRef]
- Hueso, L.E.; Sande, P.; Miguéns, D.R.; Rivas, J.; Rivadulla, F.; López-Quintela, M.A. Tuning of the magnetocaloric effect in nanoparticles synthesized by sol–gel techniques. J. Appl. Phys. 2002, 91, 9943–9947. [Google Scholar] [CrossRef]
- Anis, B.; Tapas, S.; Banerjee, S.; Das, I. Magnetocaloric properties of nanocrystalline Pr0.65(Ca0.6Sr0.4)0.35MnO3. J. Appl. Phys. 2008, 103, 013912. [Google Scholar] [CrossRef]
- Ehsani, M.H.; Kameli, P.; Ghazi, M.E.; Razavi, F.S.; Taheri, M. Tunable magnetic and magnetocaloric properties of La0.6Sr0.4MnO3 nanoparticles. J. Appl. Phys. 2013, 114, 223907. [Google Scholar] [CrossRef]
- Griffith, L.D.; Mudryk, Y.; Slaughter, J.; Pecharsky, V.K. Material-based figure of merit for caloric materials. J. Appl. Phys. 2018, 123, 034902. [Google Scholar] [CrossRef]










| Eu Content (Nano) | t (Tolerance Factor) | Mn-O (Å) | Williamson–Hall Size (nm) | Average Rietveld Size (nm) | Strain |
|---|---|---|---|---|---|
| x = 0 | 0.997 | 1.962 | 36.23 | 18.14 | 0.0023 |
| x = 0.05 | 0.992 | 1.959 | 41.46 | 20.62 | 0.0024 |
| x = 0.1 | 0.987 | 1.958 | 29.15 | 21.27 | 0.0019 |
| x = 0.2 | 0.976 | 1.956 | 54.61 | 29.03 | 0.0023 |
| x = 0.3 | 0.966 | 1.953 | 49.95 | 31.57 | 0.0019 |
| x = 0.4 | 0.956 | 1.952 | 45.74 | 34.37 | 0.0017 |
| Eu Content (Bulk) | Williamson–Hall Size (nm) | Mn-O (Å) | Average Rietveld Size (nm) | Strain |
|---|---|---|---|---|
| x = 0 | 110.05 | 1.966 | 111.1 | 0.0017 |
| x = 0.05 | 110.04 | 1.963 | 435.97 | 0.0018 |
| x = 0.1 | 172.03 | 1.962 | 238.22 | 0.0017 |
| x = 0.2 | 146.36 | 1.959 | 324.41 | 0.002 |
| x = 0.3 | 128.38 | 1.958 | 246.71 | 0.0016 |
| x = 0.4 | 106.05 | 1.955 | 144.42 | 0.0016 |
| Eu Content | Average Mn3+ Ratio | Standard Deviation | Relative Standard Deviation (%) | Average Oxygen Content | ICP-OES |
|---|---|---|---|---|---|
| x = 0 | 0.7306 | 0.0159 | 2.18 | O2.98±0.02 | O2.94±0.14 |
| x = 0.05 | 0.7257 | 0.0083 | 1.14 | O2.99±0.01 | O2.93±0.13 |
| x = 0.1 | 0.7032 | 0.0189 | 2.69 | O2.99±0.02 | O2.99±0.13 |
| x = 0.2 | 0.7282 | 0.0136 | 1.87 | O2.98±0.02 | O3.13±0.15 |
| x = 0.3 | 0.7565 | 0.0076 | 0.99 | O2.97±0.01 | O3.03±0.15 |
| x = 0.4 | 0.7612 | 0.0138 | 1.81 | O2.97±0.02 | O3.13±0.17 |
| Compound (Bulk) | TC (K) | TP (K) | ρpeak (Ωcm) in 0 T | MRMax (%) (1 T) | MRMax (%) (2 T) |
|---|---|---|---|---|---|
| La0.7Ba0.3MnO3 | 340 | 295 | 0.693 | 5.8 | 12.9 |
| La0.65Eu0.05Ba0.3MnO3 | 297 | 256 | 0.812 | 4.2 | 11.8 |
| La0.6Eu0.1Ba0.3MnO3 | 270 | 220 | 0.084 | 32.9 | 52.6 |
| La0.5Eu0.2Ba0.3MnO3 | 198 | 165 | 21.753 | 22.7 | 42.1 |
| La0.4Eu0.3Ba0.3MnO3 | 142 | 103 | 240.455 | 40.4 | 63.6 |
| La0.3Eu0.4Ba0.3MnO3 | 99 | - | 100 × 109 | - | - |
Publisher’s Note: MDPI stays neutral with regard to jurisdictional claims in published maps and institutional affiliations. |
© 2022 by the authors. Licensee MDPI, Basel, Switzerland. This article is an open access article distributed under the terms and conditions of the Creative Commons Attribution (CC BY) license (https://creativecommons.org/licenses/by/4.0/).
Share and Cite
Atanasov, R.; Bortnic, R.; Hirian, R.; Covaci, E.; Frentiu, T.; Popa, F.; Deac, I.G. Magnetic and Magnetocaloric Properties of Nano- and Polycrystalline Manganites La(0.7−x)EuxBa0.3MnO3. Materials 2022, 15, 7645. https://doi.org/10.3390/ma15217645
Atanasov R, Bortnic R, Hirian R, Covaci E, Frentiu T, Popa F, Deac IG. Magnetic and Magnetocaloric Properties of Nano- and Polycrystalline Manganites La(0.7−x)EuxBa0.3MnO3. Materials. 2022; 15(21):7645. https://doi.org/10.3390/ma15217645
Chicago/Turabian StyleAtanasov, Roman, Rares Bortnic, Razvan Hirian, Eniko Covaci, Tiberiu Frentiu, Florin Popa, and Iosif Grigore Deac. 2022. "Magnetic and Magnetocaloric Properties of Nano- and Polycrystalline Manganites La(0.7−x)EuxBa0.3MnO3" Materials 15, no. 21: 7645. https://doi.org/10.3390/ma15217645
APA StyleAtanasov, R., Bortnic, R., Hirian, R., Covaci, E., Frentiu, T., Popa, F., & Deac, I. G. (2022). Magnetic and Magnetocaloric Properties of Nano- and Polycrystalline Manganites La(0.7−x)EuxBa0.3MnO3. Materials, 15(21), 7645. https://doi.org/10.3390/ma15217645

