Microstructure and Magnetic Properties of Nanocrystalline Fe60−xCo25Ni15Six Alloy Elaborated by High-Energy Mechanical Milling
Abstract
1. Introduction
2. Materials and Methods
3. Results and Discussion
3.1. SEM Analysis
3.2. XRD Analysis
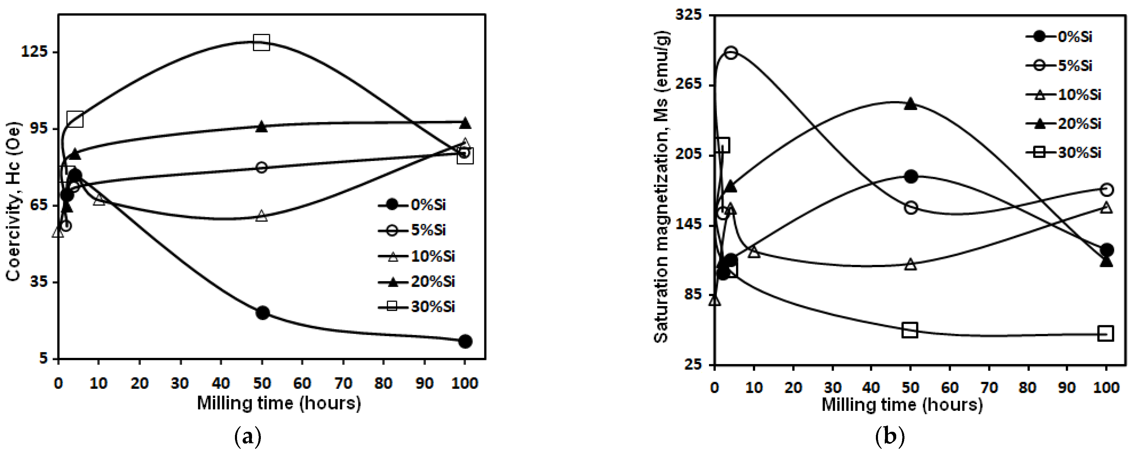
3.3. Magnetic Properties
4. Conclusions
Author Contributions
Funding
Institutional Review Board Statement
Informed Consent Statement
Data Availability Statement
Conflicts of Interest
References
- Laala-Bouali, H.; Bentayeb, F.Z.; Louidi, S.; Guo, X.; Tria, S.; Suñol, J.J.; Escoda, L. X-ray line profile analysis of the ball-milled Fe–30Co alloy. Adv. Powder Technol. 2013, 24, 168–174. [Google Scholar] [CrossRef]
- Satthawong, R.; Koizumi, N.; Song, C.; Prasassarakich, P. Bimetallic Fe–Co catalysts for CO2 hydrogenation to higher hydrocarbons. J. CO2 Util. 2013, 3, 102–106. [Google Scholar] [CrossRef]
- Raanaei, H.; Eskandari, H.; Mohammad-Hosseini, V. Structural and magnetic properties of nanocrystalline Fe–Co–Ni alloy processed by mechanical alloying. J. Magn. Magn. Mater. 2016, 398, 190–195. [Google Scholar] [CrossRef]
- Li, X.; Takahashi, S. Synthesis and magnetic properties of Fe–Co–Ni nanoparticles by hydrogen plasma–metal reaction. J. Magn. Magn. Mater. 2000, 214, 195–203. [Google Scholar] [CrossRef]
- Gupta, K.; Raina, K.K.; Sinha, S.K. Influence of process parameters and alloy composition on structural, magnetic and electrical characteristics of Ni–Fe permalloys. J. Alloys Compd. 2007, 429, 357–364. [Google Scholar] [CrossRef]
- Handbook. A.S.M. Metallography and Microstructures; ASM International: Geauga County, OH, USA, 1995; p. 538. [Google Scholar]
- Dietrich, D.W. Magnetically Soft Materials, Properties and Selection: Non-ferrous Alloys Special-Purpose Materials; ASM Handbook; ASM International: Geauga County, OH, USA, 1990; p. 761. [Google Scholar]
- Jiles, D. Introduction to Magnetism and Magnetic Materials; Chapman and Hall: London, UK, 1991; pp. 280–297. [Google Scholar]
- Lu, Z.; Li, H.; Lei, Z.; Chang, C.; Wang, X.; Lu, Z. The effects of metalloid elements on the nanocrystallization behavior and soft magnetic properties of FeCBSiPCu amorphous alloys. Metals 2018, 8, 283. [Google Scholar] [CrossRef]
- Kim, Y.; Hwang, B. Effect of metalloid elements on the mechanical properties of Fe-based bulk amorphous alloys. Korean J. Mater. Res. 2016, 26, 671–675. [Google Scholar] [CrossRef]
- Gorria, P.; Martínez-Blanco, D.; Pérez, M.J.; Blanco, J.A.; Hernando, A.; Laguna-Marco, M.A.; Haskel, D.; Souza-Neto, N.; Smith, R.I.; Marshall, W.G.; et al. Stress-induced large Curie temperature enhancement in Fe64 Ni36 Invar alloy. Phys. Rev. B 2009, 80, 064421. [Google Scholar] [CrossRef]
- Zuo, T.T.; Li, R.B.; Ren, X.J.; Zhang, Y. Effects of Al and Si addition on the structure and properties of CoFeNi equal atomic ratio alloy. J. Magn. Magn. Mater. 2014, 371, 60–68. [Google Scholar] [CrossRef]
- Zuo, T.; Gao, M.C.; Ouyang, L.; Yang, X.; Cheng, Y.; Feng, R.; Chen, S.; Liaw, P.K.; Hawk, J.A.; Zhang, Y. Tailoring magnetic behavior of CoFeMnNiX (X = Al, Cr, Ga, and Sn) high entropy alloys by metal doping. Acta Mater. 2017, 130, 10–18. [Google Scholar] [CrossRef]
- Chen, C.; Wang, W.; Li, H.; Wei, P.; Zhang, W.; Fan, Y.; Chen, J.; Yuan, S.; Wei, R.; Zhang, T.; et al. Effects of Al and Mn on microstructure, magnetic and mechanical properties of Fe40Co40Ni10M10 (M = Al, Mn) medium entropy alloys. J. Alloys Compd. 2022, 890, 161779. [Google Scholar] [CrossRef]
- Chang, T.; Zou, C.M.; Zhu, D.D.; Wang, X.H.; Wei, Z.J.; Wang, H.W.; Fang, N.; Chen, J.H. Microstructure and magnetic behaviors of FeCoNi (Al) alloys with incoherent nanoprecipitates prepared by high-pressure solidification. J. Alloys Compd. 2022, 894, 162501. [Google Scholar] [CrossRef]
- Feng, W.; Qi, Y.; Wang, S. Effects of Mn and Al addition on structural and magnetic properties of FeCoNi-based high entropy alloys. Mater. Res. Express. 2018, 5, 106511. [Google Scholar] [CrossRef]
- Li, Z.; Qi, J.; Li, Z.; Li, H.; Xu, H.; Bai, G.; Liu, X.; Zhang, X. Effect of grain and phase boundaries on soft magnetic properties of FeCoNiAlSi high-entropy alloys. Mater. Lett. 2021, 297, 129965. [Google Scholar] [CrossRef]
- Kulkarni, R.; Murty, B.S.; Srinivas, V. Study of microstructure and magnetic properties of AlNiCo(CuFe) high entropy alloy. J. Alloys Compd. 2018, 746, 194–199. [Google Scholar] [CrossRef]
- Alijani, V.; Winterlik, J.; Fecher, G.H.; Naghavi, S.S.; Felser, C. Quaternary half-metallic Heusler ferromagnets for spintronics applications. Phys. Rev. B 2011, 83, 184428. [Google Scholar] [CrossRef]
- Prasad, N.K.; Kumar, V. Structure–magnetic properties correlation in mechanically alloyed nanocrystalline Fe–Co–Ni–(Mg–Si)x alloy powders. J. Mater. Sci. Mater. Electron. 2016, 27, 10136–10146. [Google Scholar] [CrossRef]
- Yuping, D.; Yahong, Z.; Tongmin, W.; Shuchao, G.; Xingjun, L. Evolution study of microstructure and electromagnetic behaviors of Fe–Co–Ni alloy with mechanical alloying. Mater. Sci. Eng. B 2014, 185, 86–93. [Google Scholar] [CrossRef]
- Sahu, P.; Solanki, S.; Dewangan, S.; Kumar, V. Microstructure and magnetic behavior of FeCoNi (Mn–Si)x (x = 0.5, 0.75, 1.0) high-entropy alloys. J. Mater. Res. 2019, 34, 829–840. [Google Scholar] [CrossRef]
- Khitouni, N.; Daly, R.; Escoda, L.; Llorca-Isern, N.; Suñol, J.J.; Dammak, M.; Khitouni, M. The Effect of B and Si Additions on the Structural and Magnetic Behavior of Fe-Co-Ni Alloy Prepared by High-energy Mechanical Milling. J. Supercond. Nov. Magn. 2020, 33, 2727–2735. [Google Scholar] [CrossRef]
- Carrillo, A.; Escoda, L.; Saurina, J.; Suñol, J.J. Structural and Magnetic behavior of Fe(Nb,Zr) rich alloys produced by mechanical alloying. AIP Adv. 2018, 8, 047704. [Google Scholar] [CrossRef]
- Lutterotti, L. MAUD CPD Newsletter; IUCr: Chester, UK, 2000; p. 24. [Google Scholar]
- Suryanarayana, C.; Ivanov, E.; Boldyrev, V.V. The science and technology of mechanical alloying. Mater. Sci. Eng. A 2001, 304, 151–158. [Google Scholar] [CrossRef]
- Koch, C.C. Top-Down Synthesis of Nanostructured Materials: Mechanical and Thermal Processing Methods. Rev. Adv. Mater. Sci. 2003, 5, 91–99. [Google Scholar]
- Khajepour, M.; Sharafi, S. Characterization of nanostructured Fe–Co–Si powder alloy. Powder Technol. 2012, 232, 124–133. [Google Scholar] [CrossRef]
- Chitsazan, B.; Shokrollahi, H.; Behvandi, A.; Mirzaee, O. Characterization and magnetic coercivity of nanostructured (Fe50Co50)100-XVX= 0,2,4 powders containing a small amount of Co3V intermetallic obtained by mechanical alloying. Powder Technol. 2011, 214, 105–110. [Google Scholar] [CrossRef]
- Mhadhbi, M.; Khitouni, M.; Escoda, L.; Suñol, J.J. X-ray studies of structure defects in nanostructured FeAl alloy. Mater. Lett. 2010, 64, 1802–1805. [Google Scholar] [CrossRef]
- Mohamed, F.A. A dislocation model for the minimum grain size obtainable by milling. Acta Mater. 2003, 51, 4107–4119. [Google Scholar] [CrossRef]
- Kalita, M.P.; Perumal, A.; Srinivasan, A. Structure and magnetic properties of nanocrystalline Fe75Si25 powders prepared by mechanical alloying. J. Magn. Magn. Mater. 2008, 320, 2780–2783. [Google Scholar] [CrossRef]
- Daly, R.; Sunol, J.J.; Khitouni, M. Structural thermal properties of the Fe-based alloys prepared by mechanical milling Korean. J. Chem. Eng. 2022, 39, 1614–1623. [Google Scholar]
- Souilah, S.; Alleg, S.; Djebbari, C.; Ben Salema, R.; Sunol, J.J. Magnetic and microstructural properties of the mechanically alloyed Fe57Co21Nb7B15 powder mixture. Mater. Chem. Phys. 2012, 132, 766–772. [Google Scholar] [CrossRef]
- Yousefi, M.; Sharafi, S.; Mehrolhosseiny, A. Correlation between structural parameters and magnetic properties of ball milled nano-crystalline Fe–Co–Si powders. Adv. Powder Technol. 2014, 25, 752–760. [Google Scholar] [CrossRef]
- Gercsi, Z.; Mazaleyrat, F.; Kane, S.N.; Varga, L.K. Magnetic and structural study of (Fe1-xCox)62Nb8B30 bulk amorphous alloys. Mater. Sci. Eng. A 2004, 375, 1048–1052. [Google Scholar] [CrossRef]
- McHenry, M.E.; Willard, M.A.; Laughlin, D.E. Amorphous and nanocrystalline materials for applications as soft magnets. Prog. Mater. Sci. 1999, 44, 291–433. [Google Scholar] [CrossRef]
- Alves, F.; Simon, F.; Kane, S.N.; Mazaleyrat, F.; Waeckerle, T.; Save, T.; Gupta, A. Influence of rapid stress annealing on magnetic and structural properties of nanocrystalline Fe74.5Cu1Nb3Si15.5B6 alloy. J. Magn. Magn. Mater. 2005, 294, e141–e144. [Google Scholar] [CrossRef]
- Daly, R.; Khitouni, N.; Escoda, M.L.; Isern, N.L.; Sunol, J.J.; Greneche, J.M.; Khitouni, M. Microstructure, Magnetic and Mössbauer Studies of Mechanically Alloyed FeCoNi Nanocrystalline Powders. Arab. J. Sci. Eng. 2021, 46, 5633–5643. [Google Scholar] [CrossRef]
- Schrefl, T.; Fidler, J.; Kronmüller, H. Remanence and coercivity in isotropic nanocrystalline permanent magnets. Phys. Rev. B 1994, 49, 6100. [Google Scholar] [CrossRef]
- Jurczyk, M. Nanocomposite Nd–Fe–B type magnets. J. Alloys Compd. 2000, 299, 283–286. [Google Scholar] [CrossRef]
- Kaczmarska, K.; Pierre, J.; Tobola, J.; Skolozdra, R.V. Anderson localization of 3 d Mn states in semi-Heusler phases. Phys. Rev. B 1999, 60, 373. [Google Scholar] [CrossRef]
- Shen, T.D.; Schwarz, R.B.; Thompson, J.D. Soft magnetism in mechanically alloyed nanocrystalline materials. Phys. Rev. B 2005, 72, 014431. [Google Scholar] [CrossRef]
- Yu, R.H.; Basu, S.; Ren, L.; Zhang, Y.; Parvizi-Majidi, A.; Unruh, K.M.; Xiao, J.Q. High temperature soft magnetic materials: FeCo alloys and composites. IEEE Trans. Magn. 2000, 36, 3388–3393. [Google Scholar] [CrossRef]
- Luis, F.; Torres, J.M.; García, L.M.; Bartolomé, J.; Stankiewicz, J.; Petroff, F.; Fettar, F.; Maurice, J.L.; Vaures, A. Enhancement of the magnetic anisotropy of nanometer-sized Co clusters: Influence of the surface and of interparticle interactions. Phys. Rev. B 2002, 65, 094409. [Google Scholar] [CrossRef]
- Chen, J.P.; Sorensen, C.M.; Klabunde, K.J.; Hadjipanayis, G.C. Enhanced magnetization of nanoscale colloidal cobalt particles. Phys. Rev. B 1995, 51, 11527. [Google Scholar] [CrossRef]
- Jamet, M.; Wernsdorfer, W.; Thirion, C.; Mailly, D.; Dupuis, V.; Mélinon, P.; Pérez, A. Magnetic anisotropy of a single cobalt nanocluster. Phys. Rev. Lett. 2001, 86, 4676. [Google Scholar] [CrossRef]
- Dimian, M.; Kachkachi, H. Effect of surface anisotropy on the hysteretic properties of a magnetic particle. J. Appl. Phys. 2002, 91, 7625–7627. [Google Scholar] [CrossRef]
- Crisan, O.; Angelakeris, M.; Flevaris, N.K.; Filoti, G. Magnetism and anisotropy in core-shell nanoparticles. J. Optoelectron. Adv. Mater. 2003, 5, 959–962. [Google Scholar]
- Muroi, M.; McCormick, P.G.; Street, R. Surface spin disorder and exchange bias in La0.7Ca0.3MnO3 nanoparticles synthesised by mechanochemical processing. Rev. Adv. Mater. Sci. 2003, 5, 76–81. [Google Scholar]
- Weller, D.; Harp, G.R.; Farrow, R.F.; Cebollada, A.; Sticht, J. Orientation dependence of the polar Kerr effect in fcc and hcp Co. Phys. Rev. Lett. 1994, 72, 2097. [Google Scholar] [CrossRef]
- Blázquez, J.S.; Franco, V.; Conde, C.F.; Conde, A. Nanocrystalline Fe–Nb–(B, Ge) alloys from ball milling: Microstructure, thermal stability and magnetic properties. Intermetallics 2007, 15, 1351–1360. [Google Scholar] [CrossRef]





| t(h) | Fe55Co25Ni15Si5 | Fe50Co25Ni15Si10 | Fe40Co25Ni15Si20 | Fe30Co25Ni15Si30 | ||||||||
|---|---|---|---|---|---|---|---|---|---|---|---|---|
| <D> (nm) | ε (%) | ρbcc (m−2) ×1015 | <D> (nm) | ε (%) | ρbcc (m−2) ×1015 | <D> (nm) | ε (%) | ρbcc (m−2) ×1015 | <D> nm | ε (%) | ρbcc (m−2) ×1015 | |
| 0 | 150 | 0.005 | 0.046 | 150 | 0.005 | 0.046 | 150 | 0.005 | 0.046 | 150 | 0.005 | 0.046 |
| 2 | 74 | 0.12 | 0.16 | 75 | 0.14 | 0.16 | 78 | 0.18 | 0.23 | 80 | 0.25 | 0.26 |
| 4 | 65 | 0.25 | 0.48 | 70 | 0.15 | 0.27 | 75 | 0.20 | 0.35 | 76 | 0.35 | 0.41 |
| 10 | 55 | 0.29 | 0.73 | 50 | 0.38 | 1.05 | 47 | 0.45 | 1.3 | 38 | 0.5 | 1.8 |
| 25 | 41 | 0.35 | 1.1 | 38 | 0.65 | 2.3 | 35 | 0.55 | 2.1 | 25 | 0.65 | 3.3 |
| 50 | 33 | 0.88 | 3.7 | 30 | 0.91 | 4.2 | 25 | 0.98 | 5.4 | 17 | 1.05 | 9.8 |
| 80 | 27 | 0.87 | 4.4 | 25 | 0.95 | 5.3 | 20 | 1.02 | 6.9 | 12 | 1.20 | 14.07 |
| 100 | 20 | 0.95 | 5.3 | 17 | 1.05 | 7.3 | 15 | 1.1 | 8.5 | 10 | 1.25 | 17.5 |
Publisher’s Note: MDPI stays neutral with regard to jurisdictional claims in published maps and institutional affiliations. |
© 2022 by the authors. Licensee MDPI, Basel, Switzerland. This article is an open access article distributed under the terms and conditions of the Creative Commons Attribution (CC BY) license (https://creativecommons.org/licenses/by/4.0/).
Share and Cite
Khitouni, N.; Hammami, B.; Llorca-Isern, N.; Mbarek, W.B.; Suñol, J.-J.; Khitouni, M. Microstructure and Magnetic Properties of Nanocrystalline Fe60−xCo25Ni15Six Alloy Elaborated by High-Energy Mechanical Milling. Materials 2022, 15, 6483. https://doi.org/10.3390/ma15186483
Khitouni N, Hammami B, Llorca-Isern N, Mbarek WB, Suñol J-J, Khitouni M. Microstructure and Magnetic Properties of Nanocrystalline Fe60−xCo25Ni15Six Alloy Elaborated by High-Energy Mechanical Milling. Materials. 2022; 15(18):6483. https://doi.org/10.3390/ma15186483
Chicago/Turabian StyleKhitouni, Nawel, Béchir Hammami, Núria Llorca-Isern, Wael Ben Mbarek, Joan-Josep Suñol, and Mohamed Khitouni. 2022. "Microstructure and Magnetic Properties of Nanocrystalline Fe60−xCo25Ni15Six Alloy Elaborated by High-Energy Mechanical Milling" Materials 15, no. 18: 6483. https://doi.org/10.3390/ma15186483
APA StyleKhitouni, N., Hammami, B., Llorca-Isern, N., Mbarek, W. B., Suñol, J.-J., & Khitouni, M. (2022). Microstructure and Magnetic Properties of Nanocrystalline Fe60−xCo25Ni15Six Alloy Elaborated by High-Energy Mechanical Milling. Materials, 15(18), 6483. https://doi.org/10.3390/ma15186483

