Effect of Flocculants Residue on Rheological Properties of Ultra-Fine Argillaceous Backfilling Slurry
Abstract
:1. Introduction
2. Experiment
2.1. Materials
2.2. Experimental Methods
2.2.1. Specimen Preparation
2.2.2. Rheological Tests
3. Results and Discussion
3.1. The Rheological Behaviour of Red Mud with Different Flocculants
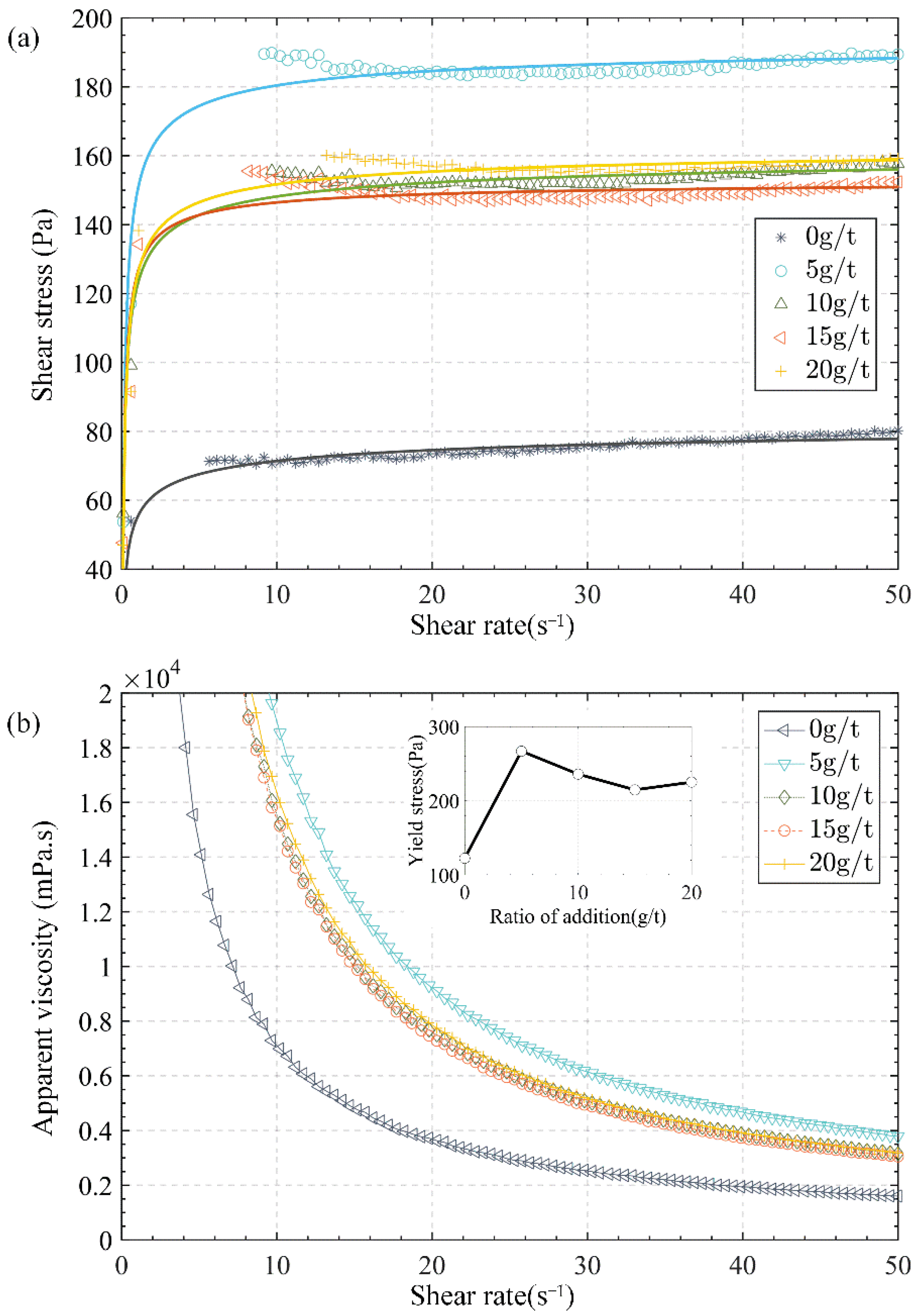
3.2. Effect of Ratio of APAM Additive
3.3. Effect of Stirring Time
3.4. Effect of Temperature
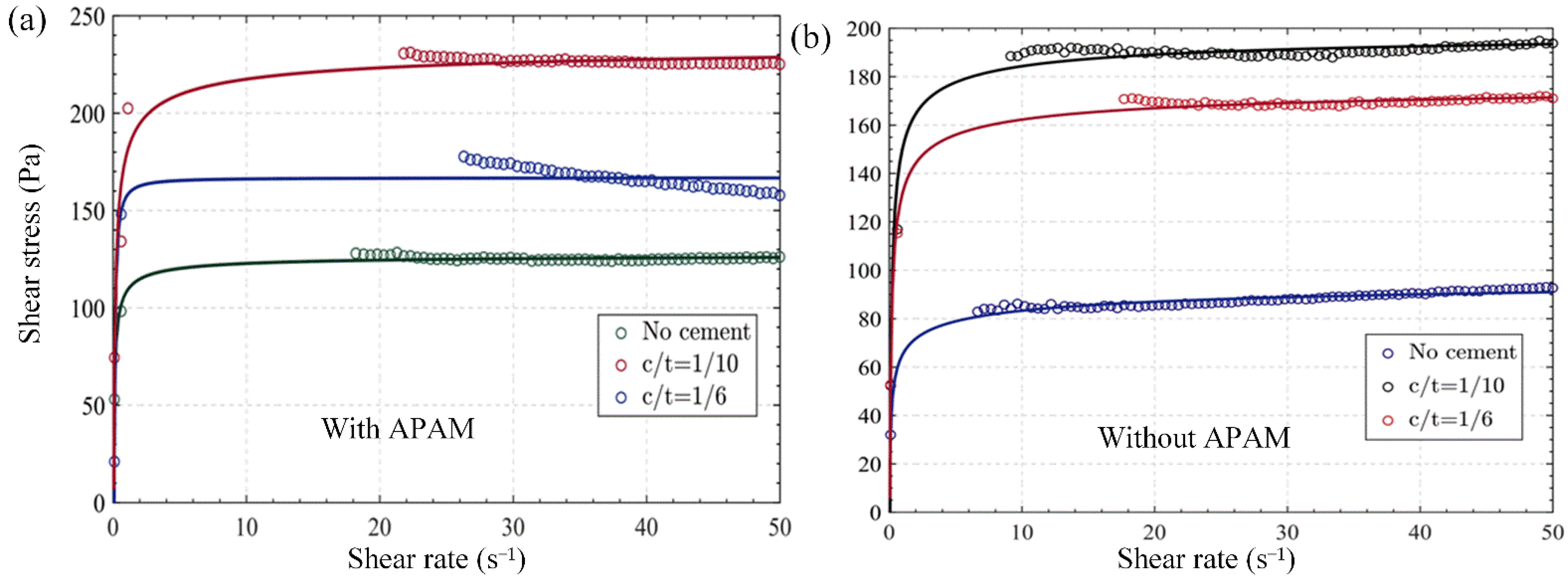
3.5. Effect of C/T Ratio
3.6. The Effect of Residual Flocculants in Slurry Transportation
4. Mechanism Analysis
- As shown in Figure 11a, the dosage of flocculants was less at a low additive ratio, and there were still some free fine particles in the slurry that were not captured by polymer molecules or captured particles with adsorbed vacancies. Because there were few polymer molecules objectively, the particles bridged by polymer molecular chains were also very limited, resulting in loose floc structure and less floc water formed. With the increase in flocculants addition, as shown in Figure 11b, all the fine particles in the slurry could be adsorbed completely, and there were no extra adsorption vacancies on the particles at the reasonable additive ratio. At this time, the polymer molecular chain could bridge the fine particles in the slurry to the greatest extent, and the formed floc structure was the most stable, which could wrap more water. If the dosage of flocculants continued to increase, as shown in Figure 11c, there would be no free fine particles in the slurry. The polymer molecules tended to adsorb the remaining vacancies of the originally attached particles, and only a few polymer molecules adsorbed vacancies on other particles outward. As a result, the bridging effect of polymer chains was weakened, resulting in a relatively loose flocculant network structure and less floc water formed by wrapping [15,25];
- Secondly, the flocculant network structure formed by bridging was only a relatively stable structure, which can be destroyed by shear reaction (continuous stirring). Under the continuous action of external shear force, as shown in Figure 11d, the floc structure was split into small flocs due to the fracture of long-chain molecules, and the fine tailings particles originally agglomerated together were dispersed to many small flocs. Furthermore, a large number of water molecules originally adsorbed and contained were also released. In addition, the degree of damage to the floc structure would be deepened with the increase in stirring time [26,27];
- Thirdly, temperature could affect the adsorption bridging effect of flocculants. Under a suitable temperature condition, the flocculants were fully dissociated, and the polymer molecular chain was extended, which met the requirements of chain adsorption particles. As shown in Figure 11f, the dissociation of flocculants was limited at a lower temperature (5 °C), and the molecular chains of flocculants became tiny and curved, which promoted the adhesion of polymer molecules on the surface of particles. The polymer molecules tended to adsorb the remaining vacancies of the originally attached particles instead of outward adsorbing the vacancies on the surrounding particles, thus inhibiting the adsorption bridging effect of flocculants molecules [27,28].
5. Conclusions
- The addition of flocculants increased the viscosity and yield stress of slurry. The shear stress of the samples with APAM varied from 90 Pa to 160 Pa, which was much higher than NPAM and CPAM. Additionally, by combining the settling rate performance of the three flocculants, it can be concluded that APAM was the best flocculant for selecting ultra-fine particles;
- At a certain amount of flocculants additive, the flocculant network structure reached the best development state, which made yield stress 118% higher than slurry without APAM and 18% higher than with excessive APAM. It is suggested that the rheological and sedimentation tests should be conducted in advance to explore the best addition of flocculant in order to obtain the best flocculation effect;
- Prolonging the stirring time and reducing ambient temperature can weaken the adsorption and bridging effect of polymeric chains, and long shear time increases the damage to the flocculant network structure. The yield stress decreased from 210 to 142 Pa, with the stirring time increasing from 3 to 12 min. In the lower temperature environment, the flocculation effect of flocculants was poor due to molecular bending. The effect of temperature was less, and low temperature only reduced the yield stress by 2%. It is theoretically feasible to reduce the negative effects of residual flocculants in pipeline transportation by prolonging stirring time and lowering temperature;
- A large number of hydration products were generated during the hydration reaction (e.g., calcium silica hydration gel, ettringite, calcium hydroxide), which increased the friction and adhesion between particles. When comparing the flow curves with and without cement, the shear stress of the slurry, which was added with cement, increased significantly. Additionally, the shear stress of slurry with APAM action was further increased, in which the shear stress of slurry of 1:10 c/t ratio was increased by 44%. In summary, both flocculants and cement increase the resistance of filling slurry pipeline transportation, which adversely affects pipeline transportation.
Author Contributions
Funding
Institutional Review Board Statement
Informed Consent Statement
Data Availability Statement
Acknowledgments
Conflicts of Interest
References
- Haiqiang, J.; Fall, M.; Cui, L. Yield stress of cemented paste backfill in sub-zero environments: Experimental results. Miner. Eng. 2016, 92, 141–150. [Google Scholar] [CrossRef]
- Liu, L.; Xin, J.; Huan, C.; Qi, C.; Zhou, W.; Song, K.-I. Pore and strength characteristics of cemented paste backfill using sulphide tailings: Effect of sulphur content. Constr. Build. Mater. 2019, 237, 117452. [Google Scholar] [CrossRef]
- Botha, L.; Soares, J.B. The influence of tailings composition on flocculation. Can. J. Chem. Eng. 2015, 93, 1514–1523. [Google Scholar] [CrossRef]
- Qi, C.; Fourie, A. Cemented paste backfill for mineral tailings management: Review and future perspectives. Miner. Eng. 2019, 144, 106025. [Google Scholar] [CrossRef]
- Fall, M.; Benzaazoua, M.; Saa, E. Mix proportioning of underground cemented tailings backfill. Tunn. Undergr. Space Technol. 2008, 23, 80–90. [Google Scholar] [CrossRef]
- Zhao, Y.; Taheri, A.; Karakus, M.; Chen, Z.; Deng, A. Effects of water content, water type and temperature on the rheological behaviour of slag-cement and fly ash-cement paste backfill. Int. J. Min. Sci. Technol. 2020, 30, 271–278. [Google Scholar] [CrossRef]
- Wang, X.-M.; Zhao, J.-W.; Xue, J.-H.; Yu, G.-F. Features of pipe transportation of paste-like backfilling in deep mine. J. Cent. South Univ. 2011, 18, 1413–1417. [Google Scholar] [CrossRef]
- Panchal, S.; Deb, D.; Sreenivas, T. Variability in rheology of cemented paste backfill with hydration age, binder and superplasticizer dosages. Adv. Powder Technol. 2018, 29, 2211–2220. [Google Scholar] [CrossRef]
- Ren, W.; Gao, R.; Zhang, Y.; Hou, M. Rheological Properties of Ultra-Fine Tailings Cemented Paste Backfill under Ultrasonic Wave Action. Minerals 2021, 11, 718. [Google Scholar] [CrossRef]
- Wu, D.; Cai, S.-J.; Huang, G. Coupled effect of cement hydration and temperature on rheological properties of fresh cemented tailings backfill slurry. Trans. Nonferrous Met. Soc. China 2014, 24, 2954–2963. [Google Scholar] [CrossRef]
- Deng, D.; Liu, L.; Yao, Z.; Song, K.-I.; Lao, D. A practice of ultra-fine tailings disposal as filling material in a gold mine. J. Environ. Manag. 2017, 196, 100–109. [Google Scholar] [CrossRef] [PubMed]
- Yingliang, Z.; Zhengyu, M.; Jingping, Q.; Xiaogang, S.; Xiaowei, G. Experimental study on the utilization of steel slag for cemented ultra-fine tailings backfill. Powder Technol. 2020, 375, 284–291. [Google Scholar] [CrossRef]
- Wu, A.; Jiao, H.-Z.; Wang, H.-J.; Yang, S.-K.; Li, L.L.; Qi, Y.; Liu, H. Status and development trends of paste disposal technology with ultra-fine unclassified tailings in China. In Proceedings of the 14th International Seminar on Paste and Thickened Tailings, Fremantle, Australia, 5–7 April 2011; Australian Centre for Geomechanics: Perth, Australia, 2011; pp. 477–489. [Google Scholar] [CrossRef]
- Xu, W.; Tian, M.; Li, Q. Time-dependent rheological properties and mechanical performance of fresh cemented tailings backfill containing flocculants. Miner. Eng. 2019, 145, 106064. [Google Scholar] [CrossRef]
- Chen, Q.; Tao, Y.; Zhang, Q.; Qi, C. The rheological, mechanical and heavy metal leaching properties of cemented paste backfill under the influence of anionic polyacrylamide. Chemosphere 2022, 286 Pt 1, 131630. [Google Scholar] [CrossRef]
- Wu, A.; Yang, S.; Wang, H. Present situation and trend of ultra-fine paste disposal technology. Min. Technol. 2011, 11, 4–8. [Google Scholar]
- Lipscomb, G.G.; Denn, M.M. Flow of bingham fluids in complex geometries. J. Non-Newton. Fluid Mech. 1984, 14, 337–346. [Google Scholar] [CrossRef]
- Yuan, Q.; Xie, Z.; Yao, H.; Huang, T.; Fan, M. Hydration, mechanical properties, and microstructural characteristics of cement pastes with different ionic polyacrylamides: A comparative study. J. Build. Eng. 2022, 56, 104763. [Google Scholar] [CrossRef]
- Wang, S.; Song, X.; Wei, M.; Liu, W.; Wang, X.; Ke, Y.; Tao, T.; Liu, H. Flow Characteristics of Fresh Cemented Paste Backfill Containing Flocculant under Variable Shear Rate Based on Water Migration. Min. Met. Explor. 2022, 39, 1189–1203. [Google Scholar] [CrossRef]
- Wang, D.-L.; Zhang, Q.-L.; Chen, Q.-S.; Qi, C.-C.; Feng, Y.; Xiao, C.-C. Temperature variation characteristics in flocculation settlement of tailings and its mechanism. Int. J. Miner. Met. Mater. 2020, 27, 1438–1448. [Google Scholar] [CrossRef]
- Deng, X.J.; Klein, B.; Zhang, J.X.; Hallbom, D.; de Wit, B. Time-dependent rheological behaviour of cemented backfill mixture. Int. J. Min. Reclam. Environ. 2018, 32, 145–162. [Google Scholar] [CrossRef]
- Ries, H.E.; Meyers, B.L. Flocculation Mechanism: Charge Neutralization and Bridging. Science 1968, 160, 1449–1450. [Google Scholar] [CrossRef] [PubMed]
- Biggs, S.; Habgood, M.; Jameson, G.J.; Yan, Y.-D. Aggregate structures formed via a bridging flocculation mechanism. Chem. Eng. J. 2000, 80, 13–22. [Google Scholar] [CrossRef]
- Dickinson, E.; Eriksson, L. Particle flocculation by adsorbing polymers. Adv. Colloid Interface Sci. 1991, 34, 1–29. [Google Scholar] [CrossRef]
- Yong, W.; Ai-Xiang, W.; Hong-Jiang, W.; Si-Zhong, L.; Bo, Z. Influence mechanism of flocculants dosage on tailings thickening. J. Univ. Sci. Technol. 2013, 35, 1419–1423. [Google Scholar]
- Yang, Y.; Wang, H.; Klein, B.; Wu, A. Shear-Dependent Yield Stress of Iron Ore Fine Tailings in Two-Step Flocculation Process. Adv. Mater. Sci. Eng. 2020, 2020, 6611392. [Google Scholar] [CrossRef]
- Williams, D.A.; Saak, A.W.; Jennings, H.M. The influence of mixing on the rheology of fresh cement paste. Cem. Concr. Res. 1999, 29, 1491–1496. [Google Scholar] [CrossRef]
- Adachi, C.; Baldo, M.A.; Forrest, S.R. Electroluminescence mechanisms in organic light emitting devices employing a europium chelate doped in a wide energy gap bipolar conducting host. J. Appl. Phys. 2000, 87, 8049–8055. [Google Scholar] [CrossRef]
- Zhang, C.; Liu, R.; Chen, M.; Li, J.; Wang, X.; Liu, Y.; Zhu, Z.; Wang, M.; Fan, F. Influence of the flocculation effect on the rheological properties of cement slurry. Powder Technol. 2022, 398, 117118. [Google Scholar] [CrossRef]
- Yilmaz, E.; Belem, T.; Bussière, B.; Mbonimpa, M.; Benzaazoua, M. Curing time effect on consolidation behaviour of cemented paste backfill containing different cement types and contents. Constr. Build. Mater. 2015, 75, 99–111. [Google Scholar] [CrossRef]
- Wu, A.; Wang, Y.; Wang, H.; Yin, S.; Miao, X. Coupled effects of cement type and water quality on the properties of cemented paste backfill. Int. J. Miner. Process. 2015, 143, 65–71. [Google Scholar] [CrossRef]
- Wu, D.; Fall, M.; Cai, S. Coupling temperature, cement hydration and rheological behaviour of fresh cemented paste backfill. Miner. Eng. 2013, 42, 76–87. [Google Scholar] [CrossRef]











| Density (g/cm3) | K (cm/s) | Median Grain Size (μm) | Specific Surface Area (m²/kg) | Cu | Cc | pH |
|---|---|---|---|---|---|---|
| 2.424 | 3.35 × 10−7 | 3.248 | 2940 | 4.741 | 0.946 | 12.1 |
Publisher’s Note: MDPI stays neutral with regard to jurisdictional claims in published maps and institutional affiliations. |
© 2022 by the authors. Licensee MDPI, Basel, Switzerland. This article is an open access article distributed under the terms and conditions of the Creative Commons Attribution (CC BY) license (https://creativecommons.org/licenses/by/4.0/).
Share and Cite
Li, S.; Yu, Z.; Hu, B.; Yu, H.; Wang, X. Effect of Flocculants Residue on Rheological Properties of Ultra-Fine Argillaceous Backfilling Slurry. Materials 2022, 15, 6485. https://doi.org/10.3390/ma15186485
Li S, Yu Z, Hu B, Yu H, Wang X. Effect of Flocculants Residue on Rheological Properties of Ultra-Fine Argillaceous Backfilling Slurry. Materials. 2022; 15(18):6485. https://doi.org/10.3390/ma15186485
Chicago/Turabian StyleLi, Shuai, Zheng Yu, Boyi Hu, Haoxuan Yu, and Xinmin Wang. 2022. "Effect of Flocculants Residue on Rheological Properties of Ultra-Fine Argillaceous Backfilling Slurry" Materials 15, no. 18: 6485. https://doi.org/10.3390/ma15186485
APA StyleLi, S., Yu, Z., Hu, B., Yu, H., & Wang, X. (2022). Effect of Flocculants Residue on Rheological Properties of Ultra-Fine Argillaceous Backfilling Slurry. Materials, 15(18), 6485. https://doi.org/10.3390/ma15186485

