Physicochemical Evaluation of L-Ascorbic Acid and Aloe vera-Containing Polymer Materials Designed as Dressings for Diabetic Foot Ulcers
Abstract
:1. Introduction
2. Materials and Methods
2.1. Materials
2.2. Synthesis of Hydrogel Dressings under the Influence of UV Radiation
2.3. The Hydrogels’ Surface Morphology Evaluation via Microscopic Techniques
2.4. Characterization of Hydrogels in Environments Simulating Conditions Occuring in Human Body
2.5. Analysis of the Impact of Simulated Physiological Liquids on the Chemical Structure of Hydrogels Using Fourier Transform Infrared (FT-IR) Spectroscopy
2.6. Sorption Capacity of Hydrogels
2.7. Studies on the Tensile Strength and the Percentage Elongation of Hydrogels
3. Results and Discussion
3.1. Results of Hydrogels’ Surface Morphology Analysis via Microscopic Techniques
3.2. Effects of Hydrogels’ Incubation in Simulated Physiological Liquids
3.3. The Impact of the Hydrogels’ Incubation on Their Chemical Structure Verified Using FT-IR Spectroscopy
3.4. Swelling Ability of Hydrogels
3.5. Mechanical Characteristics of Hydrogels
4. Conclusions
- ▪
- Developed hydrogels showed swelling properties in all tested liquids. The highest swelling ratios—i.e., within the range 3.0—4.0 g/g—were achieved by the hydrogel containing the lowest amount of crosslinking agent with an average molecular weight of 700 g/mol in distilled water. This was due to the fact that distilled water, contrary to the other tested liquids, does not contain any ions or proteins that might increase the crosslinking density of the polymer network. Additionally, the crosslinking agents with higher molecular weight form longer crosslinks between the polymer chains, thereby enabling the penetration of a larger amount of liquid.
- ▪
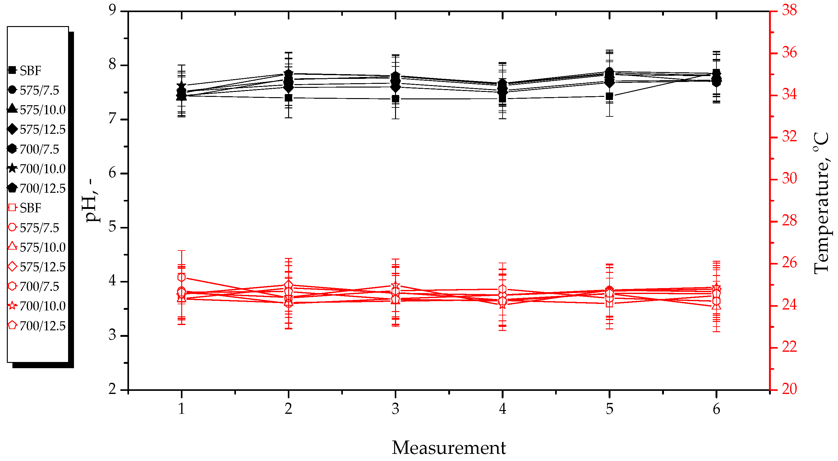
- Hydrogels demonstrated stability both in distilled water and in simulated physiological liquids. No tested sample degraded during the 12 day-incubation, which was confirmed by the lack of significant jumps in the pH values of incubation media. Moreover, hydrogels showed buffering properties in tested liquids.
- ▪
- FT-IR spectroscopy confirmed that the degradation of hydrogels in incubation media did not occur. Importantly, a decrease in the intensity of the absorption band deriving from polysaccharides included in Aloe vera juice on the FT-IR spectra of hydrogels after incubation was observed. This was probably due to the release of this active substance from the hydrogel matrices during their incubation.
- ▪
- As the amount of the crosslinking agent in the hydrogels increased, their tensile strength increased. The increase in the amount of the crosslinking agent from 1.5 mL to 2.5 mL resulted in five times higher tensile strength of the hydrogel.
- ▪
- As the amount of the crosslinking agent in the hydrogels decreased, the smoother the hydrogel surface became.
- ▪
- Developed hydrogels showed promising properties in terms of their potential use as innovative dressing materials—i.e., sorption capacity and stability in simulated physiological liquids. Thus, they may be subjected to the detailed biological investigations aimed at further verifying their potential for diabetic foot ulcer treatment.
Author Contributions
Funding
Institutional Review Board Statement
Informed Consent Statement
Data Availability Statement
Conflicts of Interest
References
- Aalaa, M.; Reza Amini, M.; Delavari, S.; Tehrani, M.R.M.; Adibi, H.; Shahbazi, S.; Shayeganmehr, Z.; Larijani, B.; Mehrdad, N.; Sanjari, M. Diabetic foot workshop: A strategy for improving the knowledge of diabetic foot care providers. Diabetes Metab. Syndr. 2022, 16, 102543. [Google Scholar] [CrossRef] [PubMed]
- Zhang, P.; Lu, J.; Jing, Y.; Tang, S.; Zhu, D.; Bi, Y. Global epidemiology of diabetic foot ulceration: A systematic review and meta-analysis. Ann. Med. 2017, 49, 106–116. [Google Scholar] [CrossRef]
- Zhang, Y.; Lazzarini, P.A.; McPhail, S.M.; van Netten, J.J.; Armstrong, D.G.; Pacella, R.E. Global disability burdens of diabetes-related lower-extremity complications in 1990 and 2016. Diabetes Care 2020, 43, 964–974. [Google Scholar] [CrossRef] [PubMed]
- Rodrigues, B.T.; Vangaveti, V.N.; Urkude, R.; Biros, E.; Malabu, U.H. Prevalence and risk factors of lower limb amputations in patients with diabetic foot ulcers: A systematic review and meta-analysis. Diabetes Metab. Syndr. 2022, 16, 102397. [Google Scholar] [CrossRef]
- Rojewska, A.; Karewicz, A.; Karnas, K.; Wolski, K.; Zając, M.; Kamiński, K.; Szczubiałka, K.; Zapotoczny, S.; Nowakowska, M. Pioglitazone-Loaded Nanostructured Hybrid Material for Skin Ulcer Treatment. Materials 2020, 13, 2050. [Google Scholar] [CrossRef]
- Shagdarova, B.; Konovalova, M.; Zhuikova, Y.; Lunkov, A.; Zhuikov, V.; Khaydapova, D.; Il’ina, A.; Svirshchevskaya, E.; Varlamov, V. Collagen/Chitosan Gels Cross-Linked with Genipin for Wound Healing in Mice with Induced Diabetes. Materials 2022, 15, 15. [Google Scholar] [CrossRef]
- Wang, H.; Xu, Z.; Zhao, M.; Liu, G.; Wu, J. Advances of hydrogel dressings in diabetic wounds. Biomater. Sci. 2021, 9, 1530–1546. [Google Scholar] [CrossRef]
- Dumville, J.C.; O’Meara, S.; Deshpande, S.; Speak, K. Hydrogel dressings for healing diabetic foot ulcers. Cochrane Database Syst. Rev. 2011, 7, CD009101. [Google Scholar]
- Gao, D.; Zhang, Y.; Bowers, D.T.; Liu, W.; Ma, M. Functional hydrogels for diabetic wound management. APL Bioeng. 2021, 5, 031503. [Google Scholar] [CrossRef]
- Wu, H.J.; Ni, R.; Shi, Y.; Hu, Y.; Shen, Z.; Pang, Q.; Zhu, Y. The Promising Hydrogel Candidates for Preclinically Treating Diabetic Foot Ulcer: A Systematic Review and Meta-Analysis. Adv. Wound Care 2022. [Google Scholar] [CrossRef]
- Yang, Y.; Zhao, X.; Yu, J.; Chen, X.; Wang, R.; Zhang, M.; Zhang, Q.; Zhang, Y.; Wang, S.; Cheng, Y. Bioactive skin-mimicking hydrogel band-aids for diabetic wound healing and infectious skin incision treatment. Bioact. Mater. 2021, 11, 3962–3975. [Google Scholar] [CrossRef] [PubMed]
- Zhang, B.; Lv, Y.; Yu, C.; Zhang, W.; Song, S.; Li, Y.; Chong, Y.; Huang, J.; Zhang, Z. Au–Pt nanozyme-based multifunctional hydrogel dressing for diabetic wound healing. Biomater. Adv. 2022, 137, 212869. [Google Scholar] [CrossRef] [PubMed]
- Li, Z.; Zhao, Y.; Liu, H.; Ren, M.; Wang, Z.; Wang, X.; Liu, H.; Feng, Y.; Lin, Q.; Wang, C.; et al. pH-responsive hydrogel loaded with insulin as a bioactive dressing for enhancing diabetic wound healing. Mater. Des. 2021, 210, 110104. [Google Scholar] [CrossRef]
- Latańska, I.; Kozera-Żywczyk, A.; Paluchowska, E.B.; Owczarek, W.; Kaszuba, A.; Noweta, M.; Tazbir, J.; Kolesińska, B.; Draczyński, Z.; Sujka, W. Characteristic Features of Wound Dressings Based on Butyric-Acetic Chitin Copolyesters—Results of Clinical Trials. Materials 2019, 12, 4170. [Google Scholar] [CrossRef]
- Liu, H.; Li, Z.; Zhao, Y.; Feng, Y.; Zvyagin, A.V.; Wang, J.; Yang, X.; Yang, B.; Lin, Q. Novel Diabetic Foot Wound Dressing Based on Multifunctional Hydrogels with Extensive Temperature-Tolerant, Durable, Adhesive, and Intrinsic Antibacterial Properties. ACS Appl. Mater. Interfaces 2021, 13, 26770–26781. [Google Scholar] [CrossRef] [PubMed]
- Chen, J.; Chen, D.; Chen, J.; Shen, T.; Jin, T.; Zeng, B.; Li, L.; Yang, C.; Mu, Z.; Deng, H.; et al. An all-in-one CO gas therapy-based hydrogel dressing with sustained insulin release, anti-oxidative stress, antibacterial, and anti-inflammatory capabilities for infected diabetic wounds. Acta Biomater. 2022, 146, 49–65. [Google Scholar] [CrossRef]
- Wang, Q.; Qiu, W.; Liu, H.; Li, X.; Qin, X.; Wang, X.; Yu, J.; Li, B.; Li, F.; Huang, L.; et al. Conductive hydrogel dressings based on cascade reactions with photothermal effect for monitoring and treatment of diabetic wounds. Compos. B Eng. 2022, 242, 110098. [Google Scholar] [CrossRef]
- Zhu, S.; Dai, Q.; Yao, L.; Wang, Z.; He, Z.; Li, M.; Wang, H.; Li, Q.; Gao, H.; Cao, X. Engineered multifunctional nanocomposite hydrogel dressing to promote vascularization and anti-inflammation by sustained releasing of Mg2+ for diabetic wounds. Compos. B Eng. 2022, 231, 109569. [Google Scholar] [CrossRef]
- Liu, P.; Jin, K.; Wong, W.; Wang, Y.; Liang, T.; He, M.; Li, H.; Lu, C.; Tang, X.; Zong, Y.; et al. Ionic liquid functionalized non-releasing antibacterial hydrogel dressing coupled with electrical stimulation for the promotion of diabetic wound healing. Chem. Eng. J. 2021, 415, 129025. [Google Scholar] [CrossRef]
- Sonamuthu, J.; Cai, Y.; Liu, H.; Kasim, M.S.M.; Vasanthakumar, V.R.; Pandi, B.; Wang, H.; Yao, J. MMP-9 responsive dipeptide-tempted natural protein hydrogel-based wound dressings for accelerated healing action of infected diabetic wound. Int. J. Biol. Macromol. 2020, 153, 1058–1069. [Google Scholar] [CrossRef]
- Yoon, D.S.; Lee, Y.; Ryu, H.A.; Jang, Y.; Lee, K.M.; Choi, Y.; Choi, W.J.; Lee, M.; Park, K.M.; Park, K.D.; et al. Cell recruiting chemokine-loaded sprayable gelatin hydrogel dressings for diabetic wound healing. Acta Biomater. 2016, 38, 59–68. [Google Scholar] [CrossRef]
- Peng, W.; Li, D.; Dai, K.; Wang, Y.; Song, P.; Li, H.; Tang, P.; Zhang, Z.; Li, Z.; Zhou, Y.; et al. Recent progress of collagen, chitosan, alginate and other hydrogels in skin repair and wound dressing applications. Int. J. Biol. Macromol. 2022, 208, 400–408. [Google Scholar] [CrossRef] [PubMed]
- Zeng, D.; Shen, S.; Fan, D. Molecular design, synthesis strategies and recent advances of hydrogels for wound dressing applications. Chin. J. Chem. Eng. 2021, 30, 308–320. [Google Scholar] [CrossRef]
- Koehler, J.; Brandl, F.P.; Goepferich, A.M. Hydrogel wound dressings for bioactive treatment of acute and chronic wounds. Eur. Polym. J. 2018, 100, 1–11. [Google Scholar] [CrossRef]
- Chen, J.; Hao, Y.; Mensah, A.; Lv, P.; Wei, Q. Bio-inspired hydrogels with fibrous structure: A review on design and biomedical applications. Biomater. Adv. 2022, 136, 212799. [Google Scholar] [CrossRef]
- Gunton, J.E.; Girgis, C.M.; Lau, T.; Vicaretti, M.; Begg, L.; Flood, V. Vitamin C improves healing of foot ulcers: A randomised, double-blind, placebo-controlled trial. Br. J. Nutr. 2021, 126, 1451–1458. [Google Scholar] [CrossRef] [PubMed]
- Pena, G.; Kuang, B.; Cowled, P.; Howell, S.; Dawson, J.; Philpot, R.; Fitridge, R. Micronutrient Status in Diabetic Patients with Foot Ulcers. Adv. Wound Care 2020, 9, 9–15. [Google Scholar] [CrossRef]
- Bechara, N.; Gunton, J.E.; Flood, V.; Hng, T.-M.; McGloin, C. Associations between Nutrients and Foot Ulceration in Diabetes: A Systematic Review. Nutrients 2021, 13, 2576. [Google Scholar] [CrossRef] [PubMed]
- Worasakwutiphong, S.; Termwattanaphakdee, T.; Kamolhan, T.; Phimnuan, P.; Sittichokechaiwut, A.; Viyoch, J. Evaluation of the safety and healing potential of a fibroin-aloe gel film for the treatment of diabetic foot ulcers. J. Wound Care 2021, 30, 1020–1028. [Google Scholar] [CrossRef] [PubMed]
- Aqsa, T.; Shafique, M.S.; Qureshi, U.; Changeez, M.; Farooqi, S.A.; Khan, J.S. Efficacy of Aloe Vera Cream for Healing Diabetic Foot Ulcers. J. Rawalpindi Med. Coll. 2019, 23, 113–115. [Google Scholar]
- Kokubo, T.; Takadama, H. How useful is SBF in predicting in vivo bone bioactivity? Biomaterials 2006, 27, 2907–2915. [Google Scholar] [CrossRef] [PubMed]
- Constable, P.D.; Hinchcliff, K.W.; Done, S.H.; Grünberg, W. Disturbances of Free Water, Electrolytes, Acid-Base Balance, and Oncotic Pressure. In Veterinary Medicine, 11th ed.; Constable, P.D., Hinchcliff, K.W., Done, S.H., Grünberg, W., Eds.; Elsevier Ltd.: Amsterdam, The Netherlands, 2017; pp. 113–152. [Google Scholar]
- Pan, Z.; Ye, H.; Wu, D. Recent advances on polymeric hydrogels as wound dressings. APL Bioeng. 2021, 5, 011504. [Google Scholar] [CrossRef] [PubMed]
- Brumberg, V.; Astrelina, T.; Malivanova, T.; Samoilov, A. Modern Wound Dressings: Hydrogel Dressings. Biomedicines 2021, 9, 1235. [Google Scholar] [CrossRef]
- Mi, F.L.; Kuan, C.Y.; Shyu, S.S.; Lee, S.T.; Chang, S.F. The study of gelation kinetics and chain-relaxation properties of glutaraldehyde-cross-linked chitosan gel and their effects on microspheres preparation and drug release. Carbohydr. Polym. 2000, 41, 389–396. [Google Scholar] [CrossRef]
- Brazel, C.S.; Peppas, N.A. Modeling of drug release from swellable polymers. Eur. J. Pharm. Biopharm. 2000, 49, 47–58. [Google Scholar] [CrossRef]
- Noh, I.; Kim, G.W.; Choi, Y.J.; Kim, M.S.; Park, Y.; Lee, K.B.; Kim, I.S.; Hwang, S.J.; Tae, G. Effects of cross-linking molecular weights in a hyaluronic acid-poly(ethylene oxide) hydrogel network on its properties. Biomed. Mater. 2006, 1, 116–123. [Google Scholar] [CrossRef]
- Wang, Y.; He, G.; Li, Z.; Hua, J.; Wu, M.; Gong, J.; Zhang, J.; Ban, L.-T.; Huang, L. Novel Biological Hydrogel: Swelling Behaviors Study in Salt Solutions with Different Ionic Valence Number. Polymers 2018, 10, 112. [Google Scholar] [CrossRef] [PubMed]
- Zhu, Q.; Barney, C.W.; Erk, K.A. Effect of ionic crosslinking on the swelling and mechanical response of model superabsorbent polymer hydrogels for internally cured concrete. Mater. Struct. 2015, 48, 2261–2276. [Google Scholar] [CrossRef]
- Kopač, T.; Abrami, M.; Grassi, M.; Ručigaj, A.; Krajnc, M. Polysaccharide-based hydrogels crosslink density equation: A rheological and LF-NMR study of polymer-polymer interactions. Carbohydr. Polym. 2022, 277, 118895. [Google Scholar] [CrossRef]
- Haryanto; Kim, S.C.; Kim, J.H.; Kim, J.O.; Ku, S.K.; Cho, H.; Han, D.H.; Huh, P.H. Fabrication of Poly(ethylene oxide) Hydrogels for Wound Dressing Application Using E-Beam. Macromol. Res. 2014, 22, 131–138. [Google Scholar] [CrossRef]






















| Sample | 15% PVP Solution, mL | Aloe vera Juice, mL | 5% Vitamin C Solution, mL | PEGDA 575, mL | PEGDA 700, mL | Photoinitiator, mL |
|---|---|---|---|---|---|---|
| 575/7.5 | 35 | 15 | 10 | 7.5 | - | 0.25 |
| 575/10.0 | 10.0 | |||||
| 575/12.5 | 12.5 | |||||
| 700/7.5 | - | 7.5 | ||||
| 700/10.0 | 10.0 | |||||
| 700/12.5 | 12.5 |
| Wave Number, cm−1 | Chemical Structure Assigned to the Absorption Band | Type of the Vibration |
|---|---|---|
| 2850 | C-H | stretching |
| 1750 | C=O | stretching |
| 1100 | C-O | stretching |
Publisher’s Note: MDPI stays neutral with regard to jurisdictional claims in published maps and institutional affiliations. |
© 2022 by the authors. Licensee MDPI, Basel, Switzerland. This article is an open access article distributed under the terms and conditions of the Creative Commons Attribution (CC BY) license (https://creativecommons.org/licenses/by/4.0/).
Share and Cite
Kędzierska, M.; Jamroży, M.; Kudłacik-Kramarczyk, S.; Drabczyk, A.; Bańkosz, M.; Potemski, P.; Tyliszczak, B. Physicochemical Evaluation of L-Ascorbic Acid and Aloe vera-Containing Polymer Materials Designed as Dressings for Diabetic Foot Ulcers. Materials 2022, 15, 6404. https://doi.org/10.3390/ma15186404
Kędzierska M, Jamroży M, Kudłacik-Kramarczyk S, Drabczyk A, Bańkosz M, Potemski P, Tyliszczak B. Physicochemical Evaluation of L-Ascorbic Acid and Aloe vera-Containing Polymer Materials Designed as Dressings for Diabetic Foot Ulcers. Materials. 2022; 15(18):6404. https://doi.org/10.3390/ma15186404
Chicago/Turabian StyleKędzierska, Magdalena, Mateusz Jamroży, Sonia Kudłacik-Kramarczyk, Anna Drabczyk, Magdalena Bańkosz, Piotr Potemski, and Bożena Tyliszczak. 2022. "Physicochemical Evaluation of L-Ascorbic Acid and Aloe vera-Containing Polymer Materials Designed as Dressings for Diabetic Foot Ulcers" Materials 15, no. 18: 6404. https://doi.org/10.3390/ma15186404
APA StyleKędzierska, M., Jamroży, M., Kudłacik-Kramarczyk, S., Drabczyk, A., Bańkosz, M., Potemski, P., & Tyliszczak, B. (2022). Physicochemical Evaluation of L-Ascorbic Acid and Aloe vera-Containing Polymer Materials Designed as Dressings for Diabetic Foot Ulcers. Materials, 15(18), 6404. https://doi.org/10.3390/ma15186404

