Influence of Molybdenum on the Microstructure, Mechanical Properties and Corrosion Resistance of Ti20Ta20Nb20(ZrHf)20−xMox (Where: x = 0, 5, 10, 15, 20) High Entropy Alloys
Abstract
1. Introduction
2. Materials and Methods
3. Results and Discussion
3.1. Microstructure Analysis of Initial Powders Elements
3.2. XRD Phase Analysis of Studied High Entropy Alloys
3.3. SEM Microstructure Analysis of Studied High Entropy Alloys
3.4. TEM and STEM Microstructure Analysis of Studied High Entropy Alloys
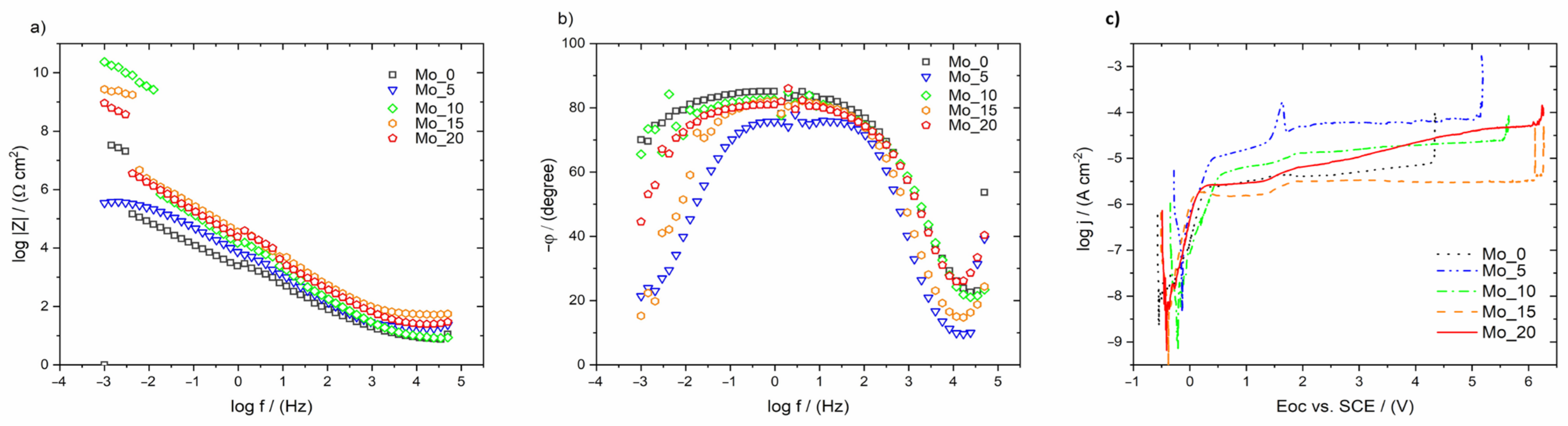
3.5. Corrosion Resistance Measurements of Studied High Entropy Alloys
3.6. Microhardness and Nanoindentation Measurements of Studied High Entropy Alloys
4. Conclusions
Author Contributions
Funding
Institutional Review Board Statement
Informed Consent Statement
Data Availability Statement
Acknowledgments
Conflicts of Interest
References
- Xia, C.; Kou, S. Calculating the Susceptibility of Carbon Steels to Solidification Cracking During Welding. Metall. Mater. Trans. B 2021, 52, 460–469. [Google Scholar] [CrossRef]
- Afikuzzaman, M.; Belova, I.V.; Murch, G.E. Novel Interdiffusion Analysis in Multicomponent Alloys—Part 1: Application to Ternary Alloys. Diffus. Found. 2021, 29, 161–177. [Google Scholar] [CrossRef]
- Zhang, Y. History of High-Entropy Materials. In High-Entropy Materials: A Brief Introduction; Springer: Singapore, 2019; pp. 1–33. ISBN 978-981-13-8526-1. [Google Scholar]
- Albrecht, R.; Zubko, M.; Gancarczyk, K.; Szeliga, D. High-Resolution Diffraction Imaging of Misorientation in Ni-Based Single Crystal Superalloys. In Proceedings of the 14th International Symposium on Superalloys—Superalloys 2020, Online, 13–17 September 2020; Tin, S., Hardy, M., Clews, J., Cormier, J., Feng, Q., Marcin, J., O’Brien, C., Suzuki, A., Eds.; Springer International Publishing: Cham, Switzerland, 2020; pp. 421–430. [Google Scholar]
- Cantor, B.; Chang, I.T.H.; Knight, P.; Vincent, A.J.B. Microstructural development in equiatomic multicomponent alloys. Mater. Sci. Eng. A 2004, 375, 213–218. [Google Scholar] [CrossRef]
- Yeh, J.-W. Overview of High-Entropy Alloys. In High-Entropy Alloys: Fundamentals and Applications; Gao, M.C., Yeh, J.-W., Liaw, P.K., Zhang, Y., Eds.; Springer International Publishing: Cham, Switzerland, 2016; pp. 1–19. ISBN 978-3-319-27013-5. [Google Scholar]
- Yeh, J.-W.; Chen, S.-K.; Lin, S.-J.; Gan, J.-Y.; Chin, T.-S.; Shun, T.-T.; Tsau, C.-H.; Chang, S.-Y. Nanostructured High-Entropy Alloys with Multiple Principal Elements: Novel Alloy Design Concepts and Outcomes. Adv. Eng. Mater. 2004, 6, 299–303. [Google Scholar] [CrossRef]
- Steurer, W. Single-phase high-entropy alloys—A critical update. Mater. Charact. 2020, 162, 110179. [Google Scholar] [CrossRef]
- Murty, B.S.; Yeh, J.W.; Ranganathan, S.; Bhattacharjee, P.P. 11-Structural properties. In High-Entropy Alloys, 2nd ed.; Murty, B.S., Yeh, J.W., Ranganathan, S., Bhattacharjee, P.P., Eds.; Elsevier: Cambridge, MA, USA, 2019; pp. 195–232. ISBN 978-0-12-816067-1. [Google Scholar]
- Han, C.; Fang, Q.; Shi, Y.; Tor, S.B.; Chua, C.K.; Zhou, K. Recent Advances on High-Entropy Alloys for 3D Printing. Adv. Mater. 2020, 32, 1903855. [Google Scholar] [CrossRef] [PubMed]
- Kuwabara, K.; Shiratori, H.; Fujieda, T.; Yamanaka, K.; Koizumi, Y.; Chiba, A. Mechanical and corrosion properties of AlCoCrFeNi high-entropy alloy fabricated with selective electron beam melting. Addit. Manuf. 2018, 23, 264–271. [Google Scholar] [CrossRef]
- Sarswat, P.K.; Sarkar, S.; Murali, A.; Huang, W.; Tan, W.; Free, M.L. Additive manufactured new hybrid high entropy alloys derived from the AlCoFeNiSmTiVZr system. Appl. Surf. Sci. 2019, 476, 242–258. [Google Scholar] [CrossRef]
- Zuo, T.; Yang, X.; Liaw, P.K.; Zhang, Y. Influence of Bridgman solidification on microstructures and magnetic behaviors of a non-equiatomic FeCoNiAlSi high-entropy alloy. Intermetallics 2015, 67, 171–176. [Google Scholar] [CrossRef]
- Liu, R.; Chen, H.; Zhao, K.; Qin, Y.; Jiang, B.; Zhang, T.; Sha, G.; Shi, X.; Uher, C.; Zhang, W.; et al. Entropy as a Gene-Like Performance Indicator Promoting Thermoelectric Materials. Adv. Mater. 2017, 29, 1702712. [Google Scholar] [CrossRef]
- Sheng, W.; Yang, X.; Wang, C.; Zhang, Y. Nano-crystallization of high-entropy amorphous NbTiAlSiWx Ny films prepared by magnetron sputtering. Entropy 2016, 18, 226. [Google Scholar] [CrossRef]
- Gludovatz, B.; Hohenwarter, A.; Catoor, D.; Chang, E.H.; George, E.P.; Ritchie, R.O. A fracture-resistant high-entropy alloy for cryogenic applications. Science 2014, 345, 1153–1158. [Google Scholar] [CrossRef]
- Kosorukova, T.A.; Gerstein, G.; Odnosum, V.V.; Koval, Y.N.; Maier, H.J.; Firstov, G.S. Microstructure formation in cast TiZrHfCoNiCu and CoNiCuAlGaIn high entropy shape memory alloys: A comparison. Materials 2019, 12, 4227. [Google Scholar] [CrossRef]
- Glowka, K.; Zubko, M.; Swiec, P.; Prusik, K.; Dercz, G.; Stróz, D. Microstructure analysis of equiatomic multi-component Ni20ti20ta20co20cu20 alloy. Arch. Metall. Mater. 2019, 64, 785–789. [Google Scholar] [CrossRef]
- Glowka, K.; Zubko, M.; Swiec, P.; Prusik, K.; Dercz, G.; Matyja, E.; Stróz, D. Microstructure of multi-component Ni35Ti35Ta10Co10Cu10 alloy. Arch. Metall. Mater. 2019, 64, 715–719. [Google Scholar] [CrossRef]
- Senkov, O.N.; Wilks, G.B.; Miracle, D.B.; Chuang, C.P.; Liaw, P.K. Refractory high-entropy alloys. Intermetallics 2010, 18, 1758–1765. [Google Scholar] [CrossRef]
- Xu, Z.Q.; Ma, Z.L.; Wang, M.; Chen, Y.W.; Tan, Y.D.; Cheng, X.W. Design of novel low-density refractory high entropy alloys for high-temperature applications. Mater. Sci. Eng. A 2019, 755, 318–322. [Google Scholar] [CrossRef]
- Cao, B.; Yang, T.; Liu, W.; Liu, C.T. Precipitation-hardened high-entropy alloys for high-temperature applications: A critical review. MRS Bull. 2019, 44, 854–859. [Google Scholar] [CrossRef]
- Reclaru, L.; Ardelean, L.C.; Grecu, A.F.; Miu, C.A. Multicomponent Alloys for Biomedical Applications. In Engineering Steels and High Entropy-Alloys; Sharma, A., Duriagina, Z., Kumar, S., Eds.; IntechOpen: Rijeka, Croatia, 2020. [Google Scholar]
- Biesiekierski, A.; Wang, J.; Abdel-Hady Gepreel, M.; Wen, C. A new look at biomedical Ti-based shape memory alloys. Acta Biomater. 2012, 8, 1661–1669. [Google Scholar] [CrossRef]
- Saini, M. Implant biomaterials: A comprehensive review. World J. Clin. Cases 2015, 3, 52–57. [Google Scholar] [CrossRef]
- Krawczyk, S.; Golba, S.; Słodek, A. Dosing system of n-octylphenothiazine derivative based on PEDOT. In The Book of Articles, National Scientific Conference “e-Factory of Science”, 4th ed.; Promovendi Foundation Publishing: Lodz, Poland, 2020; pp. 35–45. ISBN 978-83-957816-7-4. [Google Scholar]
- Eisenbarth, E.; Velten, D.; Müller, M.; Thull, R.; Breme, J. Biocompatibility of β-stabilizing elements of titanium alloys. Biomaterials 2004, 25, 5705–5713. [Google Scholar] [CrossRef] [PubMed]
- Dercz, G.; Matuła, I.; Maszybrocka, J. Properties of Porous Ti–26Nb–6Mo–1.5Sn Alloy Produced via Powder Metallurgy for Biomedical Applications. Phys. Met. Metallogr. 2019, 120, 1384–1391. [Google Scholar] [CrossRef]
- Dercz, G.; Matuła, I.; Maszybrocka, J.; Zubko, M.; Barczyk, J.; Pająk, L.; Stach, S. Effect of milling time and presence of Sn on the microstructure and porosity of sintered Ti-10Ta-8Mo and Ti-10Ta-8Mo-3Sn alloys. J. Alloys Compd. 2019, 791, 232–247. [Google Scholar] [CrossRef]
- Matuła, I.; Zubko, M.; Dercz, G. Role of Sn as a process control agent on mechanical alloying behavior of nanocrystalline titanium based powders. Materials 2020, 13, 2110. [Google Scholar] [CrossRef]
- Matsuno, H.; Yokoyama, A.; Watari, F.; Uo, M.; Kawasaki, T. Biocompatibility and osteogenesis of refractory metal implants, titanium, hafnium, niobium, tantalum and rhenium. Biomaterials 2001, 22, 1253–1262. [Google Scholar] [CrossRef]
- Mohammadi, S.; Esposito, M.; Cucu, M.; Ericson, L.E.; Thomsen, P. Tissue response to hafnium. J. Mater. Sci. Mater. Med. 2001, 12, 603–611. [Google Scholar] [CrossRef]
- Rituerto Sin, J.; Neville, A.; Emami, N. Corrosion and tribocorrosion of hafnium in simulated body fluids. J. Biomed. Mater. Res. Part B Appl. Biomater. 2014, 102, 1157–1164. [Google Scholar] [CrossRef]
- Wang, W.; Poh, C.K. Titanium Alloys in Orthopaedics. In Titanium Alloys; Sieniawski, J., Ziaja, W., Eds.; IntechOpen: Rijeka, Croatia, 2013. [Google Scholar]
- Soundararajan, S.R.; Vishnu, J.; Manivasagam, G.; Muktinutalapati, N.R. Processing of Beta Titanium Alloys for Aerospace and Biomedical Applications. In Titanium Alloys; Motyka, M., Ziaja, W., Sieniawsk, J., Eds.; IntechOpen: Rijeka, Croatia, 2019. [Google Scholar]
- Li, Y.H.; Yang, C.; Wang, F.; Zhao, H.D.; Qu, S.G.; Li, X.Q.; Zhang, W.W.; Li, Y.Y. Biomedical TiNbZrTaSi alloys designed by d-electron alloy design theory. Mater. Des. 2015, 85, 7–13. [Google Scholar] [CrossRef]
- Popescu, G.; Ghiban, B.; Popescu, C.A.; Rosu, L.; Truscǎ, R.; Carcea, I.; Soare, V.; Dumitrescu, D.; Constantin, I.; Olaru, M.T.; et al. New TiZrNbTaFe high entropy alloy used for medical applications. IOP Conf. Ser. Mater. Sci. Eng. 2018, 400, 022049. [Google Scholar] [CrossRef]
- Wang, S.P.; Xu, J. TiZrNbTaMo high-entropy alloy designed for orthopedic implants: As-cast microstructure and mechanical properties. Mater. Sci. Eng. C 2017, 73, 80–89. [Google Scholar] [CrossRef]
- Todai, M.; Nagase, T.; Hori, T.; Matsugaki, A.; Sekita, A.; Nakano, T. Novel TiNbTaZrMo high-entropy alloys for metallic biomaterials. Scr. Mater. 2017, 129, 65–68. [Google Scholar] [CrossRef]
- Hori, T.; Nagase, T.; Todai, M.; Matsugaki, A.; Nakano, T. Development of non-equiatomic Ti-Nb-Ta-Zr-Mo high-entropy alloys for metallic biomaterials. Scr. Mater. 2019, 172, 83–87. [Google Scholar] [CrossRef]
- Ishimoto, T.; Ozasa, R.; Nakano, K.; Weinmann, M.; Schnitter, C.; Stenzel, M.; Matsugaki, A.; Nagase, T.; Matsuzaka, T.; Todai, M.; et al. Development of TiNbTaZrMo bio-high entropy alloy (BioHEA) super-solid solution by selective laser melting, and its improved mechanical property and biocompatibility. Scr. Mater. 2021, 194, 113658. [Google Scholar] [CrossRef]
- Shittu, J.; Pole, M.; Cockerill, I.; Sadeghilaridjani, M.; Reddy, L.V.K.; Manivasagam, G.; Singh, H.; Grewal, H.S.; Arora, H.S.; Mukherjee, S. Biocompatible High Entropy Alloys with Excellent Degradation Resistance in a Simulated Physiological Environment. ACS Appl. Bio. Mater. 2020, 3, 8890–8900. [Google Scholar] [CrossRef]
- Yang, W.; Liu, Y.; Pang, S.; Liaw, P.K.; Zhang, T. Bio-corrosion behavior and in vitro biocompatibility of equimolar TiZrHfNbTa high-entropy alloy. Intermetallics 2020, 124, 106845. [Google Scholar] [CrossRef]
- Yuan, Y.; Wu, Y.; Yang, Z.; Liang, X.; Lei, Z.; Huang, H.; Wang, H.; Liu, X.; An, K.; Wu, W.; et al. Formation, structure and properties of biocompatible TiZrHfNbTa high-entropy alloys. Mater. Res. Lett. 2019, 7, 225–231. [Google Scholar] [CrossRef]
- Motallebzadeh, A.; Peighambardoust, N.S.; Sheikh, S.; Murakami, H.; Guo, S.; Canadinc, D. Microstructural, mechanical and electrochemical characterization of TiZrTaHfNb and Ti1.5ZrTa0.5Hf0.5Nb0.5 refractory high-entropy alloys for biomedical applications. Intermetallics 2019, 113, 106572. [Google Scholar] [CrossRef]
- Gurel, S.; Yagci, M.B.; Bal, B.; Canadinc, D. Corrosion behavior of novel Titanium-based high entropy alloys designed for medical implants. Mater. Chem. Phys. 2020, 254, 123377. [Google Scholar] [CrossRef]
- Tseng, K.K.; Juan, C.C.; Tso, S.; Chen, H.C.; Tsai, C.W.; Yeh, J.W. Effects of Mo, Nb, Ta, Ti, and Zr on mechanical properties of equiatomic Hf-Mo-Nb-Ta-Ti-Zr alloys. Entropy 2019, 21, 15. [Google Scholar] [CrossRef]
- Bhandari, U.; Mullamuri, B.; Thangaprakash, S. First-principles study on structural mechanical and thermodynamic properties of HfMoTaTiZr. J. Phys. Conf. Ser. 2020, 1706, 012148. [Google Scholar] [CrossRef]
- Chen, S.Y.; Tong, Y.; Tseng, K.K.; Yeh, J.W.; Poplawsky, J.D.; Wen, J.G.; Gao, M.C.; Kim, G.; Chen, W.; Ren, Y.; et al. Phase transformations of HfNbTaTiZr high-entropy alloy at intermediate temperatures. Scr. Mater. 2019, 158, 50–56. [Google Scholar] [CrossRef]
- Juan, C.C.; Tseng, K.K.; Hsu, W.L.; Tsai, M.H.; Tsai, C.W.; Lin, C.M.; Chen, S.K.; Lin, S.J.; Yeh, J.W. Solution strengthening of ductile refractory HfMoxNbTaTiZr high-entropy alloys. Mater. Lett. 2016, 175, 284–287. [Google Scholar] [CrossRef]
- Zhang, Y.; Zhou, Y.J.; Lin, J.P.; Chen, G.L.; Liaw, P.K. Solid-solution phase formation rules for multi-component alloys. Adv. Eng. Mater. 2008, 10, 534–538. [Google Scholar] [CrossRef]
- Nong, Z.-S.; Zhu, J.-C.; Cao, Y.; Yang, X.-W.; Lai, Z.-H.; Liu, Y. Stability and structure prediction of cubic phase in as cast high entropy alloys. Mater. Sci. Technol. 2014, 30, 363–369. [Google Scholar] [CrossRef]
- Guo, S.; Ng, C.; Lu, J.; Liu, C.T. Effect of valence electron concentration on stability of fcc or bcc phase in high entropy alloys. J. Appl. Phys. 2011, 109, 103505. [Google Scholar] [CrossRef]
- Yang, X.; Zhang, Y. Prediction of high-entropy stabilized solid-solution in multi-component alloys. Mater. Chem. Phys. 2012, 132, 233–238. [Google Scholar] [CrossRef]
- Glowka, K.; Zubko, M.; Świec, P.; Prusik, K.; Albrecht, R.; Dercz, G.; Loskot, J.; Witala, B.; Stróż, D. Microstructure and mechanical properties of Co-Cr-Mo-Si-Y-Zr high entropy alloy. Metals 2020, 10, 1456. [Google Scholar] [CrossRef]
- Guo, S.; Liu, C.T. Phase stability in high entropy alloys: Formation of solid-solution phase or amorphous phase. Prog. Nat. Sci. Mater. Int. 2011, 21, 433–446. [Google Scholar] [CrossRef]
- Akmal, M.; Hussain, A.; Afzal, M.; Lee, Y.I.; Ryu, H.J. Systematic Study of (MoTa)xNbTiZr Medium- and High-Entropy Alloys for Biomedical Implants- In Vivo Biocompatibility Examination. J. Mater. Sci. Technol. 2021, 78, 183–191. [Google Scholar] [CrossRef]
- Ni, S.; Zheng, T.; Liao, X.; Song, M. Phases in pure hafnium. Philos. Mag. Lett. 2014, 94, 370–376. [Google Scholar] [CrossRef]
- Rodríguez-Carvajal, J. Recent advances in magnetic structure determination by neutron powder diffraction. Phys. B Condens. Matter 1993, 192, 55–69. [Google Scholar] [CrossRef]
- Cahn, J.W. Critical point wetting. J. Chem. Phys. 1977, 66, 3667–3672. [Google Scholar] [CrossRef]
- Straumal, B.; Baretzky, B. Grain boundary phase transitions and their influence on properties of polycrystals. Interface Sci. 2004, 12, 147–155. [Google Scholar] [CrossRef]
- Straumal, B.B.; Korneva, A.; Kuzmin, A.; Lopez, G.A.; Rabkin, E.; Straumal, A.B.; Gerstein, G.; Gornakova, A.S. The grain boundary wetting phenomena in the ti-containing high-entropy alloys: A review. Metals 2021, 11, 1881. [Google Scholar] [CrossRef]
- Straumal, B.B.; Korneva, A.; Lopez, G.A.; Kuzmin, A.; Rabkin, E.; Gerstein, G.; Straumal, A.B.; Gornakova, A.S. Grain Boundary Wetting by a Second Solid Phase in the High Entropy Alloys: A Review. Materials 2021, 14, 7506. [Google Scholar] [CrossRef]
- Schmidt, A.M.; Azambuja, D.S. Corrosion behavior of ti and Ti6Al4V in citrate buffers containing fluoride ions. Mater. Res. 2010, 13, 45–50. [Google Scholar] [CrossRef][Green Version]
- Lasia, A. Electrochemical Impedance Spectroscopy and Its Applications; Springer: New York, NY, USA, 2014; ISBN 9781461489337. [Google Scholar]
- Handzlik, P.; Fitzner, K. Corrosion resistance of Ti and Ti-Pd alloy in phosphate buffered saline solutions with and without H2O2 addition. Trans. Nonferrous Met. Soc. China 2013, 23, 866–875. [Google Scholar] [CrossRef]
- Cai, Z.; Shafer, T.; Watanabe, I.; Nunn, M.E.; Okabe, T. Electrochemical characterization of cast titanium alloys. Biomaterials 2003, 24, 213–218. [Google Scholar] [CrossRef]
- Hryniewicz, T.; Rokosz, K. Corrosion resistance of magnetoelectropolished AISI 316L SS biomaterial. Anti-Corros. Methods Mater. 2014, 61, 57–64. [Google Scholar] [CrossRef]
- Szklarska, M.; Dercz, G.; Rak, J.; Simka, W.; Losiewicz, B. The influence of passivation type on corrosion resistance of Ti15Mo alloy in simulated body fluids. Arch. Metall. Mater. 2015, 60, 2687–2693. [Google Scholar] [CrossRef]
- Szklarska, M.; Łosiewicz, B.; Dercz, G.; Zubko, M.; Albrecht, R.; Stróz, D. Charac terization of long-term corros ion performance of ti15mo alloy in saline solution. Arch. Metall. Mater. 2019, 64, 773–778. [Google Scholar] [CrossRef]
- Godley, R.; Starosvetsky, D.; Gotman, I. Corrosion behavior of a low modulus β-Ti-45% Nb. J. Mater. Scince Med. 2006, 17, 63–67. [Google Scholar] [CrossRef]
- Hwang, M.J.; Choi, H.R.; Kook, M.S.; Song, H.J.; Park, Y.J. Investigation of passivation and galvanic corrosion of Ti-Nb alloys and pure titanium. Mater. Corros. 2015, 66, 783–789. [Google Scholar] [CrossRef]
- Samuel, S.; Nag, S.; Nasrazadani, S.; Ukirde, V.; El Bouanani, M.; Mohandas, A.; Nguyen, K.; Banerjee, R. Corrosion resistance and in vitro response of laser-deposited Ti-Nb-Zr-Ta alloys for orthopedic implant applications. J. Biomed. Mater. Res. Part A 2010, 94, 1251–1256. [Google Scholar] [CrossRef]
- Rondelli, G. Corrosion resistance tests on NiTi shape memory alloy. Biomaterials 1996, 17, 2003–2008. [Google Scholar] [CrossRef]
- Rosalbino, F.; MacCiò, D.; Scavino, G.; Saccone, A. In vitro corrosion behaviour of Ti-Nb-Sn shape memory alloys in Ringer’s physiological solution. J. Mater. Sci. Mater. Med. 2012, 23, 865–871. [Google Scholar] [CrossRef] [PubMed]
- Oliver, W.C.; Pharr, G.M. An improved technique for determining hardness and elastic modulus using load and displacement sensing indentation experiments. J. Mater. Res. 1992, 7, 1564–1583. [Google Scholar] [CrossRef]
- Fan, Z.; Swadener, J.G.; Rho, J.Y.; Roy, M.E.; Pharr, G.M. Anisotropic properties of human tibial cortical bone as measured by nanoindentation. J. Orthop. Res. 2002, 20, 806–810. [Google Scholar] [CrossRef]
- Zysset, P.K.; Guo, X.E.; Hoffler, C.E.; Moore, K.E.; Goldstein, S.A. Mechanical properties of human trabecular bone lamellae quantified by nanoindentation. Technol. Health Care 1998, 6, 429–432. [Google Scholar] [CrossRef]
- Hryniewicz, T.; Rokosz, K.; Valíček, J.; Rokicki, R. Effect of magnetoelectropolishing on nanohardness and Young’s modulus of titanium biomaterial. Mater. Lett. 2012, 83, 69–72. [Google Scholar] [CrossRef]
- Ataee, A.; Li, Y.; Wen, C. A comparative study on the nanoindentation behavior, wear resistance and in vitro biocompatibility of SLM manufactured CP–Ti and EBM manufactured Ti64 gyroid scaffolds. Acta Biomater. 2019, 97, 587–596. [Google Scholar] [CrossRef]
- Biesiekierski, A.; Lin, J.; Munir, K.; Ozan, S.; Li, Y.; Wen, C. An investigation of the mechanical and microstructural evolution of a TiNbZr alloy with varied ageing time. Sci. Rep. 2018, 8, 5737. [Google Scholar] [CrossRef] [PubMed]
- Uddin, M.J.; Ramirez-Cedillo, E.; Mirshams, R.A.; Siller, H.R. Nanoindentation and electron backscatter diffraction mapping in laser powder bed fusion of stainless steel 316L. Mater. Charact. 2021, 174, 111047. [Google Scholar] [CrossRef]
- Ruzic, J.; Emura, S.; Ji, X.; Watanabe, I. Mo segregation and distribution in Ti–Mo alloy investigated using nanoindentation. Mater. Sci. Eng. A 2018, 718, 48–55. [Google Scholar] [CrossRef]
- Ehtemam-Haghighi, S.; Cao, G.; Zhang, L.C. Nanoindentation study of mechanical properties of Ti based alloys with Fe and Ta additions. J. Alloys Compd. 2017, 692, 892–897. [Google Scholar] [CrossRef]
- Li, P.; Ma, X.; Tong, T.; Wang, Y. Microstructural and mechanical properties of β-type Ti–Mo–Nb biomedical alloys with low elastic modulus. J. Alloys Compd. 2020, 815, 152412. [Google Scholar] [CrossRef]
- Li, P.; Ma, X.; Wang, D.; Zhang, H. Microstructural and Mechanical Properties of β-Type Ti–Nb–Sn Biomedical Alloys with Low Elastic Modulus. Metals 2019, 9, 712. [Google Scholar] [CrossRef]
- Wang, S.P.; Xu, J. Incipient plasticity and activation volume of dislocation nucleation for TiZrNbTaMo high-entropy alloys characterized by nanoindentation. J. Mater. Sci. Technol. 2019, 35, 812–816. [Google Scholar] [CrossRef]
- Nguyen, V.T.; Qian, M.; Shi, Z.; Song, T.; Huang, L.; Zou, J. A novel quaternary equiatomic Ti-Zr-Nb-Ta medium entropy alloy (MEA). Intermetallics 2018, 101, 39–43. [Google Scholar] [CrossRef]
- Zýka, J.; Málek, J.; Veselý, J.; Lukáč, F.; Čížek, J.; Kuriplach, J.; Melikhova, O. Microstructure and room temperature mechanical properties of different 3 and 4 element medium entropy alloys from HfNbTaTiZr system. Entropy 2019, 21, 114. [Google Scholar] [CrossRef]







| Element | Crystal Structure | ri (Å) | VEC | χi (Pauling Units) | (Tm)i (°C) |
|---|---|---|---|---|---|
| Ti | HCP | 1.462 | 4 | 1.54 | 1660 |
| Ta | BCC | 1.430 | 5 | 1.50 | 3017 |
| Nb | BCC | 1.429 | 5 | 1.60 | 2468 |
| Zr | HCP | 1.603 | 4 | 1.33 | 1952 |
| Hf | HCP | 1.578 | 4 | 1.30 | 2233 |
| Mo | BCC | 1.363 | 6 | 2.16 | 2123 |
| Chemical Composition | Abbreviation | δ (%) | ΔHmix (kJ∙mol−1) | ΔSmix (J·(mol·K)−1) | Δχ (eV) | VEC | T(m) (°C) |
|---|---|---|---|---|---|---|---|
| Ti20Ta20Nb20(ZrHf)20 | Mo_0 | 4.99 | 2.72 | 13.38 | 0.118 | 4.40 | 2249 |
| Ti20Ta20Nb20(ZrHf)17,5Mo5 | Mo_5 | 5.21 | 1.49 | 14.35 | 0.190 | 4.50 | 2278 |
| Ti20Ta20Nb20(ZrHf)15Mo10 | Mo_10 | 5.31 | 0.36 | 14.68 | 0.234 | 4.60 | 2307 |
| Ti20Ta20Nb20(ZrHf)12,5Mo15 | Mo_15 | 5.30 | −0.67 | 14.72 | 0.264 | 4.70 | 2336 |
| Ti20Ta20Nb20(ZrHf)10Mo20 | Mo_20 | 5.17 | −1.60 | 14.53 | 0.285 | 4.80 | 2366 |
| Studied Alloy | Phase | Lattice Parameter a0 (Å) |
|---|---|---|
| Mo_0 | BCC | 3.4031 (1) |
| Mo_5 | BCC1 | 3.3946 (1) |
| BCC2 | 3.3960 (1) | |
| Mo_10 | BCC1 | 3.3309 (2) |
| BCC2 | 3.3522 (2) | |
| Mo_15 | BCC1 | 3.3122 (1) |
| BCC2 | 3.3246 (1) | |
| Mo_20 | BCC1 | 3.2782 (1) |
| BCC2 | 3.2916 (1) |
| Studied Alloy | Elements | Ti | Ta | Nb | Zr | Hf | Mo | T (m) (°C) |
|---|---|---|---|---|---|---|---|---|
| Mo_0 | Nominal | 20 | 20 | 20 | 20 | 20 | ― | ― |
| BCC1 | 34.4 (0) | 12.4 (2) | 24.9 (1) | 17.9 (2) | 10.3 (1) | ― | 2135 | |
| BCC2 | 33.7 (1) | 7.5 (2) | 22.7 (1) | 25.2 (2) | 10.9 (1) | ― | 2067 | |
| Mo_5 | Nominal | 20 | 20 | 20 | 17.5 | 17.5 | 5 | ― |
| BCC1 | 14.7 (1) | 23.2 (5) | 23.5 (1) | 16.6 (5) | 17.1 (1) | 4.9 (1) | 2361 | |
| BCC2 | 16.4 (2) | 17.4 (3) | 21.9 (1) | 21.1 (3) | 19.4 (4) | 3.8 (1) | 2278 | |
| Mo_10 | Nominal | 20 | 20 | 20 | 15 | 15 | 10 | ― |
| BCC1 | 28.2 (1) | 14.5 (1) | 25.3 (1) | 9.3 (1) | 6.9 (1) | 15.8 (1) | 2285 | |
| BCC2 | 33.8 (2) | 6.5 (4) | 21.3 (1) | 20.5 (4) | 8.9 (2) | 8.8 (2) | 2104 | |
| Mo_15 | Nominal | 20 | 20 | 20 | 12.5 | 12.5 | 15 | ― |
| BCC1 | 32.1 (12) | 19.0 (12) | 19.1 (1) | 7.3 (3) | 6.7 (4) | 15.8 (1) | 2294 | |
| BCC2 | 33.2 (12) | 12.0 (9) | 17.5 (1) | 14.6 (4) | 10.2 (5) | 12.6 (2) | 2190 | |
| Mo_20 | Nominal | 20 | 20 | 20 | 10 | 10 | 20 | ― |
| BCC1 | 13.5 (1) | 24.2 (3) | 23.4 (1) | 5.6 (2) | 7.1 (2) | 26.3 (1) | 2503 | |
| BCC2 | 20.0 (1) | 10.2 (4) | 19.0 (1) | 19.8 (6) | 15.5 (6) | 15.5 (3) | 2242 |
| Studied Alloy | EOC vs. SCE (V) | log |Z|f→0.01Hz (Ω∙cm2) | EBD vs. SCE (V) |
|---|---|---|---|
| Mo_0 | −0.423 | 4.93 | 4.33 |
| Mo_5 | −0.142 | 5.40 | 5.15 |
| Mo_10 | −0.195 | 5.84 | 5.57 |
| Mo_15 | −0.365 | 6.39 | ~6.11 |
| Mo_20 | −0.333 | 6.26 | ~6.18 |
| Studied Alloy | Microhardness HV 1 | Nanohardness (H) (GPa) | Reduced Young’s Modulus (Er) (GPa) |
|---|---|---|---|
| Mo_0 | 475 (12) | 140 (5) | 9 (1) |
| Mo_5 | 469 (12) | 130 (2) | 9 (1) |
| Mo_10 | 427 (9) | 121 (4) | 8 (1) |
| Mo_15 | 505 (16) | 156 (5) | 10 (1) |
| Mo_20 | 557 (18) | 154 (7) | 10 (1) |
| Chemical Composition | Nanohardness (H) (GPa) | Reduced Young’s Modulus (Er) (GPa) | References |
|---|---|---|---|
| Ti20Ta20Nb20(ZrHf)20 (Mo_0) | 9.00 | 140.00 | present work |
| Ti20Ta20Nb20(ZrHf)17,5Mo5 (Mo_5) | 9.00 | 130.00 | |
| Ti20Ta20Nb20(ZrHf)15Mo10 (Mo_10) | 8.00 | 121.00 | |
| Ti20Ta20Nb20(ZrHf)12,5Mo15 (Mo_15) | 10.00 | 156.00 | |
| Ti20Ta20Nb20(ZrHf)10Mo20 (Mo_20) | 10.00 | 154.00 | |
| Human’s tibial cortical bone Osteonic lamellae | - | 21.90 | [77] |
| Human’s tibial cortical bone Interstitial lamellae | - | 25.20 | |
| Human’s trabecular bone | - | 15.90 | [78] |
| cp Titanium Grade 2 mechanical/abrasive | 3.88 | 127.96 | [79] |
| cp Titanium Grade 2 electropolished | 2.31 | 68.56 | |
| cp Titanium Grade 2 after magnetoelectropolished | 1.47 | 26.93 | |
| cp Ti as cast | 3.10 | 125.00 | [80] |
| Ti64 gyroid | 5.35 | 134.52 | |
| cp Ti produced by selective laser melting | 3.61 | 122.00 | |
| cp Ti | 2.90 | 107.00 | [81] |
| 316 L stainless steel | 3.68 | 196.77 | [82] |
| 316 L stainless steel | 3.54 | 215.71 | [45] |
| TiMo (after cold rolling in rolling direction) | 5.29 | 127.00 | [83] |
| TiMo (after cold rolling in transverse direction) | 5.27 | 126.00 | |
| TiMo (without Mo segregation) | 4.94 | 115.00 | |
| Ti8Fe | 5.60 | 128.00 | [84] |
| Ti74Nb26 | 3.61 | 75.10 | [85] |
| Ti72Mo2Nb26 | 3.04 | 67.00 | |
| Ti70Mo4Nb26 | 2.84 | 63.60 | |
| Ti68Mo6Nb26 | 2.82 | 55.70 | |
| Ti66Mo8Nb26 | 3.22 | 54.50 | |
| TiNbZr as-cast | 3.80 | 72.00 | [81] |
| TiNbZr agened for 15 min | 4.40 | 69.00 | |
| TiNbZr agened for 1.5 h | 4.40 | 66.00 | |
| TiNbZr agened for 3 h | 4.40 | 74.00 | |
| TiNbZr agened for 6 h | 5.20 | 81.00 | |
| TiNbZr agened for 12 h | 5.70 | 96.00 | |
| TiNbZr agened for 24 h | 6.20 | 97.00 | |
| Ti85Nb10Sn5 | 3.40 | 80.00 | [86] |
| Ti82Nb13Sn5 | 2.90 | 75.00 | |
| Ti79Nb16Sn5 | 2.70 | 62.00 | |
| Ti75Nb20Sn5 | 2.60 | 61.00 | |
| Ti8Fe5Ta | 5.00 | 119.00 | [84] |
| Ti8Fe8Ta | 4.40 | 107.50 | |
| Ti9Fe9Ta | 3.69 | 99.00 | |
| Ti10Fe10Ta | 3.45 | 92.00 | |
| Ti6Al4V | 3.62 | 131.62 | [45] |
| Ti6Al4V | 6.50 | 127.90 | [87] |
| TiZrNbTa | ― | 132.00 | |
| TiZrNbTa | 4.60 | 116.00 | [88] |
| Ti1.5ZrTa0.5Hf0.5Nb0.5 | 3.33 | 98.68 | [45] |
| TiZrTaHfNb | 3.48 | 114.13 | |
| TiZrNbTaMo | ― | 168.00 | [87] |
| TiZrNbTaMo Dendritic | 6.40 | 161.00 | [38] |
| TiZrNbTaMo Interdendritic | 5.70 | 133.00 |
Publisher’s Note: MDPI stays neutral with regard to jurisdictional claims in published maps and institutional affiliations. |
© 2022 by the authors. Licensee MDPI, Basel, Switzerland. This article is an open access article distributed under the terms and conditions of the Creative Commons Attribution (CC BY) license (https://creativecommons.org/licenses/by/4.0/).
Share and Cite
Glowka, K.; Zubko, M.; Świec, P.; Prusik, K.; Szklarska, M.; Chrobak, D.; Lábár, J.L.; Stróż, D. Influence of Molybdenum on the Microstructure, Mechanical Properties and Corrosion Resistance of Ti20Ta20Nb20(ZrHf)20−xMox (Where: x = 0, 5, 10, 15, 20) High Entropy Alloys. Materials 2022, 15, 393. https://doi.org/10.3390/ma15010393
Glowka K, Zubko M, Świec P, Prusik K, Szklarska M, Chrobak D, Lábár JL, Stróż D. Influence of Molybdenum on the Microstructure, Mechanical Properties and Corrosion Resistance of Ti20Ta20Nb20(ZrHf)20−xMox (Where: x = 0, 5, 10, 15, 20) High Entropy Alloys. Materials. 2022; 15(1):393. https://doi.org/10.3390/ma15010393
Chicago/Turabian StyleGlowka, Karsten, Maciej Zubko, Paweł Świec, Krystian Prusik, Magdalena Szklarska, Dariusz Chrobak, János L. Lábár, and Danuta Stróż. 2022. "Influence of Molybdenum on the Microstructure, Mechanical Properties and Corrosion Resistance of Ti20Ta20Nb20(ZrHf)20−xMox (Where: x = 0, 5, 10, 15, 20) High Entropy Alloys" Materials 15, no. 1: 393. https://doi.org/10.3390/ma15010393
APA StyleGlowka, K., Zubko, M., Świec, P., Prusik, K., Szklarska, M., Chrobak, D., Lábár, J. L., & Stróż, D. (2022). Influence of Molybdenum on the Microstructure, Mechanical Properties and Corrosion Resistance of Ti20Ta20Nb20(ZrHf)20−xMox (Where: x = 0, 5, 10, 15, 20) High Entropy Alloys. Materials, 15(1), 393. https://doi.org/10.3390/ma15010393

