Synergistic Effect of La and TiB2 Particles on Grain Refinement in Aluminum Alloy
Abstract
:1. Introduction
2. Materials and Methods
3. Results
4. Discussion
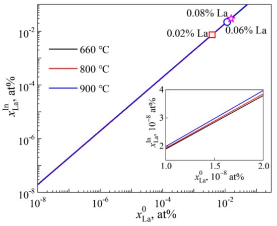
4.1. Segregation of La to Al Melt/TiB2 Particles Interface along with Ti and Cu
4.2. Effect of La and TiB2 on Grain Refinement of Al-2Cu Alloy
5. Conclusions
- (1)
- Combinedly adding Al-5Ti-1B and trace La causes a further grain refinement result compared to the individual addition of Al-5Ti-1B. Average size of α-Al grains decreases first and then almost keeps unchanged with La addition. Satisfactory grain refinement result achieves when La addition reaches 600 ppm.
- (2)
- Theoretical calculations were carried out to investigate the segregation of solute La to melt/TiB2 interface and segregation effect on grain refinement result of Al-5Ti-1B.
- (3)
- Synergistic effect of La and TiB2 on grain refinement is mainly attributed to the enhancement in the heterogeneous nucleation potency of TiB2 particles for α-Al by La segregation to Al melt/TiB2 particles interface.
Author Contributions
Funding
Institutional Review Board Statement
Informed Consent Statement
Data Availability Statement
Conflicts of Interest
References
- Quested, T.E. Understanding mechanisms of grain refinement of aluminum alloys by inoculation. Mater. Sci. Technol. 2013, 20, 1357–1369. [Google Scholar] [CrossRef]
- Wang, Y.; Fang, C.M.; Zhou, L.; Hashimoto, T.; Zhou, X.; Ramasse, Q.M.; Fan, Z. Mechanism for Zr poisoning of Al-Ti-B based grain refiners. Acta Mater. 2019, 164, 428–439. [Google Scholar] [CrossRef] [Green Version]
- Safyari, M.; Moshtaghi, M.; Hojo, T.; Akiyama, E. Mechanisms of hydrogen embrittlement in high-strength aluminum alloys containing coherent or incoherent dispersoids. Corros. Sci. 2022, 194, 109895. [Google Scholar] [CrossRef]
- Maxwell, I.; Hellawell, A. A simple model for grain refinement during solidification. Acta Metall. 1975, 23, 229–237. [Google Scholar] [CrossRef]
- Greer, A.L.; Bunn, A.M.; Tronche, A.; Evans, P.V.; Bristow, D.J. Modelling of inoculation of metallic melts: Application to grain refinement of aluminum by Al–Ti–B. Acta Mater. 2000, 48, 2823–2835. [Google Scholar] [CrossRef]
- Easton, M.A.; Stjohn, D.H. A model of grain refinement incorporating alloy constitution and potency of heterogeneous nucleant particles. Acta Mater. 2001, 49, 1867–1878. [Google Scholar] [CrossRef]
- Quested, T.E.; Greer, A.L. The effect of the size distribution of inoculant particles on as-cast grain size in aluminum alloys. Acta Mater. 2004, 52, 3859–3868. [Google Scholar] [CrossRef]
- Quested, T.E.; Greer, A.L. Grain refinement of Al alloys: Mechanisms determining as-cast grain size in directional solidification. Acta Mater. 2005, 53, 4643–4653. [Google Scholar] [CrossRef]
- Easton, M.A.; Stjohn, D.H. An analysis of the relationship between grain size, solute content, and the potency and number density of nuc leant particles. Metall. Mater. Tran. A 2005, 36, 1911–1920. [Google Scholar] [CrossRef]
- Easton, M.A.; Stjohn, D.H. Improved prediction of the grain size of aluminum alloys that includes the effect of cooling rate. Mater. Sci. Eng. A 2008, 486, 8–13. [Google Scholar] [CrossRef]
- Qian, M.; Cao, P.; Easton, M.A.; Mcdonald, S.D.; Stjohn, D.H. An analytical model for constitutional supercooling-driven grain formation and grain size prediction. Acta Mater. 2010, 58, 3262–3270. [Google Scholar] [CrossRef]
- Stjohn, D.H.; Qian, M.; Easton, M.A.; Cao, P. The interdependence theory: The relationship between grain formation and nucleant selection. Acta Mater. 2011, 59, 4907–4921. [Google Scholar] [CrossRef]
- Prasad, A.; Yuan, L.; Lee, P.D.; Stjohn, D.H. The Interdependence model of grain nucleation: A numerical analysis of the Nucleation-Free Zone. Acta Mater. 2013, 61, 5914–5927. [Google Scholar] [CrossRef]
- Jiang, W.M.; Fan, Z.T.; Dai, Y.C.; Li, C. Effects of rare earth elements addition on microstructures, tensile properties and fractography of A357 alloy. >Mater. Sci. Eng. A 2014, 597, 237–244. [Google Scholar] [CrossRef]
- Pourbahari, B.; Emamy, M. Effects of La intermetallics on the structure and tensile properties of thin section gravity die-cast A357 Al alloy. Mater. Des. 2016, 94, 111–120. [Google Scholar] [CrossRef] [Green Version]
- Yi, H.; Zhang, D.; Sakata, T.; Mori, H. Microstructural evolution in as-cast hypereutectic Al–Si alloys with different La additions. Z. Metallkd. 2002, 93, 1237–1244. [Google Scholar] [CrossRef]
- Nogita, K.; Mcdonald, S.D.; Dahle, A.K. Eutectic Modification of Al-Si Alloys with Rare Earth. Met. Mater. Trans. 2004, 45, 323–326. [Google Scholar] [CrossRef] [Green Version]
- Tsai, Y.C.; Chou, C.Y.; Lee, S.L.; Lin, C.K.; Lin, J.C.; Lim, S.W. Effect of trace La addition on the microstructures and mechanical properties of A356(Al–7Si–0.35Mg) aluminum alloys. J. Alloys Compd. 2009, 487, 157–162. [Google Scholar] [CrossRef]
- Chen, Y.; Pan, Y.; Lu, T.; Tao, S.; Wu, J. Effects of combinative addition of lanthanum and boron on grain refinement of Al–Si casting alloys. Mater. Des. 2014, 64, 423–426. [Google Scholar] [CrossRef]
- Li, D.; Cui, C.; Wang, X.; Wang, Q.; Chen, C.; Liu, S. Microstructure evolution and enhanced mechanical properties of eutectic Al–Si die cast alloy by combined alloying Mg and La. Mater. Des. 2016, 90, 820–828. [Google Scholar] [CrossRef]
- Qiu, C.; Miao, S.; Li, X.; Xia, X.; Ding, J.; Wang, Y.; Zhao, W. Synergistic effect of Sr and La on the microstructure and mechanical properties of A356.2 alloy. Mater. Des. 2017, 114, 563–571. [Google Scholar] [CrossRef]
- Jiang, H.X.; Li, S.X.; Zheng, Q.J.; Zhang, L.L.; He, J.; Song, Y.; Deng, C.K.; Zhao, J.Z. Effect of minor lanthanum on the microstructures, tensile and electrical properties of Al-Fe alloys. Mater. Des. 2020, 195, 108991. [Google Scholar] [CrossRef]
- Zhang, L.L.; Zheng, Q.J.; Jiang, H.X.; He, J.; Zhao, J.Z. Effect of La addition on microstructure evolution of hypoeutectic Al–6Si alloys. J. Mater. Sci. 2020, 55, 7546–7554. [Google Scholar] [CrossRef]
- Zheng, Q.J.; Zhang, L.L.; Jiang, H.X.; Zhao, J.Z.; He, J. Effect mechanisms of micro-alloying element La on microstructure and mechanical properties of hypoeutectic Al-Si alloys. J. Mater. Sci. Technol. 2020, 47, 142–151. [Google Scholar] [CrossRef]
- Zhang, L.L.; Zheng, Q.J.; Jiang, H.X.; Zhao, J.Z. Interfacial energy between Al melt and TiB2 particles and efficiency of TiB2 particles to nucleate α-Al. Scr. Mater. 2019, 160, 25–28. [Google Scholar] [CrossRef]
- Iida, T.; Guthrie, R.I.L. The Physical Properties of Liquid Metals; Oxford University Press Inc.: New York, NY, USA, 1998. [Google Scholar]
- Fan, T.; Yang, G.; Zhang, D. Thermodynamic effect of alloying addition on in-situ reinforced TiB2/Al composites. Metall. Mater. Trans. A 2005, 36, 225–233. [Google Scholar] [CrossRef]
- Barin, I. Thermochemical Data of Pure Substances, 3rd ed.; VCH Publishers: New York, NY, USA, 1995. [Google Scholar]
- Zhang, L.L.; Jiang, H.X.; He, J.; Zhao, J.Z. A new model of growth restriction factor for hypoeutectic aluminum alloys. Scr. Mater. 2020, 179, 99–101. [Google Scholar] [CrossRef]
- Elliott, R.P.; Shunk, F.A. The Al−La (Aluminum-Lanthanum) system. Bull. Alloy Phase Diagr. 1981, 2, 219–221. [Google Scholar] [CrossRef]
- Tan, L.M.; Wang, G.M.; Guo, Y.; Fang, Q.H.; Liu, Z.C.; Xiao, X.Y.; He, W.Q.; Qin, Z.J.; Zhang, Y.; Liu, F.; et al. Additively manufactured oxide dispersion strengthened nickel-based superalloy with superior high temperature properties. Virtual Phys. Prototyp. 2020, 15, 555–569. [Google Scholar] [CrossRef]
- Li, S.B.; Du, W.B.; Wang, X.D.; Liu, K.; Wang, Z.H. Effect of Zr Addition on the Grain Refinement Mechanism of Mg-Gd-Er Alloys. Acta Metall. Sin. 2018, 54, 911–917. [Google Scholar]








Publisher’s Note: MDPI stays neutral with regard to jurisdictional claims in published maps and institutional affiliations. |
© 2022 by the authors. Licensee MDPI, Basel, Switzerland. This article is an open access article distributed under the terms and conditions of the Creative Commons Attribution (CC BY) license (https://creativecommons.org/licenses/by/4.0/).
Share and Cite
Zhang, L.; Song, Y.; Yang, L.; Zhao, J.; He, J.; Jiang, H. Synergistic Effect of La and TiB2 Particles on Grain Refinement in Aluminum Alloy. Materials 2022, 15, 600. https://doi.org/10.3390/ma15020600
Zhang L, Song Y, Yang L, Zhao J, He J, Jiang H. Synergistic Effect of La and TiB2 Particles on Grain Refinement in Aluminum Alloy. Materials. 2022; 15(2):600. https://doi.org/10.3390/ma15020600
Chicago/Turabian StyleZhang, Lili, Yan Song, Linjie Yang, Jiuzhou Zhao, Jie He, and Hongxiang Jiang. 2022. "Synergistic Effect of La and TiB2 Particles on Grain Refinement in Aluminum Alloy" Materials 15, no. 2: 600. https://doi.org/10.3390/ma15020600
APA StyleZhang, L., Song, Y., Yang, L., Zhao, J., He, J., & Jiang, H. (2022). Synergistic Effect of La and TiB2 Particles on Grain Refinement in Aluminum Alloy. Materials, 15(2), 600. https://doi.org/10.3390/ma15020600
