Influence of Practitioner-Related Placement Variables on the Compressive Properties of Bulk-Fill Composite Resins—An In Vitro Clinical Simulation Study
Abstract
:1. Introduction
2. Materials and Methods
2.1. The In Vitro Set-Up
2.2. On-Line Placement Measurements and Analysis
2.3. Compressive Test
2.4. Statistics
3. Results
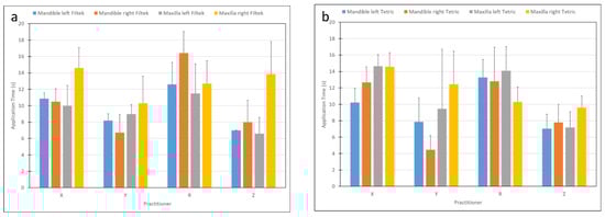
3.1. Placement Parameters
3.2. Compressive Properties
4. Discussion
5. Conclusions
Author Contributions
Funding
Institutional Review Board Statement
Informed Consent Statement
Data Availability Statement
Conflicts of Interest
References
- Samorodnitzky-Naveh, G.R.; Geiger, S.B.; Levi, L. Patients’ satisfaction with dental esthetics. J. Am. Dent. Assoc. 2007, 138, 805–808. [Google Scholar] [CrossRef] [PubMed]
- Mehl, C.J.; Harder, S.; Kern, M.; Wolfart, S. Patients’ and dentists’ perception of dental appearance. Clin. Oral Investig. 2011, 15, 193–199. [Google Scholar] [CrossRef] [PubMed]
- Ferracane, J.L. Resin composite—State of the art. Dent. Mater. 2011, 27, 29–38. [Google Scholar] [CrossRef] [PubMed]
- Lee, I.B.; Son, H.H.; Um, C.M. Rheologic properties of flowable, conventional hybrid, and condensable composite resins. Dent. Mater. 2003, 19, 298–307. [Google Scholar] [CrossRef]
- Alomari, Q.D.; Barrieshi-Nusair, K.; Ali, M. Effect of C-factor and LED Curing Mode on Microleakage of Class V Resin Composite Restorations. Eur. J. Dent. 2011, 5, 400–408. [Google Scholar] [CrossRef] [Green Version]
- Wang, Y.; Woodworth, L.; Han, B. Simultaneous measurement of effective chemical shrinkage and modulus evolutions during polymerization. Exp. Mech. 2011, 51, 1155–1169. [Google Scholar] [CrossRef]
- Frankenberger, R.; Reinelt, C.; Petschelt, A.; Krämer, N. Operator vs. material influence on clinical outcome of bonded ceramic inlays. Dent. Mater. 2009, 25, 960–968. [Google Scholar] [CrossRef]
- Laske, M.; Opdam, N.J.M.; Bronkhorst, E.M.; Braspenninh, J.C.C.; Huysmans, M.C.D. Longevity of direct restorations in Dutch dental practices. Descriptive study out of a practice based research network. J. Dent. 2016, 46, 12–17. [Google Scholar] [CrossRef]
- Laske, M.; Opdam, N.J.M.; Bronkhorst, E.M.; Braspenning, J.C.C.; Huysmans, M.C.D.N.J.M. Ten-Year Survival of Class II Restorations Placed by General Practitioners. J. Dent. Res. Clin. Transl. Res. 2016, 1, 292–299. [Google Scholar] [CrossRef]
- Casagrande, L.; Laske, M.; Bronkhorst, E.M.; Charlotte, M.D.N.J. Repair may increase survival of direct posterior restorations—A practice based study. J. Dent. 2017, 64, 30–36. [Google Scholar] [CrossRef]
- Collares, K.; Opdam, N.J.M.; Laske, M.; Bronkhorst, E.M.; Demarco, F.F.; Correa, M.B.; Huysmans, M.C.D.N.J.M. Longevity of anterior composite restorations in a general dental practice-based network. J. Dent. Res. 2017, 96, 1092–1099. [Google Scholar] [CrossRef] [PubMed]
- Beck, F.; Lettner, S.; Graf, A.; Bitriol, B.; Dumitrescu, N.; Bauer, P.; Moritz, A.; Schedle, A. Survival of direct resin restorations in posterior teeth within a 19-year period (1996–2015): A meta-analysis of prospective studies. Dent. Mater. 2015, 31, 958–985. [Google Scholar] [CrossRef]
- Pallesen, U.; van Dijken, J.W.V.; Halken, J.; Hallonsten, A.L.; Höigaard, R. Longevity of posterior resin composite restorations in permanent teeth in Public Dental Health Service: A prospective 8 years follow up. J. Dent. 2013, 41, 297–306. [Google Scholar] [CrossRef] [PubMed]
- Lucarotti, P.S.K.; Holder, R.L.; Burke, F.J.T. Outcome of direct restorations placed within the general dental services in England and Wales (Part 1): Variation by type of restoration and re-intervention. J. Dent. 2005, 33, 805–815. [Google Scholar] [CrossRef] [PubMed]
- Opdam, N.J.M.; Van De Sande, F.H.; Bronkhorst, E.; Cenci, M.S.; Bottenberg, P.; Pallesen, U.; Gaengler, P.; Lindberg, A.; Huysmans, M.C.D.N.J.M.; Van Dijken, J.W. Longevity of posterior composite restorations: A systematic review and meta-analysis. J. Dent. Res. 2014, 93, 943–949. [Google Scholar] [CrossRef]
- Gresnigt, M.M.; Sugii, M.M.; Johanns, K.B.; van der Made, S.A. Comparison of conventional ceramic laminate veneers, partial laminate veneers and direct composite resin restorations in fracture strength after aging. J. Mech. Behav. Biomed. Mater. 2021, 114, 104172. [Google Scholar] [CrossRef]
- Forster, A.; Braunitzer, G.; Tóth, M.; Szabó, B.P.; Fráter, M. In vitro fracture resistance of adhesively restored molar teeth with different MOD cavity dimensions. J. Prosthodont. 2019, 28, e325–e331. [Google Scholar] [CrossRef] [PubMed] [Green Version]
- Meenakumari, C.; Bhat, K.M.; Bansal, R.; Singh, N. Evaluation of mechanical properties of newer nanoposterior restorative resin composites: An In vitro Study. Contemp. Clin. Dent. 2018, 9, S142–S146. [Google Scholar] [CrossRef] [PubMed]
- Bijelic-Donova, J.; Garoushi, S.; Vallittu, P.K.; Lassila, L.V.J. Mechanical properties, fracture resistance, and fatigue limits of short fiber reinforced dental composite resin. J. Prosthet. Dent. 2016, 115, 95–102. [Google Scholar] [CrossRef]
- Opdam, N.J.; Roeters, J.J.; Joosten, M.; Veeke, O. Porosities and voids in Class I restorations placed by six operators using a packable or syringable composite. Dent. Mater. 2002, 18, 58–63. [Google Scholar] [CrossRef]
- McCabe, J.F.; Ogden, A.R. The relationship between porosity, compressive fatigue limit and wear in composite resin restorative materials. Dent. Mater. 1987, 3, 9–12. [Google Scholar] [CrossRef]
- Geirsson, J.; Thompson, J.Y.; Bayne, S.C. Porosity evaluation and pore size distribution of a novel directly placed ceramic restorative material. Dent. Mater. 2004, 20, 987–995. [Google Scholar] [CrossRef] [PubMed]
- Bellinaso, M.D.; Soares, F.Z.M.; Rocha, R.O. Do bulk-fill resins decrease the restorative time in posterior teeth? A systematic review and meta-analysis of in vitro studies. J. Investig. Clin. Dent. 2019, 10, e12463. [Google Scholar] [CrossRef] [PubMed]
- Hamama, H.H. 19—Recent advances in posterior resin composite restorations. In Woodhead Publishing Series in Biomaterials, Applications of Nanocomposite Materials in Dentistry; Abdullah, M., Inamuddin, A., Mohammad, A., Eds.; Woodhead Publishing: Sawston, UK, 2019; pp. 319–336. [Google Scholar]
- Matuda, A.; Silveira, M.; Andrade, G.; Piva, A.; Tribst, J.; Borges, A.; Testarelli, L.; Mosca, G.; Ausiello, P. Computer Aided Design Modelling and Finite Element Analysis of Premolar Proximal Cavities Restored with Resin Composites. Materials 2021, 14, 2366. [Google Scholar] [CrossRef] [PubMed]
- Ausiello, P.; Piva, A.D.; Borges, A.; Lanzotti, A.; Zamparini, F.; Epifania, E.; Tribst, J.M. Effect of shrinking and no shrinking dentine and enamel replacing materials in posterior restoration: A 3D-FEA study. Appl. Sci. 2021, 11, 2215. [Google Scholar] [CrossRef]
- Alshali, R.Z.; Silikas, N.; Satterthwaite, J.D. Degree of conversion of bulk-fill compared to conventional resin-composites at two time intervals. Dent. Mater. 2013, 29, e213–e217. [Google Scholar] [CrossRef]
- Rizzante, F.A.P.; Mondelli, R.F.L.; Furuse, A.Y.; Borges, A.F.S.; Mendonça, G.; Ishikiriama, S.K. Shrinkage stress and elastic modulus assessment of bulk-fill composites. J. Appl. Oral Sci. 2019, 27, e20180132. [Google Scholar] [CrossRef]
- Lima, R.B.W.; Troconis, C.C.M.; Moreno, M.B.P.; Murillo-Gómez, F.; De Goes, M.F. Depth of cure of bulk fill resin composites: A systematic review. J. Esthet. Restor. Dent. 2018, 30, 492–501. [Google Scholar] [CrossRef]
- Lins, R.; Vinagre, A.; Alberto, N.; Domingues, M.F.; Messias, A.; Martins, L.R.; Nogueira, R.; Ramos, J.C. Polymerization shrinkage evaluation of restorative resin-based composites using fiber Bragg grating sensors. Polymers 2019, 11, 859. [Google Scholar] [CrossRef] [Green Version]
- Ersen, K.A.; Gürbüz, Ö.; Özcan, M. Evaluation of polymerization shrinkage of bulk-fill resin composites using microcomputed tomography. Clin. Oral Investig. 2020, 24, 1687–1693. [Google Scholar] [CrossRef]
- Boaro, L.C.C.; Lopes, D.P.; de Souza, A.S.C.; Nakano, E.L.; Perez, M.D.A.; Pfeifer, C.S.; Goncalves, F. Clinical performance and chemical-physicalproperties of bulk fill composites resin —A systematic review and meta-analysis. Dent. Mater. 2019, 35, e249–e264. [Google Scholar] [CrossRef] [PubMed]
- Xiao, H.; Yan, C.; Qian, J.; Xin, L.; Yaming, C. Novel bioactive glass-modified hybrid composite resin: Mechanical properties, biocompatibility, and antibacterial and remineralizing activity. Front. Bioeng. Biotechnol. 2021, 9, 661734. [Google Scholar]
- Pereira, R.; Soares, P.; Bicalho, A.A.; Barcelos, L.M.; Oliveira, L.; Soares, C.J. Impact of the porosity from Incremental and bulk resin composite filling techniques on the biomechanical performance of root-treated molars. Oper. Dent. 2021, 46, 197–207. [Google Scholar] [CrossRef] [PubMed]
- McCracken, M.S.; Gordan, V.V.; Litaker, M.S.; Funkhouser, H.; Fellows, J.L.; Shamp, D.G.; Qvist, V.; Meral, J.S.; Gilbert, G.H. A 24-month evaluation of amalgam and resin-based composite restorations: Findings from the National Dental Practice-Based Research Network. J. Am. Dent. Assoc. 2013, 144, 583–593. [Google Scholar] [CrossRef] [PubMed]
- Huang, Y.H.; Wang, Y.L.; Lin, P.Y.; Lai, Y.J.; Cheng, C.W.; Chiang, Y.C. Dentists’ performance in dentin-composite resin bonding before and after hands-on course learning. J. Formos. Med. Assoc. 2020, 119, 260–267. [Google Scholar] [CrossRef] [PubMed]
- Van De Sande, F.H.; Opdam, N.J.; Rodolpho, P.A.; Correa, M.B.; Demarco, F.F.; Cenci, M.S. Patient risk factors’ influence on survival of posterior composites. J. Dent. Res. 2013, 92, 78S–83S. [Google Scholar] [CrossRef]
- Stewardson, D.A.; Thornley, P.; Bigg, T.; Bromage, C.; Browne, A.; Cottam, D.; Dalby, D.; Gilmour, J.; Horton, J.; Roberts, E.; et al. The survival of Class V restorations in general dental practice. Part 2, early failure. Br. Dent. J. 2011, 210, E19. [Google Scholar] [CrossRef]
- Manhart, J.; Chen, H.; Hamm, G.; Hickel, R. Buonocore Memorial Lecture. Review of the clinical survival of direct and indirect restorations in posterior teeth of the permanent dentition. Oper. Dent. 2004, 29, 481–508. [Google Scholar]
- Palotie, U.; Eronen, A.K.; Vehkalahti, K.; Vehkalahti, M.M. Longevity of 2- and 3-surface restorations in posterior teeth of 25- to 30-year-olds attending Public Dental Service—A 13-year observation. J. Dent. 2017, 62, 13–17. [Google Scholar] [CrossRef] [Green Version]
- Vianna-de-Pinho, M.G.; Rego, G.F.; Vidal, M.L.; Alonso, R.C.B.; Schneider, L.F.J.; Cavalcante, L.M. Clinical time required and internal adaptation in cavities restored with Bulk-fill Composites. J. Contemp. Dent. Pract. 2017, 18, 1107–1111. [Google Scholar]
- Scolavino, S.; Paolone, G.; Orsini, G.; Devoto, W.; Putignano, A. The Simultaneous modeling technique: Closing gaps in posteriors. Int. J. Esthet. Dent. 2016, 11, 58–81. [Google Scholar] [PubMed]







Publisher’s Note: MDPI stays neutral with regard to jurisdictional claims in published maps and institutional affiliations. |
© 2022 by the authors. Licensee MDPI, Basel, Switzerland. This article is an open access article distributed under the terms and conditions of the Creative Commons Attribution (CC BY) license (https://creativecommons.org/licenses/by/4.0/).
Share and Cite
Brosh, T.; Davidovitch, M.; Berg, A.; Shenhav, A.; Pilo, R.; Matalon, S. Influence of Practitioner-Related Placement Variables on the Compressive Properties of Bulk-Fill Composite Resins—An In Vitro Clinical Simulation Study. Materials 2022, 15, 4305. https://doi.org/10.3390/ma15124305
Brosh T, Davidovitch M, Berg A, Shenhav A, Pilo R, Matalon S. Influence of Practitioner-Related Placement Variables on the Compressive Properties of Bulk-Fill Composite Resins—An In Vitro Clinical Simulation Study. Materials. 2022; 15(12):4305. https://doi.org/10.3390/ma15124305
Chicago/Turabian StyleBrosh, Tamar, Moshe Davidovitch, Avi Berg, Aviran Shenhav, Raphael Pilo, and Shlomo Matalon. 2022. "Influence of Practitioner-Related Placement Variables on the Compressive Properties of Bulk-Fill Composite Resins—An In Vitro Clinical Simulation Study" Materials 15, no. 12: 4305. https://doi.org/10.3390/ma15124305
APA StyleBrosh, T., Davidovitch, M., Berg, A., Shenhav, A., Pilo, R., & Matalon, S. (2022). Influence of Practitioner-Related Placement Variables on the Compressive Properties of Bulk-Fill Composite Resins—An In Vitro Clinical Simulation Study. Materials, 15(12), 4305. https://doi.org/10.3390/ma15124305

