The Utilization of a Fiberglass Mesh–Reinforced Foamcrete Jacketing System to Enhance Mechanical Properties
Abstract
1. Introduction
2. Methodology
2.1. Materials
2.2. Mix Design
2.3. Mechanical Property Testing
3. Results and Discussion
3.1. Compressive Strength
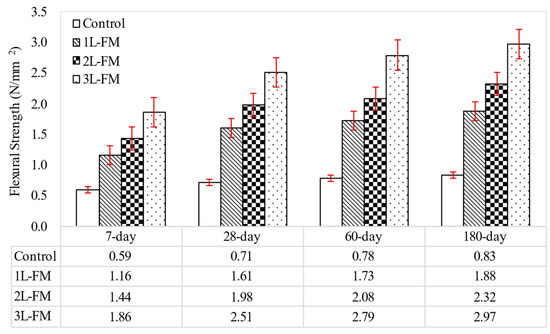
3.2. Flexural Strength
3.3. Splitting Tensile Strength
3.4. Failure Modes and Behavior under Compression Load
3.5. Failure Modes and Behavior under Flexural Load
3.6. Failure Modes and Behavior under Tensile Load
3.7. Correlation between Foamcrete Compressive and Flexural Strengths
3.8. Correlation between Foamcrete Flexural and Splitting Tensile Strengths
4. Conclusions
- For compressive strength, the jacketing of foamcrete with 1 layer of FM enhanced the strength by 64% compared to the control foamcrete at day 28. Significant enhancements of 86% were also achieved with 2-layer confinement of FM. Additionally, the highest upsurge of compressive strength was attained with 3-layer jacketing of FM. The notable rise of 108% in the compressive strength compared to the control sample at day 28 demonstrated that FM has the possibility to be employed as a strengthening element in foamcrete. The enrichments that were attained were due to the confinement with FM in the form of a jacket, which improves the foamcrete rigidity.
- As far as flexural strength is concerned, the strength development increased steadily for 180 days. The control foamcrete samples which were not reinforced in the tensile zone displayed poor flexural behavior; they experienced sudden failure as soon as a load was applied. Reinforcement with 1 layer of FM laid 2 mm from the bottom layer augmented the foamcrete flexural strength by 127%. When the number of layers was doubled (2 layers), the flexural strength was improved by up to 179%. Flexural strength was excellently augmented by 254% when 3 layers of FM were attached compared to the unreinforced foamcrete samples.
- For splitting tensile strength, the control foamcrete attained low tensile properties due to the nonexistence of a fortifying component in the foamcrete matrix. When the foamcrete was wrapped in 1 layer of FM, the splitting tensile strength improved by 154%. For the jacketing with 2 layers of FM, the enhancement was nearly 223%. Outstanding augmentations of 349% in tensile strength were achieved when the foamcrete was confined with 3 layers of FM.
- All the unreinforced foamcrete showed sudden failure as soon as the load was applied (under compression, flexural, and splitting tensile loads). This was due to the brittleness of the foamcrete specimens, which caused them to crack easily when exposed to a higher applied load. Meanwhile, the reinforced foamcrete (1–3 layers) showed a higher ductility, where the FM delayed the occurrence of crack propagation. The FM also prevented the foamcrete specimens from separating into two pieces, and it managed to hold the cementitious matrix even when the maximum load was applied.
Author Contributions
Funding
Institutional Review Board Statement
Informed Consent Statement
Data Availability Statement
Acknowledgments
Conflicts of Interest
References
- Decký, M.; Drusa, M.; Zgútová, K.; Blaško, M.; Hájek, M.; Scherfel, W. Foam Concrete as New Material in Road Constructions. Procedia Eng. 2016, 161, 428–433. [Google Scholar] [CrossRef]
- Wu, J.; Lv, C.; Pi, R.; Zhang, H.; Bi, Y.; Song, X.; Wang, Z. The stability and durability of silt-based foamed concrete: A new type of road engineering material. Constr. Build. Mater. 2021, 304, 124674. [Google Scholar] [CrossRef]
- Mohamad, N.; Iman, M.A.; Mydin, M.A.O.; Samad, A.A.A.; Rosli, J.A.; Noorwirdawati, A. Mechanical properties and flexure behaviour of lightweight foamed concrete incorporating coir fibre. IOP Conf. Ser. Earth Environ. Sci. 2018, 140, 012140. [Google Scholar] [CrossRef]
- Serri, E.; Othuman Mydin, M.A.; Suleiman, M.Z. The effects of oil palm shell aggregate shape on the thermal properties and density of concrete. Adv. Mat. Res. 2014, 935, 172–175. [Google Scholar] [CrossRef]
- Sui, L.; Luo, M.; Yu, K.; Xing, F.; Li, P.; Zhou, Y.; Chen, C. Effect of engineered cementitious composite on the bond behavior between fiber-reinforced polymer and concrete. Compos. Struct. 2018, 184, 775–788. [Google Scholar] [CrossRef]
- Kong, K.; Mesticou, Z.; Michel, M.; Larbi, A.S.; Junes, A. Comparative characterization of the durability behaviour of textile reinforced concrete (TRC) under tension and bending. Compos. Struct. 2017, 179, 107–123. [Google Scholar] [CrossRef]
- Butler, M.; Hempel, S.; Mechtcherine, V. Modelling of ageing effects on crack-bridging behaviour of AR-glass multifilament yarns embedded in cement-based matrix. Cem. Concr. Res. 2011, 41, 403–411. [Google Scholar] [CrossRef]
- Portal, N.W.; Perez, I.F.; Thrane, L.N.; Lundgren, K. Pull-out of textile reinforcement in concrete. Constr. Build. Mater. 2014, 71, 63–71. [Google Scholar] [CrossRef]
- Valeri, P.; Ruiz, M.F.; Muttoni, A. Modelling of Textile Reinforced Concrete in bending and shear with Elastic-Cracked Stress Fields. Eng. Struct. 2020, 215, 110664. [Google Scholar] [CrossRef]
- Saidi, M.; Gabor, A. Experimental analysis of the tensile behaviour of textile reinforced cementitious matrix composites using distributed fibre optic sensing (DFOS) technology. Constr. Build. Mater. 2020, 230, 117027. [Google Scholar] [CrossRef]
- Liu, S.; Rawat, P.; Wang, X.; Zhu, D. Low velocity impact behavior of AR-glass textile reinforced mortar under varying range of loading and temperatures. Constr. Build. Mater. 2019, 228, 116773. [Google Scholar] [CrossRef]
- Tlaiji, T.; Vu, X.H.; Ferrier, E.; Larbi, A.S. Thermomechanical behaviour and residual properties of textile reinforced concrete (TRC) subjected to elevated and high temperature loading: Experimental and comparative study. Compos. Part B Eng. 2018, 144, 99–110. [Google Scholar] [CrossRef]
- Mohd Zamzani, N.; Othuman Mydin, M.A.; Abdul Ghani, A.N. Mathematical regression models for prediction of durability properties of foamed concrete with the inclusion of coir fibre. Int. J. Eng. Adv. 2019, 8, 3353–3358. [Google Scholar] [CrossRef]
- Amran, Y.H.M.; Farzadnia, N.; Abang Ali, A.A. Properties and applications of foamed concrete; a review. Constr. Build. Mater. 2015, 101, 990–1005. [Google Scholar] [CrossRef]
- Mydin, M.A.O.; Musa, M.; Ghani, A.N.A. Fiber glass strip laminates strengthened lightweight foamed concrete: Performance index, failure modes and microscopy analysis. AIP Conf. Proc. 2018, 2016, 020111. [Google Scholar]
- Serudin, A.M.; Othuman, M.A.M.; Ghani, A.N.A. Effect of lightweight foamed concrete confinement with woven fiberglass mesh on its drying shrinkage. Rev. Ing. Construcción 2021, 36, 21–28. [Google Scholar] [CrossRef]
- Kunhanandan Nambiar, E.K.; Ramamurthy, K. Influence of filler type on the properties of foam concrete. Cem. Concr. Compos. 2006, 28, 475–480. [Google Scholar] [CrossRef]
- Nensok, M.H.; Mydin, M.A.O.; Awang, H. Investigation of Thermal, Mechanical and Transport Properties of Ultra Lightweight Foamed Concrete (ULFC) Strengthened with Alkali Treated Banana Fibre. J. Adv. Res. Fluid Mech. Therm. Sci. 2021, 86, 123–139. [Google Scholar] [CrossRef]
- Cibulka, T.; Musil, L.; Vodička, J. The Lightweight Textile Reinforced Concrete for Thin-Walled Structures. Acta Polytech. CTU Proc. 2019, 22, 17–21. [Google Scholar] [CrossRef]
- Yin, S.; Wang, B.; Wang, F.; Xu, S. Bond investigation of hybrid textile with self-compacting fine-grain concrete. J. Ind. Text. 2017, 46, 1616–1632. [Google Scholar] [CrossRef]
- Dalal, M.; Goumairi, O.; El Malik, A. Study of the internal confinement of concrete reinforced (in civil engineering) with woven reinforcement. IOP Conf. Ser. Mater. Sci. Eng. 2017, 254, 042008. [Google Scholar] [CrossRef]
- Portal, N.W.; Lundgren, K.; Wallbaum, H.; Malaga, K. Sustainable potential of textile-reinforced concrete. J. Mater. Civ. Eng. 2015, 27, 04014207. [Google Scholar] [CrossRef]
- Gayathri, C.N.; Singh, R.B.; Dhanalakshmi, G. Mechanical behaviour of textile reinforced concrete. Int. Res. J. Eng. Technol. (IRJET) 2018, 5, 2227–2231. [Google Scholar]
- Younis, A.; Ebead, U.; Shrestha, K. Tensile characterization of multi-ply fabric-reinforced cementitious matrix strengthening systems. Struct. Concr. 2020, 21, 481–848. [Google Scholar] [CrossRef]
- Serudin, A.M.; Mydin, M.A.O.; Ghani, A.N.A. Influence of Fibreglass Mesh on Physical Properties of Lightweight Foamcrete. IIUM Eng. J. 2021, 22, 23–34. [Google Scholar] [CrossRef]
- Yin, S.; Jing, L.; Yin, M.; Wang, B. Mechanical properties of textile reinforced concrete under chloride wet-dry and freeze-thaw cycle environments. Cem. Concr. Compos. 2018, 96, 118–127. [Google Scholar] [CrossRef]
- Machovec, J.; Reiterman, P. Influence of Aggressive Environment on the Tensile Properties of Textile Reinforced Concrete. Acta Polytech. 2018, 58, 245–252. [Google Scholar] [CrossRef]
- Goldfeld, Y.; Perry, G. AR-glass/carbon-based textile-reinforced concrete elements for detecting water infiltration within cracked zones. Struct. Health Monit. 2018, 18, 1383–1400. [Google Scholar] [CrossRef]
- Butler, M.; Mechtcherine, V.; Hempel, S. Durability of textile reinforced concrete made with AR glass fibre: Effect of the matrix composition. Mater. Struct. 2010, 43, 1351–1368. [Google Scholar] [CrossRef]
- BS12620; Aggregates for Concrete. British Standards Institute: London, UK, 2013.
- BS 12390-3; Testing Hardened Concrete. Compressive Strength of Test Specimens. British Standards Institute: London, UK, 2011.
- ASTM C348-19; Standard Test Method for Flexural Strength of Hydraulic-Cement Mortars. ASTM International: West Conshohocken, PA, USA, 2019.
- BS EN 12390-6; Testing Hardened Concrete. Tensile Splitting Strength of Test Specimens. British Standards Institute: London, UK, 2009.
- Shah, S.P.; Naaman, A.E.; Moreno, J. Effect of confinement on the ductility of lightweight. Int. J. Cem. Compos. Lightweight Concr. 1983, 5, 15–25. [Google Scholar] [CrossRef]
- Noor, N.A.; Hazren, M. Fibre Reinforced Polymer Concrete Structures—Opportunities and Concerns. In Proceedings of the International Conference on Building Science and Engineering, Johor Bahru, Malaysia, 14–15 December 2009. [Google Scholar]
- Huang, L.; Yang, X.; Yan, L.; He, K.; Li, H.; Du, Y. Experimental study of polyester fiber-reinforced polymer confined concrete cylinders. Text. Res. J. 2016, 86, 1606–1615. [Google Scholar] [CrossRef]
- Kearsley, E.P.; Wainwrightb, P.J. The effect of high fly ash content on the compressive strength of foamed concrete. Cem. Concr. Res. 2001, 31, 105–112. [Google Scholar] [CrossRef]
- Vogel, F.; Holcapek, O.; Konvalinka, P. Response of high-performance fibre reinforced concrete reinforced by textile reinforcement to impact loading. Acta Polytech. 2016, 56, 328–335. [Google Scholar] [CrossRef][Green Version]
- Reddy, G.V.; Naidu, S.V.; Rani, T.S. Kapok/glass polyester hybrid composites: Tensile and hardness properties. J. Reinf. Plast. Compos. 2008, 27, 1775–1787. [Google Scholar] [CrossRef]
- Parveen, A.S.; Sharma, A. Structural behaviour of fibrous concrete using polypropylene fibres. Int. J. Mod. Eng. Res. 2013, 3, 1279–1282. [Google Scholar]
- Yankelevsky, D.Z.; Avnon, I. Autoclaved aerated concrete behavior under explosive action. Constr. Build. Mater. 1998, 12, 359–364. [Google Scholar] [CrossRef]
- Othuman Mydin, M.A.; Sahidun, N.S.; Mohd Yusof, M.Y.; Noordin, N.M. Compressive, flexural and splitting tensile strengths of lightweight foamed concrete with inclusion of steel fibre. J. Teknol. 2015, 75, 45–50. [Google Scholar] [CrossRef]
- Jitchaiyaphum, K.; Sinsiri, T.; Jaturapitakkul, C.; Chindaprasirt, P. Cellular lightweight concrete containing high-calcium fly ash and natural zeolite. Int. J. Miner. Met. Mater. 2013, 20, 462–471. [Google Scholar] [CrossRef]
- Musa, M.; Othuman Mydin, M.A.; Abdul Ghani, A.N. Influence of oil palm empty fruit bunch (EFB) fibre on drying shrinkage in restrained lightweight foamed mortar. Int. J. Innov. Technol. Exp. Eng. 2019, 8, 4533–4538. [Google Scholar]














| Oxide Components | Percentage by Weight (%) |
|---|---|
| SiO2 | 65.5 |
| ZrO2 | 17.3 |
| TiO2 | 1.2 |
| Al2O3 | 1.4 |
| Fe2O3 | 1.9 |
| CaO | 6.9 |
| MgO | 0.8 |
| Na2O | 0.7 |
| K2O | 0.4 |
| B2O3 | 2.2 |
| Li2O | 0.3 |
| F2 | 0.5 |
| Others | 0.9 |
| Sample Coding | Foamcrete Density (kg/m3) | FM | OPC (kg) | Fine Sand (kg) | Distilled Water (kg) |
|---|---|---|---|---|---|
| 1100-CTRL | 1100 | - | 44.96 | 67.44 | 20.23 |
| 1L-FM-1100 | 1100 | 1 layer | 44.96 | 67.44 | 20.23 |
| 2L-FM-1100 | 1100 | 2 layers | 44.96 | 67.44 | 20.23 |
| 3L-FM-1100 | 1100 | 3 layers | 44.96 | 67.44 | 20.23 |
Publisher’s Note: MDPI stays neutral with regard to jurisdictional claims in published maps and institutional affiliations. |
© 2022 by the authors. Licensee MDPI, Basel, Switzerland. This article is an open access article distributed under the terms and conditions of the Creative Commons Attribution (CC BY) license (https://creativecommons.org/licenses/by/4.0/).
Share and Cite
Mat Serudin, A.; Othuman Mydin, M.A.; Mohd Nawi, M.N.; Deraman, R.; Sari, M.W.; Abu Hashim, M.F. The Utilization of a Fiberglass Mesh–Reinforced Foamcrete Jacketing System to Enhance Mechanical Properties. Materials 2022, 15, 5825. https://doi.org/10.3390/ma15175825
Mat Serudin A, Othuman Mydin MA, Mohd Nawi MN, Deraman R, Sari MW, Abu Hashim MF. The Utilization of a Fiberglass Mesh–Reinforced Foamcrete Jacketing System to Enhance Mechanical Properties. Materials. 2022; 15(17):5825. https://doi.org/10.3390/ma15175825
Chicago/Turabian StyleMat Serudin, Anisah, Md Azree Othuman Mydin, Mohd Nasrun Mohd Nawi, Rafikullah Deraman, Marti Widya Sari, and Mohammad Firdaus Abu Hashim. 2022. "The Utilization of a Fiberglass Mesh–Reinforced Foamcrete Jacketing System to Enhance Mechanical Properties" Materials 15, no. 17: 5825. https://doi.org/10.3390/ma15175825
APA StyleMat Serudin, A., Othuman Mydin, M. A., Mohd Nawi, M. N., Deraman, R., Sari, M. W., & Abu Hashim, M. F. (2022). The Utilization of a Fiberglass Mesh–Reinforced Foamcrete Jacketing System to Enhance Mechanical Properties. Materials, 15(17), 5825. https://doi.org/10.3390/ma15175825

