Investigation of the Rheological Properties and Chemical Structure of Asphalt under Multiple Aging Conditions of Heat, UV and Aqueous Solution
Abstract
:1. Introduction
2. Materials and Experiments
2.1. Materials
2.1.1. Asphalt
2.1.2. Preparation of Aqueous Solution
2.2. Aging Simulation Test of Asphalt
- The 50 g of 70 A was poured on a dry aging tray with a diameter of 140 mm, then the aging tray was put into a thermal film oven at 163 °C for 5 h to obtain TFOT aged samples;
- The TFOT aged samples were placed in UV aging oven at 50 W/m2 of irradiation intensity and 60 °C for 5 days, 10 days and 15 days to obtain UV aged samples;
- The UV-aged samples were treated by hydrostatic immersion experiments in a water bath at 60 °C for 5 days with distilled water, 10 wt% NaCl salt solution, pH 3 acid solution and pH11 alkali solution to obtain the samples (UV 5d + immersion 5d);
- The sample (UV 5d + water 5d) were subjected to UV aging for another 5 days, according to step iii, to obtain the samples (UV 5d + water 5d + UV 5d);
- Trichloroethylene was selected as a solvent to dissolve the upper part of the samples at each stage for 90 s, and the trichloroethylene-asphalt solution was poured into a clean container then placed in fume cupboard for 72 h to allow the trichloroethylene to evaporate completely. Finally, the residues were collected as the aged asphalt samples.
2.3. Characterization of Asphalt
2.3.1. DSR Test
2.3.2. BBR Test
2.3.3. EA Test
2.3.4. FTIR Test
3. Results and Discussion
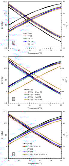
3.1. High-Temperature Rutting Resistance
3.2. Low-Temperature Cracking Resistance
3.3. Element Composition
3.4. Chemical Structure
4. Conclusions
- Heat can increase the rutting factor, RAI and S, and decline the m-value to improve the high-temperature rutting resistance and weaken the low-temperature cracking resistance. According to the results of the EA test and FTIR test, the fA, CI, IC=O and IS=O increased after thermo-oxidative aging. It can be explained by the fact that thermo-oxidative aging causes the saturated hydrocarbon and the aromatic ring substance with the higher condensation degree increase to form more polar components. The addition of UV further deepens asphalt aging, and the sensitivity of physicochemical properties to UV decreased with the deepening of aging.
- Aqueous solution can further affect the rheological properties of samples aged by UV. Due to the dissolution and migration of polar components, the rutting resistance of asphalt samples was weakened but the cracking resistance was improved slightly after immersion in water, saline solution and acid solution, whereas the opposite pattern appears in samples suffered from alkali solution due to the saponification reaction. The order of influence of the degree of aqueous solution on UV-aged asphalt is as follows: alkali > acid > salt > water.
- Water has the smaller effect on element composition and chemical structure, but water can increase the sensitivity of physicochemical properties to UV.
Author Contributions
Funding
Institutional Review Board Statement
Informed Consent Statement
Acknowledgments
Conflicts of Interest
References
- Li, N.; Jiang, Q.; Wang, F.; Cui, P.; Xie, J.; Li, J.; Wu, S.; Barbieri, D. Comparative assessment of asphalt volatile organic compounds emission from field to laboratory. J. Clean. Prod. 2021, 278, 123479. [Google Scholar] [CrossRef]
- Wan, P.; Liu, Q.; Wu, S.; Zhao, Z.; Yu, X. A novel microwave induced oil release pattern of calcium alginate/nano-Fe3O4 composite capsules for asphalt self-healing. J. Clean. Prod. 2021, 297, 126721. [Google Scholar] [CrossRef]
- Li, Q.; Zeng, X.; Wang, J.; Luo, S.; Meng, Y.; Gao, L.; Wang, X. Aging performance of high viscosity modified asphalt under complex heat-light-water coupled conditions. Constr. Build. Mater. 2022, 325, 126314. [Google Scholar] [CrossRef]
- Wang, F.; Xie, J.; Wu, S.; Li, J.; Barbieri, D.M.; Zhang, L. Life cycle energy consumption by roads and associated interpretative analysis of sustainable policies. Renew. Sust. Energ. Rev. 2021, 141, 110823. [Google Scholar] [CrossRef]
- Li, J.; Yu, J.; Wu, S.; Xie, J. The mechanical resistance of asphalt mixture with steel slag to deformation and skid degradation based on laboratory accelerated heavy loading test. Materials 2022, 15, 911. [Google Scholar] [CrossRef]
- Xu, H.; Wu, S.; Chen, A.; Zou, Y. Influence of erosion factors (time, depths and environment) on induction heating asphalt concrete and its mechanism. J. Clean. Prod. 2022, 363, 132521. [Google Scholar] [CrossRef]
- Cui, P.; Wu, S.; Xiao, Y.; Hu, R.; Yang, T. Environmental performance and functional analysis of chip seals with recycled basic oxygen furnace slag as aggregate. J. Hazard. Mater. 2021, 405, 124441. [Google Scholar] [CrossRef] [PubMed]
- Sun, X.; Wang, Y.; Li, H.; Yang, X.; Sun, L.; Wang, X.; Wang, T.; Wang, W. Organic acids in cloud water and rainwater at a mountain site in acid rain areas of South China. Environ. Sci. Pollut. Res. 2016, 23, 9529–9539. [Google Scholar] [CrossRef] [PubMed]
- Liu, F.; Zhang, T.; Luo, T.; Zhou, M.; Ma, W. Study on the deterioration of concrete under dry-wet cycle and sulfate attack. Materials 2020, 13, 4095. [Google Scholar] [CrossRef]
- Shao, T.; Zhao, J.J.; Liu, A.; Long, X.; Rengel, Z. Effects of soil physicochemical properties on microbial communities in different ecological niches in coastal area. Appl. Soil Ecol. 2020, 150, 103486. [Google Scholar] [CrossRef]
- Magdy, M.; Gar Alalm, M.; El-Etriby, H.K. Comparative life cycle assessment of five chemical methods for removal of phenol and its transformation products. J. Clean. Prod. 2021, 291, 125923. [Google Scholar] [CrossRef]
- Yang, C.; Wu, S.; Cui, P.; Amirkhanian, S.; Zhao, Z.; Wang, F.; Zhang, L.; Wei, M.; Zhou, X.; Xie, J. Performance characterization and enhancement mechanism of recycled asphalt mixtures involving high RAP content and steel slag. J. Clean. Prod. 2022, 336, 130484. [Google Scholar] [CrossRef]
- Zeng, W.; Wu, S.; Wen, J.; Chen, Z. The temperature effects in aging index of asphalt during UV aging process. Constr. Build. Mater. 2015, 93, 1125–1131. [Google Scholar] [CrossRef]
- Li, H.; Yu, J.; Wu, S.; Liu, Q.; Li, Y.; Wu, Y.; Xu, H. Investigation of the effect of induction heating on asphalt binder aging in steel fibers modified asphalt concrete. Materials 2019, 12, 1067. [Google Scholar] [CrossRef] [PubMed]
- Hamzah, M.O.; Valentin], J. A review on moisture damages of hot and warm mix asphalt and related investigations. J. Clean. Prod. 2015, 99, 39–58. [Google Scholar]
- Abouelsaad, A.; White, G. The combined effect of ultraviolet irradiation and temperature on hot mix asphalt mixture aging. Sustainability 2022, 14, 5942. [Google Scholar] [CrossRef]
- Tan, Z.; Li, Q. Study on the effect of thermo-oxygen-light coupling aging on asphalt performance. Highw. Automot. Appl. 2016, 176, 71–72+93. [Google Scholar]
- Li, Y.; Li, H.; Nie, S.; Wu, S.; Liu, Q.; Li, C.; Shu, B.; Li, C.; Song, W.; Zou, Y.; et al. Negative impacts of environmental factors (UV radiation, water and different solutions) on bitumen and its mechanism. Constr. Build. Mater. 2020, 265, 120288. [Google Scholar] [CrossRef]
- Ilaria, M.; Eyad, M. The influence of moisture on the evolution of the microstructure of asphalt binders with aging. Road Mater. Pavement Des. 2018, 21, 331–346. [Google Scholar]
- Zhang, X.; Huang, G.; Liu, Z.; Feng, M.; Li, C. Influence of coupled aging condition of heat, light and water on performance of warm mix asphalt. J. Highw. Trans. Res. Dev. 2018, 36, 10–19. [Google Scholar]
- Rathore, M.; Haritonovs, V.; Meri, R.M.; Zaumanis, M. Rheological and chemical evaluation of aging in 100% reclaimed asphalt mixtures containing rejuvenators. Constr. Build. Mater. 2022, 318, 126026. [Google Scholar] [CrossRef]
- Yang, X.; Mills-Beale, J.; You, Z. Chemical characterization and oxidative aging of bio-asphalt and its compatibility with petroleum asphalt. J. Clean. Prod. 2017, 142, 1837–1847. [Google Scholar] [CrossRef]
- ASTM D-5; Standard Test Method for Penetration of Bituminous Materials. ASTM International: West Conshohocken, PA, USA, 2013.
- ASTM D36; Standard Test Method for Softening Point of Bitumen (Ring-and-Ball Apparatus). ASTM International: West Conshohocken, PA, USA, 2009.
- ASTM D-113; Standard Test Method for Ductility of Bituminous Materials. ASTM: West Conshohocken, PA, USA, 2007.
- ASTM D-2042; Standard Test Method for Solubility of Asphalt Materials in Trichloroethylene. ASTM International: West Conshohocken, PA, USA, 2015.
- Joshi, C. Determining the rheological properties of asphalt binder using a dynamic shear rheometer (DSR). Int. J. Res. Eng. 2013, 2, 192–196. [Google Scholar]
- ASTM D6648-08(2016); Standard Test Method for Determining the Flexural Creep Stiffness of Asphalt Binder Using the Bending Beam Rheometer (BBR). ASTM: West Conshohocken, PA, USA, 2016.
- Li, Y.; Wu, S.; Liu, Q.; Xie, J.; Li, H.; Dai, Y.; Li, C.; Nie, S.; Wei, S. Aging effects of ultraviolet lights with same dominant wavelength and different wavelength ranges on a hydrocarbon-based polymer (asphalt). Polym. Test. 2019, 75, 64–75. [Google Scholar] [CrossRef]
- Zhao, Z.; Wu, S.; Liu, Q.; Yang, C.; Zou, Y.; Wan, P. Feasibility assessment of CeO2 nanoparticles as aging-resistant agent of asphalt. Constr. Build. Mater. 2022, 330, 127245. [Google Scholar] [CrossRef]
- Qian, G.; Yu, H.; Gong, X.; Zhao, L. Impact of Nano-TiO2 on the NO2 degradation and rheological performance of asphalt pavement. Constr. Build. Mater. 2019, 218, 53–63. [Google Scholar] [CrossRef]
- Jiang, Q.; Li, N.; Yang, F.; Ren, Y.; Wu, S.; Wang, F.; Xie, J. Rheology and volatile organic compounds characteristics of warm-mix flame retardant asphalt. Constr. Build. Mater. 2021, 298, 123691. [Google Scholar] [CrossRef]
- Zhao, Z.; Wu, S.; Liu, Q.; Xie, J.; Yang, C.; Wang, F.; Wan, P. Recycling waste disposable medical masks in improving the performance of asphalt and asphalt mixtures. Constr. Build. Mater. 2022, 337, 127621. [Google Scholar] [CrossRef]
- Ren, H.; Qian, Z.; Huang, W.; Li, H.; Liu, Y. Low-temperature thermal cracking performance of waterborne epoxy asphalt emulsion mastic based on bending beam rheometer (BBR). Constr. Build. Mater. 2022, 334, 127461. [Google Scholar] [CrossRef]
- Alhaddad, A. Investigation of rheological properties of Iraqi asphalt cement. IOP Conf. Ser. Mater. Sci. Eng. 2020, 737, 012134. [Google Scholar] [CrossRef]
- Li, J.; Jiang, Y.; Chen, Q.; Liu, Y.; Wu, C. Microscopic properties of 5U north American rock asphalt and its modified asphalts based on E-M-D method. Guangxi Sci. 2015, 22, 83–86. [Google Scholar]
- Zhang, N.; Fan, G.; Lv, S.; He, F.; Fan, X.; Peng, X.; Liu, T.J.; Liu, H. The influence of SBS modification on the rheological property of asphalt before and after regeneration. Constr. Build. Mater. 2021, 310, 125239. [Google Scholar] [CrossRef]
- Yang, H.; Pang, L.; Zou, Y.; Liu, Q.; Xie, J. The effect of water solution erosion on rheological, cohesion and adhesion properties of asphalt. Constr. Build. Mater. 2020, 246, 118465. [Google Scholar] [CrossRef]
- Speidel, M.; Malte, K.; Andreas, H.; Klaus, R.; Angelika, E.; Rolf, D.; Oliver, B. Structural and tribometric characterization of biomimetically inspired synthetic “insect adhesives”. Beilstein J. Nanotechnol. 2017, 8, 45–63. [Google Scholar] [CrossRef] [PubMed]
- Wang, Y.; Ye, J.; Liu, Y.; Qiang, X.; Feng, L. Influence of freeze–thaw cycles on properties of asphalt-modified epoxy repair materials. Constr. Build. Mater. 2013, 41, 580–585. [Google Scholar] [CrossRef]
- Wanfen, P.; Shen, C.; Tang, X.; Wei, B.; Zhao, N.; Mei, Z. Research advances about oil-water interfacial dilational viscoelasticity in chemical flooding. Oilfield Chem. 2018, 3, 562–570. [Google Scholar]
- Zou, Y.; Amirkhanian, S.; Xu, S.; Li, Y.; Wang, Y.; Zhang, J. Effect of different aqueous solutions on physicochemical properties of asphalt binder. Constr. Build. Mater. 2021, 286, 122810. [Google Scholar] [CrossRef]
- Kai, Y.; Rui, L.A. Characterization of bonding property in asphalt pavement interlayer: A review. J. Traffic Transp. Eng. 2021, 8, 374–387. [Google Scholar]
- Liu, L.; Lu, Y.; Liu, A.; Li, Y.; Guo, R. Analysis of asphalt aging behavior evaluation method based on infrared spectrum. IOP Conf. Ser. Earth Environ. Sci. 2021, 787, 012044. [Google Scholar] [CrossRef]
- Li, Y.; Feng, J.; Yang, F.; Wu, S.; Liu, Q.; Bai, T.; Liu, Z.; Li, C.; Gu, D.; Chen, A.; et al. Gradient aging behaviors of asphalt aged by ultraviolet lights with various intensities. Constr. Build. Mater. 2021, 295, 123618. [Google Scholar] [CrossRef]
- Yan, K.; Liu, W.; You, L.; Ou, J.; Zhang, M. Evaluation of waste cooling oil and European Rock Asphalt modified asphalt with laboratory tests and economic cost comparison-ScienceDirect. J. Clean. Prod. 2021, 310, 127364. [Google Scholar] [CrossRef]
- Chen, H.; Tan, Z.Y.; Qiang, L.I.; Maintenance, D.O. The analysis of impacts on asphalt aging under complex condition of heat-water-light. J. Transp. Sci. Eng. 2016, 32, 45–48. [Google Scholar]












| Physical Properties | Units | 70 A | Standards |
|---|---|---|---|
| Penetration (25 °C, 100 g, 5 s) | 0.1 mm | 72.4 | ASTM D-5 [23] |
| Softening point | °C | 49.6 | ASTM D-36 [24] |
| Ductility (10 °C/5 °C) | cm | >100 | ASTM D-113 [25] |
| Solubility (trichloroethylene) | % | 99.5 | ASTM D-2042 [26] |
| Test | Instruments | Origin | Test Parameters |
|---|---|---|---|
| DSR [27] | ![]() | Smartpave 102 | Stain: 0.5% |
| Frequency: 10 rad/s | |||
| Anton Paar Co., Ltd. | Temperature: 30–80 °C | ||
| Heating rate: 2 °C/min | |||
| Ostfildern, Germany | Plate diameter: 25 mm | ||
| Plate gap: 1 mm | |||
| BBR [28] | ![]() | SYD-0627 | Load: 980 ± 50 mN |
| Shanghai Changji Geological Instrument Co., Ltd. | Temperature: −6, −12, −18 °C | ||
| Shanghai, China | Span length: 102 mm | ||
| EA [29] | ![]() | Vario EL Cube | Mode: C/H/N/S |
| Elementar Analysensysteme GmbH | |||
| Langenselbold, Germany | |||
| FTIR [30] | ![]() | Nicolet 6700 | Chip: KBr |
| Thermo Fisher Scientifific | Scanning range: 4000–400 cm−1 | ||
| Waltham, MA, USA | Scan time: 64 times |
| Samples | C | H | N | S | O |
|---|---|---|---|---|---|
| Virgin | 82.98 | 10.27 | 0.73 | 4.43 | 1.59 |
| TFOT | 82.94 | 10.24 | 0.72 | 4.38 | 1.72 |
| UV 5d | 82.86 | 10.21 | 0.72 | 4.37 | 1.84 |
| UV 10d | 82.86 | 10.20 | 0.72 | 4.36 | 1.86 |
| UV 15d | 82.67 | 10.17 | 0.72 | 4.34 | 2.10 |
| Samples | ΔCI |
|---|---|
| Virgin/TFOT | 0.0009 |
| TFOT/UV 5d | 0.0007 |
| UV 5d/UV 10d | 0.0004 |
| UV 10d/UV 15d | 0.0001 |
| UV 5d/UV 5d + water 5d | 0.0001 |
| UV 5d + water 5d/UV 5d + water 5d + UV 5d | 0.0005 |
| Samples | C | H | N | S | O |
|---|---|---|---|---|---|
| UV 5d | 82.86 | 10.21 | 0.72 | 4.37 | 1.84 |
| UV 5d + water 5d | 82.86 | 10.21 | 0.71 | 4.34 | 1.88 |
| UV 5d + salt 5d | 82.86 | 10.20 | 0.71 | 4.34 | 1.89 |
| UV 5d + acid 5d | 82.85 | 10.19 | 0.70 | 4.33 | 1.93 |
| UV 5d + alkali 5d | 82.84 | 10.18 | 0.69 | 4.32 | 1.97 |
| Samples | C | H | N | S | O |
|---|---|---|---|---|---|
| UV 5d | 82.86 | 10.21 | 0.72 | 4.37 | 1.84 |
| UV 5d + water 5d | 82.86 | 10.21 | 0.71 | 4.34 | 1.88 |
| UV 10d | 82.86 | 10.20 | 0.72 | 4.36 | 1.86 |
| UV 15d | 82.67 | 10.17 | 0.72 | 4.34 | 2.10 |
| UV 5d + water 5d + UV 5d | 82.61 | 10.16 | 0.72 | 4.35 | 2.16 |
| Samples | ΔIC=O | ΔIS=O |
|---|---|---|
| Virgin/TFOT | 0.06 | 0.21 |
| TFOT/UV 5d | 0.05 | 0.14 |
| UV 5d/UV 10d | 0.04 | 0.10 |
| UV 10d/UV 15d | 0.02 | 0.08 |
| UV 5d/UV 5d + water 5d | 0.03 | 0.07 |
| UV 5d + water 5d/UV 5d + water 5d + UV 5d | 0.10 | 0.45 |
Publisher’s Note: MDPI stays neutral with regard to jurisdictional claims in published maps and institutional affiliations. |
© 2022 by the authors. Licensee MDPI, Basel, Switzerland. This article is an open access article distributed under the terms and conditions of the Creative Commons Attribution (CC BY) license (https://creativecommons.org/licenses/by/4.0/).
Share and Cite
Zou, Y.; Pang, L.; Xu, S.; Wu, S.; Yuan, M.; Amirkhanian, S.; Xu, H.; Lv, Y.; Gao, X. Investigation of the Rheological Properties and Chemical Structure of Asphalt under Multiple Aging Conditions of Heat, UV and Aqueous Solution. Materials 2022, 15, 5711. https://doi.org/10.3390/ma15165711
Zou Y, Pang L, Xu S, Wu S, Yuan M, Amirkhanian S, Xu H, Lv Y, Gao X. Investigation of the Rheological Properties and Chemical Structure of Asphalt under Multiple Aging Conditions of Heat, UV and Aqueous Solution. Materials. 2022; 15(16):5711. https://doi.org/10.3390/ma15165711
Chicago/Turabian StyleZou, Yingxue, Ling Pang, Shi Xu, Shaopeng Wu, Miao Yuan, Serji Amirkhanian, Haiqin Xu, Yang Lv, and Xiang Gao. 2022. "Investigation of the Rheological Properties and Chemical Structure of Asphalt under Multiple Aging Conditions of Heat, UV and Aqueous Solution" Materials 15, no. 16: 5711. https://doi.org/10.3390/ma15165711
APA StyleZou, Y., Pang, L., Xu, S., Wu, S., Yuan, M., Amirkhanian, S., Xu, H., Lv, Y., & Gao, X. (2022). Investigation of the Rheological Properties and Chemical Structure of Asphalt under Multiple Aging Conditions of Heat, UV and Aqueous Solution. Materials, 15(16), 5711. https://doi.org/10.3390/ma15165711





