Study of the Effect of Modified Aluminum Oxide Nanofibers on the Properties of PLA-Based Films
Abstract
1. Introduction
2. Materials and Methods
2.1. Materials
2.2. Synthesis of AONF
2.3. Obtaining Composite Films
2.4. Methods
2.4.1. Scanning Electron Microscopy (SEM) and Transmission Electron Microscopy (TEM)
2.4.2. X-ray Diffraction Analysis (XRDA) and FTIR Spectroscopy
2.4.3. Differential Scanning Calorimetry (DSC)
2.4.4. Dynamic Mechanical Analysis (DMA)
2.5. Statistical Data Processing
3. Results
3.1. Characterization of Composite Films
3.2. FTIR
3.3. XRDA
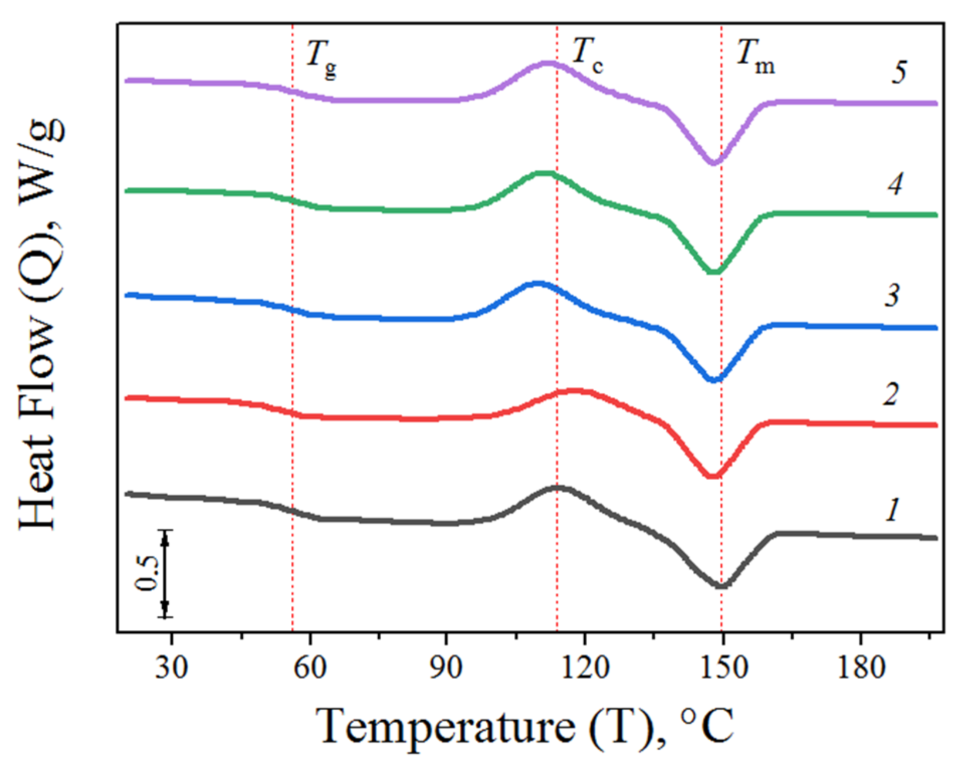
3.4. DSC
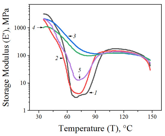
3.5. DMA
4. Discussion
5. Conclusions
Author Contributions
Funding
Institutional Review Board Statement
Informed Consent Statement
Data Availability Statement
Acknowledgments
Conflicts of Interest
References
- Doun, M.; Morris, J. Plastic & Climate: The Hidden Costs of a Plastic Planet. In the Center for International Environmental Law (Chapter 6). 2019. Available online: www.ciel.org/wp-content/uploads/2019/05/Plastic-and-Climate-FINAL-2019.pdf (accessed on 9 June 2022).
- Balla, E.; Daniilidis, V.; Karlioti, G.; Kalamas, T.; Stefanidou, M.; Bikiaris, N.D.; Vlachopoulos, A.; Koumentakou, I.; Bikiaris, D.N. Poly (lactic Acid): A Versatile Biobased Polymer for the Future with Multifunctional Properties—From Monomer Synthesis, Polymerization Techniques and Molecular Weight Increase to PLA Applications. Polymers 2021, 13, 1822. [Google Scholar] [CrossRef] [PubMed]
- Domb, A.J. Biodegradable Polymers in Clinical Use and Clinical Development; Kumar, N., Ed.; John Wiley & Sons: Hoboken, NJ, USA, 2011. [Google Scholar]
- Greco, A.; Ferrari, F. Thermal behavior of PLA plasticized by commercial and cardanol-derived plasticizers and the effect on the mechanical properties. J. Therm. Anal. Calorim. 2020, 146, 131–141. [Google Scholar] [CrossRef]
- Vorawongsagul, S.; Pratumpong, P.; Pechyen, C. Preparation and foaming behavior of poly (lactic acid)/poly (butylene succinate)/cellulose fiber composite for hot cups packaging application. Food Packag. Shelf Life 2021, 27, 100608. [Google Scholar] [CrossRef]
- Rizal, S.; Olaiya, F.G.; Saharudin, N.I.; Abdullah, C.K.; NG, O.; Haafiz, M.K.M.; Khalil H. P. S., A. Isolation of Textile Waste Cellulose Nanofibrillated Fibre Reinforced in Polylactic Acid-Chitin Biodegradable Composite for Green Packaging Application. Polymers 2021, 13, 325. [Google Scholar] [CrossRef]
- Ilyas, R.A.; Zuhri, M.Y.M.; Aisyah, H.A.; Asyraf, M.R.M.; Hassan, S.A.; Zainudin, E.S.; Sapuan, S.M.; Sharma, S.; Bangar, S.P.; Jumaidin, R.; et al. Natural Fiber-Reinforced Polylactic Acid, Polylactic Acid Blends and Their Composites for Advanced Applications. Polymers 2022, 14, 202. [Google Scholar] [CrossRef]
- Halimatul, M.J.; Sapuan, S.M.; Jawaid, M.; Ishak, M.R.; Ilyas, R.A. Effect of sago starch and plasticizer content on the properties of thermoplastic films: Mechanical testing and cyclic soaking-drying. Polimery 2019, 64, 32e41. [Google Scholar] [CrossRef]
- Oksiuta, Z.; Jalbrzykowski, M.; Mystkowska, J.; Romanczuk, E.; Osiecki, T. Mechanical and Thermal Properties of Polylactide (PLA) Composites Modified with Mg, Fe, and Polyethylene (PE) Additives. Polymers 2020, 12, 2939. [Google Scholar] [CrossRef]
- Singh, A.A.; Genovese, M.E. Green and Sustainable Packaging Materials Using Thermoplastic Starch. In Sustainable Food Packaging Technology; John Wiley & Sons: Hoboken, NJ, USA, 2021; pp. 133–160. [Google Scholar] [CrossRef]
- Kasa, S.N.; Omar, M.F.; Abdullah, M.M.A.B.; Ismail, I.N.; Ting, S.S.; Vizureanu, P. Effect of Unmodified and Modified Nanocrystalline Cellulose Reinforced Polylactic Acid (PLA) Polymer Prepared by Solvent Casting Method Morphology, mechanical and thermal properties. Mater. Plast. 2017, 54, 91–97. [Google Scholar] [CrossRef]
- Dintcheva, N.T.; D’Anna, F. Anti-/Pro-Oxidant Behavior of Naturally Occurring Molecules in Polymers and Biopolymers: A Brief Review. ACS Sustain. Chem. Eng. 2019, 7, 12656–12670. [Google Scholar] [CrossRef]
- Kirschweng, B.; Tátraaljai, D.; Földes, E.; Pukánszky, B. Natural antioxidants as stabilizers for polymers. Polym. Degrad. Stab. 2017, 145, 25–40. [Google Scholar] [CrossRef]
- Kutuzov, M. Method and System for Alumina Nanofibers Synthesis from Molten Aluminum. ANF Technology Limited, Assignee. Patent WO2013114183 A1, 8 August 2013. [Google Scholar]
- Simunin, M.M.; Voronin, A.S.; Fadeev, Y.V.; Mikhlin, Y.L.; Lizunov, D.A.; Samoilo, A.S.; Chirkov, D.Y.; Voronina, S.Y.; Khartov, S.V. Features of Functionalization of the Surface of Alumina Nanofibers by Hydrolysis of Organosilanes on Surface Hydroxyl Groups. Polymers 2021, 13, 4374. [Google Scholar] [CrossRef] [PubMed]
- Bravaya, N.M.; Saratovskikh, S.L.; Panin, A.N.; Faingol’d, E.E.; Zharkov, I.V.; Babkina, O.N.; Lobanov, M.V. Influence of silane coupling agent on the synthesis and properties of nanocomposites obtained via in situ catalytic copolymerization of ethylene and propylene in the presence of modified Nafen™ Al2O3 nanofibers. Polymer 2019, 174, 114–122. [Google Scholar] [CrossRef]
- Wu, H.; Krifa, M.; Koo, J.H. Functionalized Nafen™ alumina nanofiber reinforced Polyamide 6 nanocomposites: Mechanical, thermal and flame retardant properties. In Proceedings of the SAMPE 2015, Baltimore, MD, USA, 18–21 May 2015; pp. 18–21. [Google Scholar]
- Panda, P.K.; Ramakrishna, S. Electrospinning of alumina nanofibers using different precursors. J. Mater. Sci. 2007, 42, 2189–2193. [Google Scholar] [CrossRef]
- Bravaya, N.M.; Galiullin, A.B.N.; Saratovskikh, S.L.; Panin, A.N.; Faingol’D, E.E.; Vasil’Ev, S.G.; Bubnova, M.L.; Volkov, V.I. Synthesis and properties of hybrid materials obtained byin situcopolymerization of ethylene and propylene in the presence of Al2O3nanofibers (NafenTM) on catalytic systemrac-Et(2-MeInd)2ZrMe2/isobutylalumoxane. J. Appl. Polym. Sci. 2016, 134, 44678. [Google Scholar] [CrossRef]
- Rodaev, V.V.; Zhigachev, A.O.; Golovin, Y.I. Fabrication and characterization of electrospun ZrO2/Al2O3 nanofibers. Ceram. Int. 2017, 43, 16023–16026. [Google Scholar] [CrossRef]
- Sahalie, N.A.; Wondimkun, Z.T.; Su, W.-N.; Weret, M.A.; Fenta, F.W.; Berhe, G.B.; Huang, C.-J.; Hsu, Y.-C.; Hwang, B.J. Multifunctional Properties of Al2O3/Polyacrylonitrile Composite Coating on Cu to Suppress Dendritic Growth in Anode-Free Li-Metal Battery. ACS Appl. Energy Mater. 2020, 3, 7666–7679. [Google Scholar] [CrossRef]
- Das, K.; Ray, S.S.; Chapple, S.; Wesley-Smith, J. Mechanical, Thermal, and Fire Properties of Biodegradable Polylactide/Boehmite Alumina Composites. Ind. Eng. Chem. Res. 2013, 52, 6083–6091. [Google Scholar] [CrossRef]
- Mujeeb, A.; Lobo, A.G.; Antony, A.J.; Ramis, M.K. An Experimental Study on the Thermal Properties and Electrical Properties of Polylactide Doped with Nano Aluminium Oxide and Nano Cupric Oxide. INAE Lett. 2017, 2, 145–151. [Google Scholar] [CrossRef]
- Lule, Z.; Kim, J. Thermally conductive and highly rigid polylactic acid (PLA) hybrid composite filled with surface treated alumina/nano-sized aluminum nitride. Compos. Part A Appl. Sci. Manuf. 2019, 124, 105506. [Google Scholar] [CrossRef]
- Kuular, A.A.; Simunin, M.M.; Bermeshev, T.V.; Voronin, A.S.; Dobrosmyslov, S.S.; Fadeev, Y.V.; Molokeev, M.S.; Volochaev, M.N.; Khartov, S.V. The Influence of Alumina Nanofibers on the Physical and Mechanical Properties of Mineral-Filled Polyethylene: An Experimental Study. Tech. Phys. Lett. 2020, 46, 1215–1218. [Google Scholar] [CrossRef]
- Kuular, A.A.; Voronin, A.S.; Markevich, I.A.; Bermeshev, T.V.; Simunin, M.M. Mechanical properties UHMWPE/alumina nanofibers nanocomposite. J. Phys. Conf. Ser. 2020, 1679, 042100. [Google Scholar] [CrossRef]
- Balberg, I.; Binenbaum, N.; Wagner, N. Percolation Thresholds in the Three-Dimensional Sticks System. Phys. Rev. Lett. 1984, 52, 1465–1468. [Google Scholar] [CrossRef]
- Gayer, G. Electronic Histochemistry; Mir: Moscow, Russia, 1974; pp. 235–236. [Google Scholar]
- Swarup, K.; Shukla, M. Biofilms of polylactic acid, reinforced with nano-magnesium oxide, for food packaging. Intern. J. Biol. Macromol. 2018, 113, 729–736. [Google Scholar] [CrossRef] [PubMed]
- Ahmed, J.; Arfat, Y.A.; Castro-Aguirre, E.; Auras, R. Mechanical, structural and thermal properties of polylactide nanocomposite films reinforced with Ag–Cu and ZnO. Intern. J. Biol. Macromol. 2016, 86, 885–892. [Google Scholar] [CrossRef]
- Ghozali, M.; Fahmiati, S.; Triwulandari, E.; Restu, W.K.; Farhan, D.; Wulansari, M.; Fatriasari, W. PLA/metal oxide biocomposites for antimicrobial packaging application. Polym. Plast. Technol. Eng. 2020, 59, 1332–1342. [Google Scholar] [CrossRef]
- Yakdoumi, F.Z.; Hadj-Hamou, A.S. Effectiveness assessment of TiO2-Al2O3 nano-mixture as a filler material for improvement of packaging performance of PLA nanocomposite films. J. Polym. Eng. 2020, 40, 848–858. [Google Scholar] [CrossRef]
- Jiang, L.; Shen, T.; Xu, P.; Zhao, X.; Li, X.; Dong, W.; Chen, M. Crystallization modification of poly(lactide) by using nucleating agents and stereocomplexation. E-Polymers 2016, 16, 1–13. [Google Scholar] [CrossRef]
- Luo, Y.; Wang, X.; Wang, C.; Hu, Y.; Liu, M. Alpha-to-gamma reverse phase transformation of molten removal in alumina ceramics laser processing. Ceram. Int. 2018, 44, 10412–10419. [Google Scholar] [CrossRef]
- Buzarovska, A. PLA Nanocomposites with Functionalized TiO2Nanoparticles. Polym. Plast. Technol. Eng. 2013, 52, 280–286. [Google Scholar] [CrossRef]
- Onsager, L. The effects of shape on the interaction of colloidal particles. Ann. N. Y. Acad. Sci. 1949, 51, 627–659. [Google Scholar] [CrossRef]
- Nomai, J.; Suksut, B.; Schlarb, A.K. Crystallization Behavior of Poly (lactic acid)/Titanium Dioxide Nanocomposites. KMUTNB Int. J. Appl. Sci. Technol. 2015, 8, 251–258. [Google Scholar] [CrossRef][Green Version]






| Sample | Tm, °C | Hc, J/g | Tc, °C | Hm, J/g | Tg, °C |
|---|---|---|---|---|---|
| PLA | 149.5 | 29 | 116.1 | 23 | 56.1 |
| PLA/AONF 0.1% | 147.5 | 22 | 112.7 | 22 | 53.7 |
| PLA/AONF 0.2% | 147.7 | 24 | 113.4 | 21 | 56.4 |
| PLA/AONF 0.5% | 147.7 | 25 | 115.6 | 25 | 57.0 |
| PLA/AONF 1% | 147.7 | 25 | 121.4 | 25 | 55.8 |
| Sample | Tensile Strain, % | Ultimate Strain, % | Tensile Stress, MPa | Ultimate Stress, MPa | Young’s Modulus, GPa |
|---|---|---|---|---|---|
| PLA | 0.92 | 100.2 | 10.80 | 25.1 | 1.17 |
| PLA/AONF 0.1% | 0.93 | 115.4 | 10.77 | 28.8 | 1.16 |
| PLA/AONF 0.2% | 0.63 | 59.0 | 6.00 | 28.3 | 0.95 |
| PLA/AONF 0.5% | 1.11 | 235.0 | 8.03 | 28.0 | 0.72 |
| PLA/AONF 1% | 1.16 | 339.0 | 5.24 | 23.3 | 0.45 |
Publisher’s Note: MDPI stays neutral with regard to jurisdictional claims in published maps and institutional affiliations. |
© 2022 by the authors. Licensee MDPI, Basel, Switzerland. This article is an open access article distributed under the terms and conditions of the Creative Commons Attribution (CC BY) license (https://creativecommons.org/licenses/by/4.0/).
Share and Cite
Sukhanova, A.; Boyandin, A.; Ertiletskaya, N.; Simunin, M.; Shalygina, T.; Voronin, A.; Vasiliev, A.; Nemtsev, I.; Volochaev, M.; Pyatina, S. Study of the Effect of Modified Aluminum Oxide Nanofibers on the Properties of PLA-Based Films. Materials 2022, 15, 6097. https://doi.org/10.3390/ma15176097
Sukhanova A, Boyandin A, Ertiletskaya N, Simunin M, Shalygina T, Voronin A, Vasiliev A, Nemtsev I, Volochaev M, Pyatina S. Study of the Effect of Modified Aluminum Oxide Nanofibers on the Properties of PLA-Based Films. Materials. 2022; 15(17):6097. https://doi.org/10.3390/ma15176097
Chicago/Turabian StyleSukhanova, Anna, Anatoly Boyandin, Natalya Ertiletskaya, Mikhail Simunin, Taisia Shalygina, Anton Voronin, Alexander Vasiliev, Ivan Nemtsev, Mikhail Volochaev, and Svetlana Pyatina. 2022. "Study of the Effect of Modified Aluminum Oxide Nanofibers on the Properties of PLA-Based Films" Materials 15, no. 17: 6097. https://doi.org/10.3390/ma15176097
APA StyleSukhanova, A., Boyandin, A., Ertiletskaya, N., Simunin, M., Shalygina, T., Voronin, A., Vasiliev, A., Nemtsev, I., Volochaev, M., & Pyatina, S. (2022). Study of the Effect of Modified Aluminum Oxide Nanofibers on the Properties of PLA-Based Films. Materials, 15(17), 6097. https://doi.org/10.3390/ma15176097

