Materials AIILnInO4 with Ruddlesden-Popper Structure for Electrochemical Applications: Relationship between Ion (Oxygen-Ion, Proton) Conductivity, Water Uptake, and Structural Changes
Abstract
:1. Introduction
2. Structure of Layered Perovskite-Related Materials
2.1. Materials with K2NiF4-Type Structure
2.2. Materials with BaNdInO4-Type Structure
2.3. Materials with BaLaInO4-Type Structure
3. Water Intercalation into Structure of Layered Perovskites
- The possibility of increasing coordination number of the metals in the A-sublattice;
- The sufficient size of interlayer space for the localization of hydroxyl groups.
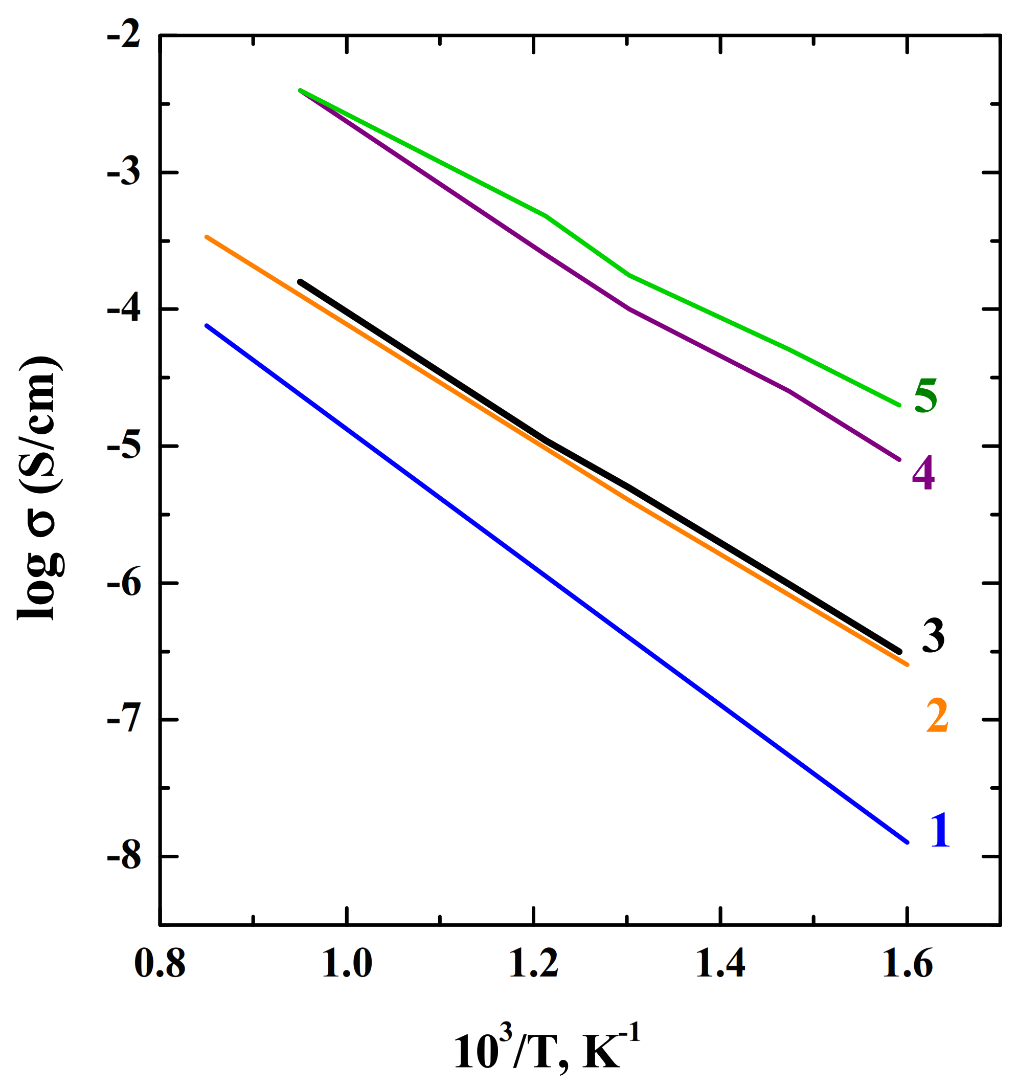
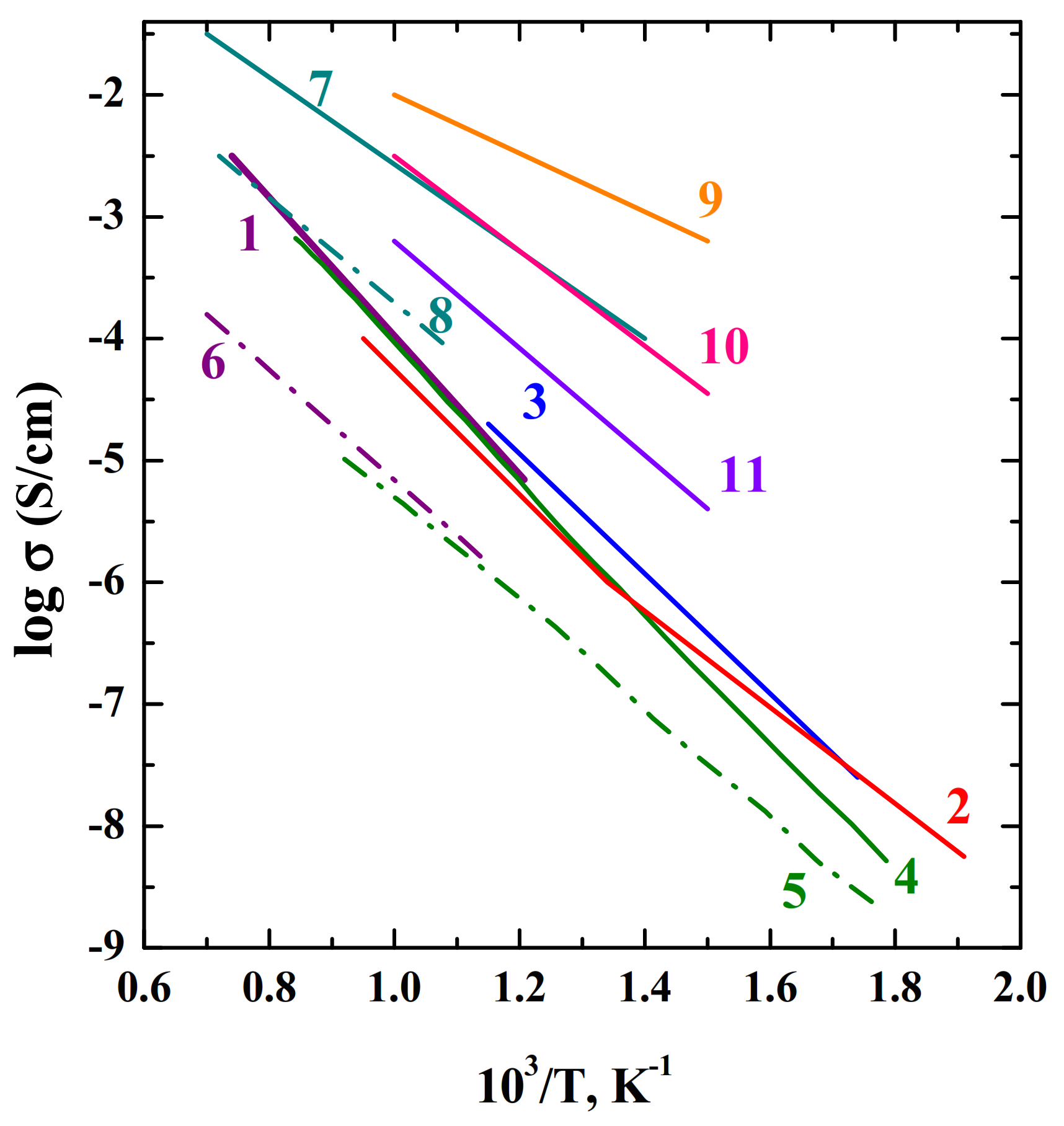
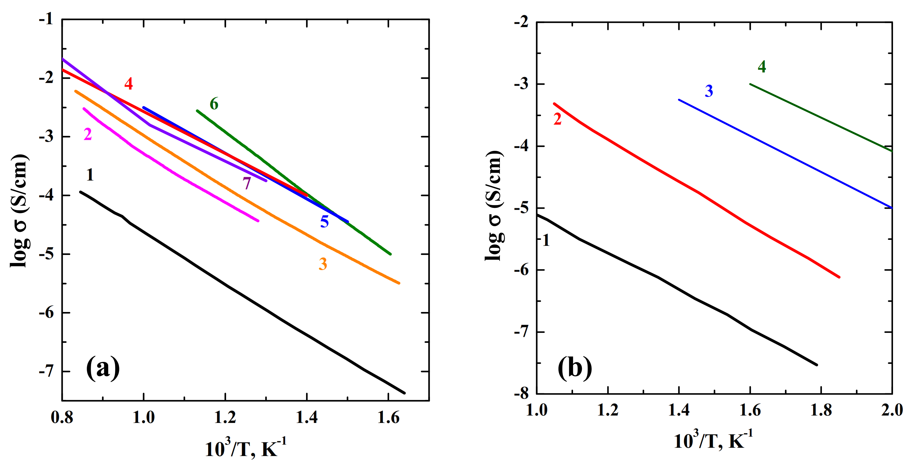
4. Oxygen-Ionic Conductivity in the Layered Perovskite-Related Materials
4.1. General Remark
4.2. Mechanisms of Oxygen Ion Migration in RP-Phases
- (i)
- The direct interstitial mechanism is associated with the migration of interstitial ions directly to the adjacent interstitial site.
- (ii)
- Interstitialcy mechanism includes such process: interstitial oxygen kicks the apical lattice oxygen atom out from the LaO-plane, placing it to the next nearest available interstitial site, while itself moving to site of the displaced apical oxygen on the LaO plane (push–pull mechanism). The facile transport of the interstitial oxygens is enabled by the cooperative titling of the BO6 octahedron. DFT calculations indicate that this process requires a lower activation energy than that of the direct interstitial mechanism [109].
- (iii)
- The vacancy mechanism of diffusion is due to oxygen jumping to a neighboring vacancy.
- (a)
- Oxygen vacancy migration between
- Equatorial-apical positions,
- Between equatorial positions,
- Between apical positions belonging to separate layers;
- (a)
- Oxygen interstitial migration—”wave-like” mechanism (2D path between apical and interstitial sites within the ab plane).
- −
- There is a high degree of anisotropy in the oxygen transport, interstitial diffusion in the rock-salt ab plane is at least an order of magnitude faster than along the c-direction;
- −
- Unusual feature of rp-materials is the existence of interstitials in both oxide and peroxide states, and both can take part in diffusion [112].
4.3. SrLaInO4-Based Materials
4.4. BaNdInO4-Based Materials
4.4.1. Effect of Substitutions on the A-Sites
- −
- Energetic of defect formation. The calculated solution energies of Ca2+ (0.76 eV), Sr2+ (0.84 eV), and Ba2+ (1.6 eV) on Nd3+ sites showed that Ba2+ was the most energy-unfavorable dopant [72].The authors of [72] indicated that the replacement of Nd3+ by the cations with the comparable size may reduce the local structural relaxation and this made it possible to explain the increase in the oxygen conductivity in the order Ba2+, Sr2+, Ca2+-dopants.
- −
- Binding energy of the dopant-vacancy cluster. It is well-known that minimal binding energy for the dopant-vacancy cluster promotes the O2−-conductivity. At the same time, the calculated binding energies for Ca-, Sr-, and Ba-doped NdBaInO4 were comparable ca. −0.9 eV, so, the trapping of the oxygen vacancies is not the main factor in understanding the change in conductivity upon doping.
- −
- Oxygen migration energy. The oxygen vacancy migration is two-dimensional within the perovskite-laere boundary region for the acceptor-doped NdBaInO4. Molecular dynamic simulations for the Ca-doped NdBaInO4 specified two major vacancy migration ways, respectively, via one intraslab way along the b-axis and one interslab way along the c-axis. As a result, the authors concluded [72] that the Ca2+ is optimal dopant for NdBaInO4 among Ca2+, Sr2+, and Ba2+-ions.
4.4.2. Effect of Substitutions on the B-Sites
4.5. BaLaInO4-Based Materials
4.5.1. Effect of Substitutions on the A-Sites
- −
- Increasing oxygen vacancies due to the M2+−additions (Ba2+, as an example) results in enhancement of oxygen-ion conductivity;
- −
- Oxygen migration in RP-phases is strongly dependent on the dopant concentrations, there is a narrow range of compositions for increasing conductivity x ≤ 0.10;
- −
- High concentrations of dopant (Ba2+ x ≥ 0.10) lead to interaction of the defects and decrease in the oxygen ion conductivity.
4.5.2. Effect of Substitutions on the B-Sites
4.6. BaGdInO4-Based Materials
Concluding Remarks
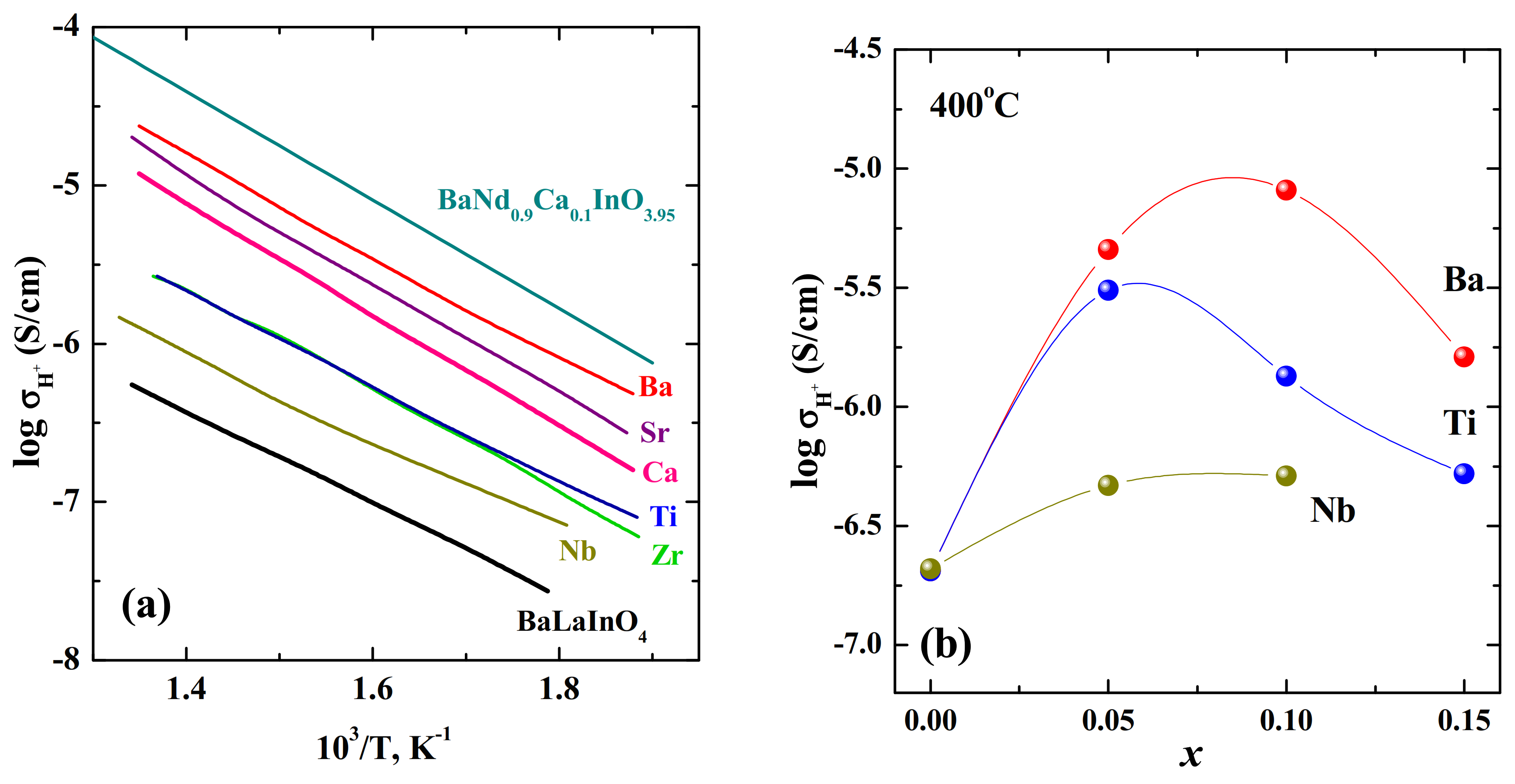
5. Protonic Conductivity in the Layered Perovskite-Related Materials
6. Conclusions and Outlook
Author Contributions
Funding
Institutional Review Board Statement
Informed Consent Statement
Conflicts of Interest
References
- Watts, N.; Amann, M.; Arnell, N.; Montgomery, H.; Costello, A. The 2020 report of The Lancet Countdown on health and climate change: Responding to converging crises. Lancet 2021, 397, 129–170. [Google Scholar] [CrossRef]
- Corvalan, C.; Prats, E.V.; Sena, A.; Varangu, L.; Vinci, S. Towards Climate Resilient and Environmentally Sustainable Health Care Facilities. Int. J. Environ. Res. Public Health 2020, 17, 8849. [Google Scholar] [CrossRef] [PubMed]
- Nejat Veziroglu, T. Conversion to hydrogen economy. Energy Procedia 2012, 29, 654–656. [Google Scholar] [CrossRef] [Green Version]
- Duan, C.; Huang, J.; Sullivan, N.; O’Hayre, R. Proton-conducting oxides for energy conversion and storage. Appl. Phys. Rev. 2020, 7, 011314. [Google Scholar] [CrossRef]
- Colomban, P. Proton conductors and their applications: A tentative historical overview of the early researches. Solid State Ion. 2019, 334, 125–144. [Google Scholar] [CrossRef]
- Medvedev, D. Trends in research and development of protonic ceramic electrolysis cells. Int. J. Hydrogen Energy 2019, 44, 26711–26740. [Google Scholar] [CrossRef]
- Shim, J.H. Ceramics breakthrough. Nat. Energy 2018, 3, 168–169. [Google Scholar] [CrossRef]
- Meng, Y.; Gao, J.; Zhao, Z.; Amoroso, J.; Tong, J.; Brinkman, K.S. Review: Recent progress in low-temperature proton-conducting ceramics. J. Mater. Sci. 2019, 54, 9291–9312. [Google Scholar] [CrossRef] [Green Version]
- Kim, J.; Sengodan, S.; Kim, S.; Kwon, O.; Bud, Y.; Kim, G. Proton conducting oxides: A review of materials and applications for renewable energy conversion and storage. Renew. Sustain. Energy Rev. 2019, 109, 606–618. [Google Scholar] [CrossRef]
- Zvonareva, I.; Fu, X.-Z.; Medvedev, D.; Shao, Z. Electrochemistry and energy conversion features of protonic ceramic cells with mixed ionic-electronic electrolytes. Energy Environ. Sci. 2021. [Google Scholar] [CrossRef]
- Medvedev, D.A. Current drawbacks of proton-conducting ceramic materials: How to overcome them for real electrochemical purposes. Curr. Opin. Green Sustain. Chem. 2021, 32, 100549. [Google Scholar] [CrossRef]
- von Balz, D.; Plieth, K. Die Struktur des Kaliumnickelfluorids, K2NiF4. Z. Für Elektrochem. 1955, 59, 545–551. [Google Scholar] [CrossRef]
- Ruddlesden, S.N.; Popper, P. New compounds of the K2NiF4 type. Acta Cryst. 1957, 10, 538–539. [Google Scholar] [CrossRef]
- Momma, K.; Izumi, F. VESTA 3 for three-dimensional visualization of crystal, volumetric and morphology data. J. Appl. Crystallogr. 2011, 44, 1272–1276. [Google Scholar] [CrossRef]
- Ruddlesden, S.N.; Popper, P. The compound Sr3Ti2O7 and its structure. Acta Cryst. 1958, 11, 54–55. [Google Scholar] [CrossRef] [Green Version]
- Wells, A.F. Structural Inorganic Chemistry; Oxford University Press: Oxford, UK, 1984; p. 602. [Google Scholar]
- Ganguly, P.; Rao, C.N.R. Crystal Chemistry and Magnetic Properties of Layered Metal Oxides Possessing the K2NiF4 or Related Structures. J. Solid State Chem. 1984, 53, 193–216. [Google Scholar] [CrossRef]
- Ganculi, D. Cationic radius ratio and formation of K2NiF4-type compounds. J. Solid State Chem. 1979, 30, 353–356. [Google Scholar] [CrossRef]
- Bednorz, J.G.; Müller, K.A. Possible high Tc superconductivity in the Ba-La-Cu-O system. Z. Phys. B—Condens. Matter 1986, 64, 189–193. [Google Scholar] [CrossRef]
- Hirayama, T.; Nakagawa, M.; Sumiyama, A.; Oda, Y. Superconducting properties in La2CuO4+δ with excess oxygen. Phys. Rev. B 1998, 58, 5856–5861. [Google Scholar] [CrossRef]
- Tholence, J.L. Superconductivity of La2CuO4 and YBa2Cu3O7. Phys. B+C 1987, 148, 353–356. [Google Scholar] [CrossRef]
- Suter, A.; Logvenov, G.; Boris, A.V.; Baiutti, F.; Wrobel, F.; Howald, L.; Stilp, E.; Salman, Z.; Prokscha, T.; Keimer, B. Super-conductivity drives magnetism in δ-doped La2CuO4. Phys. Rev. B 2018, 97, 134522. [Google Scholar] [CrossRef] [Green Version]
- Bates, F.E.; Eldridge, J.E. Normal modes of tetragonal La2NiO4 and La2CuO4, isomorphs of the hight Tc superconductor La2-xSrxCuO4. Solid State Commun. 1989, 72, 187–190. [Google Scholar] [CrossRef]
- Burns, G.; Dacol, F.H.; Kliche, G.; Konig, W.; Shafer, M.W. Raman and infrared studies of Sr2TiO4: A material isomorphic to (La,Sr)2CuO4 superconductors. Phys. Rev. B 1988, 37, 3381–3388. [Google Scholar] [CrossRef] [PubMed]
- Putilin, S.N.; Antipov, E.V.; Chmaissem, O.; Marezio, M. Superconductivity at 94 K in HgBa2CuO4+δ. Nature 1993, 362, 226–228. [Google Scholar] [CrossRef]
- Qiu, D.; Gong, C.; Wang, S.; Zhang, M.; Yang, C.; Wang, X.; Xiong, J. Recent Advances in 2D Superconductors. Adv. Mater. 2021, 33, 2006124. [Google Scholar] [CrossRef]
- Jin, S.; Tiefel, T.H.; McCormack, M.; Fastnacht, R.A.; Ramesh, R.; Chen, L.H. Thousandfold change in resistivity in magnetore-sistive La-Ca-Mn-O films. Science 1994, 264, 413–415. [Google Scholar] [CrossRef] [Green Version]
- Moritomo, Y.; Asamitsu, A.; Kuwahara, H.; Tokura, Y. Giant magnetoresistance of manganese oxides with a layered perovskite structure. Nature 1996, 380, 141–144. [Google Scholar] [CrossRef]
- Salamon, M.B.; Jaime, M. The physics of manganites: Structure and transport. Rev. Modern. Phys. 2001, 73, 583–628. [Google Scholar] [CrossRef]
- Mootabian, M.; Ghorbani, S.R.; Kompany, A.; Abrishami, M.E. Effect of Fe and Co doping on structural and electrical properties of La0.5Sr1.5MnO4 layered-structure and the corresponding La0.5Sr0.5MnO3 perovskite. J. Alloys Compd. 2021, 8685, 159185. [Google Scholar] [CrossRef]
- Pajaczkowska, A.; Gloubokov, A. Synthesis, growth and characterization of tetragonal ABCO4 crystals. Prog. Cryst. Growth Charact. Mater. 1998, 36, 123–162. [Google Scholar] [CrossRef]
- Liu, X.Q.; Chen, X.M.; Xiao, Y. Preparation and characterization of LaSrAlO4 microwave dielectric ceramics. Mater. Sci. Eng. B Solid-State Mater. Adv. 2003, 103, 276–280. [Google Scholar] [CrossRef]
- Mao, M.M.; Chen, X.M.; Liu, X.Q. Structure and microwave dielectric properties of solid solution in SrLaAlO4-Sr2TiO4 system. J. Am. Ceram. Soc. 2011, 94, 3948–3952. [Google Scholar] [CrossRef]
- Liu, B.; Li, L.; Liu, X.Q.; Chen, X.M. Structural evolution of SrLaAl1-x(Zn0.5Ti0.5)xO4 ceramics and effects on their microwave dielectric properties. J. Mater. Chem. C 2016, 4, 4684–4691. [Google Scholar] [CrossRef]
- Liu, X.; He, L.; Yu, M.; Zuo, R. Temperature-stable and ultralow-loss (1−x)CaSmAlO4–xSr2TiO4 microwave dielectric solid-solution ceramics. J. Mater. Sci. 2021, 56, 13190–13197. [Google Scholar] [CrossRef]
- Danielson, E.; Devenney, M.; Giaquinta, D.M.; Golden, J.H.; Haushalter, R.C.; McFarland, E.W.; Poojary, D.M.; Reaves, C.M.; Weinberg, W.H.; Wu, X.D. X-ray powder structure of Sr2CeO4: A new luminescent material discovered by combinatorial chemistry. J. Mol. Struct. 1998, 470, 229–235. [Google Scholar] [CrossRef]
- Li, J.; Li, X.; Hu, S.; Li, Y.; Hao, Y. Photoluminescence mechanisms of color-tunable Sr2CeO4:Eu3+, Dy3+ phosphors based on experimental and first-principles investigation. Opt. Mater. 2013, 35, 2309–2313. [Google Scholar] [CrossRef]
- Sahu, M.; Gupta, S.K.; Jain, D.; Saxena, M.K.; Kadam, R.M. Solid state speciation of uranium and its local structure in Sr2CeO4 using photoluminescence spectroscopy. Spectrochim. Acta A Mol. Biomol. Spectrosc. 2018, 195, 113–119. [Google Scholar] [CrossRef]
- Viesca-Villanueva, E.; Oliva, J.; Chavez, D.; Lopez-Badillo, C.M.; Gomez-Solis, C.; Mtz-Enriquez, A.I.; Garcia, C.R. Effect of Yb3+ codopant on the upconversion and thermoluminescent emission of Sr2CeO4:Er3+, Yb3+ phosphors. J. Phys. Chem. Solids 2020, 145, 109547. [Google Scholar] [CrossRef]
- Kharton, V.V.; Viskup, A.P.; Naumovkh, E.N.; Marques, F.M.B. Oxygen ion transport in La2NiO4-based ceramics. J. Mater. Chem. 1999, 9, 2623–2629. [Google Scholar] [CrossRef]
- Kharton, V.V.; Viskup, A.P.; Kovalevsky, A.V.; Naumovich, E.N.; Marques, F.M.B. Ionic transport in oxy-gen-hyperstoichiometric phases with K2NiF4-type structure. Solid State Ion. 2001, 143, 337–353. [Google Scholar] [CrossRef]
- Bassat, J.M.; Burriel, M.; Wahyudi, O.; Castaing, R.; Ceretti, M.; Veber, P.; Weill, I.; Villesuzanne, A.; Grenier, J.C.; Paulus, W. Anisotropic oxygen diffusion properties in Pr2NiO4+δ and Nd2NiO4+δ single crystals. J. Phys. Chem. C 2013, 117, 26466–26472. [Google Scholar] [CrossRef]
- Lee, D.; Grimaud, A.; Crumlin, E.J.; Mezghani, K.; Habib, M.A.; Feng, Z.X.; Hong, W.T.; Biegalski, M.D.; Christen, H.M.; Shao-Horn, Y. Strain influence on the oxygen electrocatalysis of the (100)-oriented epitaxial La2NiO4+δ thin films at elevated tem-peratures. J. Phys. Chem. C 2013, 117, 18789–18795. [Google Scholar] [CrossRef]
- Boehm, E.; Bassat, J.M.; Dordor, P.; Mauvy, F.; Grenier, J.C.; Stevens, P. Oxygen diffusion and transport properties in non-stoichiometric Ln2−xNiO4+δ oxides. Solid State Ion. 2005, 176, 2717–2725. [Google Scholar] [CrossRef]
- Ishihara, T.; Miyoshi, S.; Furuno, T.; Sanguanruang, O.; Matsumoto, H. Mixed conductivity and oxygen permeability of doped Pr2NiO4-based oxide. Solid State Ion. 2006, 177, 35–36, 3087–3091. [Google Scholar] [CrossRef]
- Tarutin, A.P.; Lyagaeva, J.G.; Farlenkov, A.S.; Vylkov, A.I.; Medvedev, D.M. Cu-substituted La2NiO4+δ as oxygen electrodes for protonic ceramic electrochemical cells. Ceram. Int. 2019, 45, 16105–16112. [Google Scholar] [CrossRef]
- Tarutin, A.P.; Lyagaeva, Y.G.; Vylkov, A.I.; Gorshkov, M.Y.; Vdovin, G.K.; Medvedev, D.A. Performance of Pr2(Ni,Cu)O4+δ elec-trodes in protonic ceramic electrochemical cells with unseparated and separated gas spaces. J. Mater. Sci. Technol. 2021, 93, 157–168. [Google Scholar] [CrossRef]
- Tarutin, A.; Lyagaeva, J.; Farlenkov, A.; Plaksin, S.; Vdovin, G.; Demin, A.; Medvedev, D. A Reversible Protonic Ceramic Cell with Symmetrically Designed Pr2NiO4+δ-Based Electrodes: Fabrication and Electrochemical Features. Materials 2019, 12, 118. [Google Scholar] [CrossRef] [Green Version]
- Tarutin, A.; Gorshkov, Y.; Bainov, A.; Vdovin, G.; Vylkov, A.; Lyagaeva, J.; Medvedev, D. Barium-doped nickelates Nd2−xBaxNiO4+δ as promising electrode materials for protonic ceramic electrochemical cells. Ceram. Int. 2020, 46, 24355–24364. [Google Scholar] [CrossRef]
- Tarutin, A.; Lyagaeva, J.; Medvedev, D.; Bi, L.; Yaremchenko, A. Recent advances in layered Ln2NiO4+δ nickelates: Fundamentals and prospects of their applications in protonic ceramic fuel and electrolysis cells. J. Mater. Chem. A 2021, 9, 154–195. [Google Scholar] [CrossRef]
- Rivas, J.; Rivas-Murias, B.; Fondado, A.; Mira, J.; Señarís-Rodríguez, M.A. Dielectric response of the charge-ordered two-dimensional nickelate La1.5Sr0.5NiO4. Appl. Phys. Lett. 2004, 85, 6224–6226. [Google Scholar] [CrossRef] [Green Version]
- Liu, X.Q.; Jia, B.W.; Yang, W.Z.; Cheng, J.P.; Chen, X.M. Dielectric relaxation andpolaronic hopping in Al-substituted Sm1.5Sr0.5NiO4 ceramics. J. Phys. D Appl. Phys. 2010, 43, 495402. [Google Scholar] [CrossRef]
- Jia, B.W.; Liu, X.Q.; Chen, X.M. Structure, magnetic and dielectric properties in Mn-substituted Sm1.5Sr0.5NiO4 ceramics. J. Appl. Phys. 2011, 110, 064110. [Google Scholar] [CrossRef]
- Liu, G.; Chen, T.T.; Wang, J.; Liu, X.Q.; Chen, X.M. Effect of excess oxygen oncrystal structures and dielectric responses of Nd2NiO4+δ ceramics. J. Alloys Compd. 2013, 579, 502–506. [Google Scholar] [CrossRef]
- Jiang, D.; Xia, Z.; Huang, S.; Yang, F.; Song, Y.; Deng, H.; Zhang, X.; Niu, H.; Zeng, Z.; Cheng, C. Dielectric response and magneto-electric interaction of La1.67Sr0.33NiO4 single crystal. J. Magn. Magn. Mater. 2020, 510, 166926. [Google Scholar] [CrossRef]
- Shimada, Y.; Miyasaka, S.; Kumai, R.; Tokura, Y. Semiconducting ferromagnetic states in La1-xSr1+xCoO4. Phys. Rev. B Condens. Matter. 2006, 73, 134424. [Google Scholar] [CrossRef]
- Chichev, A.V.; Dlouhá, M.; Vratislav, S.; Knížek, K.; Hejtmánek, J.; Maryško, M.; Veverka, M.; Jirák, Z.; Golosova, N.O.; Ko-zlenko, D.P.; et al. Structural, magnetic, and transport properties of the single-layered perovskites La2−xSrxCoO4 (x = 1.0–1.4). Phys. Rev. B Condens. Matter. 2006, 74, 134414. [Google Scholar] [CrossRef]
- Mukherjee, R.; Dan, S.; Mukherjee, S.; Ranganathan, R. Structural and magnetic properties of the layered perovskite system Sr2−xPrxCoO4 (x = 0.7, 0.9, 1.1). J. Phys. Chem. Solids 2021, 151, 109904. [Google Scholar] [CrossRef]
- Lee, K.H.; Kim, S.W.; Ohta, H.; Koumoto, K. Ruddlesden-Popper phases as thermoelectric oxides: Nb-doped SrO(SrTiO3)n (n = 1, 2). J. Appl. Phys. 2006, 100, 063717. [Google Scholar] [CrossRef]
- Wang, Y.; Wan, C.; Zhang, X.; Shen, L.; Koumoto, K.; Gupta, A.; Bao, N. Influence of excess SrO on the thermoelectric properties of heavily doped SrTiO3 ceramics. Appl. Phys. Lett. 2013, 102, 183905. [Google Scholar] [CrossRef]
- Putri, Y.E.; Said, S.M.; Refinel, R.; Ohtaki, M.; Syukri, S. Low Thermal Conductivity of RE-Doped SrO(SrTiO3)1 Ruddlesden Popper Phase Bulk Materials Prepared by Molten Salt Method. Electron. Mater. Lett. 2018, 14, 556–562. [Google Scholar] [CrossRef]
- Shi, X.-L.; Wu, H.; Liu, Q.; Zhou, W.; Lu, S.; Shao, Z.; Dargusch, M.; Chen, Z.-G. SrTiO3-based thermoelectrics: Progress and challenges. Nano Energy 2020, 78, 105195. [Google Scholar] [CrossRef]
- Jia, Y.; Shen, S.; Wang, D.; Wang, X.; Shi, J.; Zhang, F.; Han, H.; Li, C. Composite Sr2TiO4/SrTiO3(La,Cr) heterojunction based photocatalyst for hydrogen production under visible light irradiation. J. Mater. Chem. A 2013, 1, 7905–7912. [Google Scholar] [CrossRef]
- Zhang, H.; Ni, S.; Mi, Y.; Xu, X. Ruddlesden-Popper compound Sr2TiO4 co-doped with La and Fe for efficient photocatalytic hydrogen production. J. Catal. 2018, 359, 112–121. [Google Scholar] [CrossRef]
- Ziati, M.; Bekkioui, N.; Ez-Zahraouy, H. Ruddlesden-Popper compound Sr2TiO4 doped with chalcogens for optoelectronic ap-plications: Insights from first-principle calculations. Chem. Phys. 2021, 5481, 111221. [Google Scholar] [CrossRef]
- Kato, S.; Ogasawara, M.; Sugai, M.; Nakata, S. Synthesis and oxide ion conductivity of new layered perovskite La1−xSr1+xInO4−d. Solid State Ion. 2002, 149, 53–57. [Google Scholar] [CrossRef]
- Fujii, K.; Esaki, Y.; Omoto, K.; Yashima, M.; Hoshikawa, A.; Ishigaki, T.; Hester, J.R. New Perovskite-Related Structure Family of Oxide-Ion Conducting Materials NdBaInO4. Chem. Mater. 2014, 26, 2488–2491. [Google Scholar] [CrossRef]
- Fujii, K.; Shiraiwa, M.; Esaki, Y.; Yashima, M.; Kim, S.J.; Lee, S. Improved oxide-ion conductivity of NdBaInO4 by Sr doping. J. Mater. Chem. A 2015, 3, 11985. [Google Scholar] [CrossRef] [Green Version]
- Troncoso, L.; Alonso, J.A.; Aguadero, A. Low activation energies for interstitial oxygen conduction in the layered perovskites La1+xSr1−xInO4+d. J. Mater. Chem. A 2015, 3, 17797–17803. [Google Scholar] [CrossRef]
- Troncoso, L.; Alonso, J.A.; Fernández-Díaz, M.T.; Aguadero, A. Introduction of interstitial oxygen atoms in the layered perovskite LaSrIn1−xBxO4+δ system (B = Zr, Ti). Solid State Ion. 2015, 282, 82–87. [Google Scholar] [CrossRef]
- Ishihara, T.; Yan, Y.; Sakai, T.; Ida, S. Oxide ion conductivity in doped NdBaInO4. Solid State Ion. 2016, 288, 262–265. [Google Scholar] [CrossRef]
- Yang, X.; Liu, S.; Lu, F.; Xu, J.; Kuang, X. Acceptor Doping and Oxygen Vacancy Migration in Layered Perovskite NdBaInO4-Based Mixed Conductors. J. Phys. Chem. C 2016, 120, 6416–6426. [Google Scholar] [CrossRef]
- Fijii, K.; Yashima, M. Discovery and development of BaNdInO4—A brief review. J. Ceram. Soc. Jpn. 2018, 126, 852–859. [Google Scholar] [CrossRef] [Green Version]
- Troncoso, L.; Mariño, C.; Arce, M.D.; Alonso, J.A. Dual Oxygen Defects in Layered La1.2Sr0.8−xBaxInO4+d (x = 0.2, 0.3) Oxide-Ion Conductors: A Neutron Diffraction Study. Materials 2019, 12, 1624. [Google Scholar] [CrossRef] [PubMed] [Green Version]
- Tarasova, N.; Animitsa, I. Protonic transport in oxyfluorides Ba2InO3F and Ba3In2O5F2 with Ruddlesden–Popper structure. Solid State Ion. 2015, 275, 53–57. [Google Scholar] [CrossRef]
- Tarasova, N.; Animitsa, I.; Galisheva, A.; Korona, D. Incorporation and Conduction of Protons in Ca, Sr, Ba-Doped BaLaInO4 with Ruddlesden-Popper Structure. Materials 2019, 12, 1668. [Google Scholar] [CrossRef] [Green Version]
- Troncoso, L.; Arce, M.D.; Fernández-Díaz, M.T.; Mogni, L.V.; Alonso, J.A. Water insertion and combined interstitial-vacancy oxygen conduction in the layered perovskites La1.2Sr0.8−xBaxInO4+δ. New J. Chem. 2019, 43, 6087–6094. [Google Scholar] [CrossRef]
- Tarasova, N.; Animitsa, I.; Galisheva, A.; Pryakhina, V. Protonic transport in the new phases BaLaIn0.9M0.1O4.05 (M = Ti, Zr) with Ruddlesden-Popper structure. Solid State Sci. 2020, 101, 106121. [Google Scholar] [CrossRef]
- Tarasova, N.; Animitsa, I.; Galisheva, A. Electrical properties of new protonic conductors Ba1+xLa1−xInO4−0.5x with Ruddlesden-Popper structure. J. Solid State Electrochem. 2020, 24, 1497–1508. [Google Scholar] [CrossRef]
- Tarasova, N.; Galisheva, A.; Animitsa, I. Improvement of oxygen-ionic and protonic conductivity of BaLaInO4 through Ti doping. Ionics 2020, 26, 5075–5088. [Google Scholar] [CrossRef]
- Tarasova, N.; Galisheva, A.; Animitsa, I. Ba2+/Ti4+-co-doped layered perovskite BaLaInO4: The structure and ionic (O2−, H+) con-ductivity. Int. J. Hydrogen Energy 2021, 46, 16868–16877. [Google Scholar] [CrossRef]
- Zhou, Y.; Shiraiwa, M.; Nagao, M.; Fujii, K.; Tanaka, I.; Yashima, M.; Baque, L.; Basbus, J.F.; Mogni, L.V.; Skinner, S.J. Protonic Conduction in the BaNdInO4 Structure Achieved by Acceptor Doping. Chem. Mater. 2021, 33, 2139–2146. [Google Scholar] [CrossRef]
- Tarasova, N.A.; Galisheva, A.O.; Animitsa, I.E.; Lebedeva, E.L. Oxygen-Ion and Proton Transport in Sc-Doped Layered Perovskite BaLaInO4. Russ. J. Electrochem. 2021, 57, 1008–1014. [Google Scholar] [CrossRef]
- Tarasova, N.A.; Galisheva, A.O.; Animitsa, I.E.; Dmitrieva, A.A. The Effect of Donor Doping on the Ionic (O2−, H+) Transport in Novel Complex Oxides BaLaIn1−xNbxO4+x with the Ruddlesden–Popper Structure Russ. J. Electrochem. 2021, 57, 962–969. [Google Scholar] [CrossRef]
- Korona, D.V.; Obrubova, A.V.; Kozlyuk, A.O.; Animitsa, I.E. Hydration and Proton Transport in BaCaxLa1−xInO4−0.5x (x = 0.1 and 0.2) Phases with Layered Structure. Russ. J. Phys. Chem. A 2018, 92, 1727–1732. [Google Scholar] [CrossRef]
- Tyitov, Y.O.; Byilyavina, N.M.; Markyiv, V.Y.; Slobodyanik, M.S.; Krajevs’ka, Y.A. Synthesis and crystal structure of BaLaInO4 and SrLnInO4 (Ln−La, Pr). Dopov. Natsyional’noyi Akad. Nauk Ukrayini 2009, 10, 160–166. [Google Scholar]
- Shannon, R.D. Revised effective ionic radii and systematic studies of interatomic distances in halides and chalcogenides. Acta Cryst. 1976, A32, 751–767. [Google Scholar] [CrossRef]
- Tarasova, N.; Animitsa, I.; Galisheva, A. Effect of doping on the local structure of new block-layered proton conductors based on BaLaInO4. J. Raman Spec. 2020, 51, 2290–2297. [Google Scholar] [CrossRef]
- Tarasova, N.; Animitsa, I.; Galisheva, A. Spectroscopic and transport properties of Ba- and Ti-doped BaLaInO4. J. Raman Spec. 2021, 52, 980–987. [Google Scholar] [CrossRef]
- Shpanchenko, R.V.; Antipov, E.V.; Kovba, L.M. Ba2ZrO4 and its hydrates. Mater. Sci. Forum 1993, 133–136, 639–644. [Google Scholar] [CrossRef]
- Toda, K.; . Kameo, Y.; Kurito, S.; Sato, M. Intercalation of water in a layered perovskite compound, NaEuTiO4. Bull. Chem. Soc. Jpn. 1996, 69, 349–352. [Google Scholar] [CrossRef]
- Chen, D.; Jiao, X.; Xu, R. Hydrothernal synthesis and characterization of the layered titanates MLaTiO4 (M = Li, Na, K) Powders. Mater. Res. Bull. 1999, 34, 685–691. [Google Scholar] [CrossRef]
- Schaak, E.R.; Mallouk, T.E. KLnTiO4 (Ln = La, Nd, Sm, Eu, Gd, Dy): A New Series of Ruddlesden-Popper Phases Synthesized by Ion-Exchange of HLnTiO4. J. Solid State Chem. 2001, 161, 225–232. [Google Scholar] [CrossRef] [Green Version]
- Nishimoto, S.; Matsuda, M.; Miyake, M. Novel protonated and hydrated n = 1 Ruddlesden–Popper phases, HxNa1−xLaTiO4∙yH2O, formed by ion-exchange/intercalation reaction. J. Solid State Chem. 2005, 178, 811–818. [Google Scholar] [CrossRef]
- Nishimoto, S.; Matsuda, M.; Harjo, S.; Hoshikawa, A.; Kamiyama, T.; Ishigaki, T.; Miyake, M. Structural change in a series of pro-tonated layered perovskite compounds, HLnTiO4 (Ln = La, Nd and Y). J. Solid State Chem. 2006, 179, 1892–1897. [Google Scholar] [CrossRef]
- Zvereva, I.A.; Silyukov, O.I.; Chislov, M.V. Ion-Exchange Reactions in the Structure of Perovskite-like Layered Oxides: I. Proto-nation of NaNdTiO4 Complex Oxide. Russian. J. Solid State Chem. 2011, 81, 1434–1441. [Google Scholar] [CrossRef]
- Kochetova, N.; Animitsa, I.; Medvedev, D.; Demin, A.; Tsiakaras, P. Recent activity in the development of proton conducting oxides for high-temperature applications. RSC Adv. 2016, 6, 73222. [Google Scholar] [CrossRef]
- Tarasova, N.; Colomban, P.; Animitsa, I. The short-range structure and hydration process of fluorine-substituted double perovskites based on barium-calcium niobate Ba2CaNbO5.5. J. Phys. Chem. Solids 2018, 118, 32–39. [Google Scholar] [CrossRef]
- Tarasova, N.; Animitsa, I. Anionic doping (F−, Cl−) as the method for improving transport properties of proton-conducting perov-skites based on Ba2CaNbO5.5. Solid State Ion. 2018, 317, 21–25. [Google Scholar] [CrossRef]
- Tarasova, N.A.; Filinkova, Y.V.; Animitsa, I.E. Hydration and forms of oxygen-hydrogen groups in oxyfluorides Ba2−0.5xIn2O5−xFx. Russ. J. Phys. Chem. A 2002, 86, 1208–1211. [Google Scholar] [CrossRef]
- Tarasova, N.; Animitsa, I.; Galisheva, A. Effect of acceptor and donor doping on the state of protons in block-layered structures based on BaLaInO4. Solid State Comm. 2021, 323, 14093. [Google Scholar] [CrossRef]
- Turrillas, X.; Sellars, A.P.; Steele, B.C.H. Oxygen Ion Conductivity in Selected. Ceramic Oxide Materials. Solid State Ion. 1988, 465, 28–30. [Google Scholar] [CrossRef]
- Zhen, Y.S.; Goodenough, J. Oxygen-ion conductivity in Ba8In6O17. Mat. Res. Bull. 1990, 25, 785–790. [Google Scholar] [CrossRef]
- Poulsen, F.; der Puil, N. Phase relations and conductivity of Sr- and La-zirconates. Solid State Ion. 1992, 53–56, 777–783. [Google Scholar] [CrossRef]
- Navas, C.; Loye, H.C. Conductivity studies on oxygen-deficient Ruddlesden-Popper phases. Solid State Ion. 1997, 93, 171–176. [Google Scholar] [CrossRef]
- Lee, D.; Lee, N.H. Controlling Oxygen Mobility in Ruddlesden–Popper Oxides. Materials 2017, 10, 368. [Google Scholar] [CrossRef]
- Chroneos, A.; Yildiz, B.; Tarancón, A.; Parfitt, D.; Kilner, J.A. Oxygen diffusion in solid oxide fuel cell cathode and electrolyte ma-terials: Mechanistic insights from atomistic simulations. Energy Environ. Sci. 2011, 4, 2774–2789. [Google Scholar] [CrossRef]
- Chroneos, A.; Vovk, R.V.; Goulatis, I.L. Oxygen transport in perovskite and related oxides: A brief review. J. Alloys Compd. 2010, 494, 190–195. [Google Scholar] [CrossRef]
- Kushima, A.; Parfitt, D.; Chroneos, A.; Yildiz, B.; Kilnerband, J.A.; Grimes, R.W. Interstitialcy diffusion of oxygen in tetragonal La2CoO4+δ. Phys. Chem. Chem. Phys. 2011, 13, 2242–2249. [Google Scholar] [CrossRef] [Green Version]
- Ding, P.; Li, W.; Zhao, H.; Wu, C.; Zhao, L.; Dong, B.; Wang, S. Review on Ruddlesden–Popper perovskites as cathode for solid oxide fuel cells. J. Phys. Mater. 2021, 4, 022002. [Google Scholar] [CrossRef]
- Tealdi, C.; Ferrara, C.; Mustarelli, P.; Islam, M.S. Vacancy and interstitial oxide ion migration in heavily doped La2−xSrxCoO4±δ. J. Mater. Chem. 2012, 22, 8969–8975. [Google Scholar] [CrossRef] [Green Version]
- Xu, S.; Jacobs, R.; Morgan, D. Factors controlling oxygen interstitial diffusion in the Ruddlesden-Popper oxide La2−xSrxNiO4+δ. Chem. Mater. 2018, 30, 20, 7166–7177. [Google Scholar] [CrossRef]
- He, H.; Huang, X.; Chen, L. Sr-doped LaInO3 and its possible application in a single layer SOFC. Solid State Ion. 2000, 130, 183–193. [Google Scholar] [CrossRef]
- Kato, S.; Ogasawara, M.; Sugai, M.; Nakata, S. Crystal Structure and Oxide Ion Conductivity of the In-Containing K2NiF4-type Oxides. J. Ceram. Soc. Jpn. 2004, 112, S681–S684. [Google Scholar] [CrossRef]
- Yaguchi, H.; Fujii, K.; Yashima, M. New Structure Family of Oxide-ion Conductors Based on BaGdInO4. J. Mater. Chem. A 2020, 8, 8638–8647. [Google Scholar] [CrossRef]
- Grotthuss, C.J.T. Memoir on the decomposition of water and of the bodies that it holds in solution by means of galvanic electricity. Biochim. Biophys. Acta—Bioenerg. 2006, 1757, 871–875. [Google Scholar] [CrossRef] [Green Version]
- Li, X.; Shimada, H.; Ihara, M. Conductivity of New Electrolyte Material Pr1−xM1+xInO4 (M = Ba,Sr) with Related Perovskite Structure for Solid Oxide Fuel Cells. CS Trans. 2013, 50, 3–14. [Google Scholar] [CrossRef]
- Shiraiwa, M.; Kido, T.; Fujii, K.; Yashima, M. High-temperature proton conductors based on the (110) layered perovskite BaNdScO4. J. Mat. Chem. A 2021, 9, 8607. [Google Scholar] [CrossRef]
- Kreuer, K.D. Proton-conducting oxides. Annu Rev Mater Res. 2003, 33, 333–359. [Google Scholar] [CrossRef] [Green Version]
- Liu, J.; Ma, J.; Zhang, Z.; Qin, Y.; Wang, Y.-J.; Wang, Y.; Tan, R.; Duan, X.; Tian, T.Z.; Zhang, C.H.; et al. 2021 Roadmap: Electrocatalysts for green catalytic processes. J. Phys. Mater. 2021, 4, 022004. [Google Scholar] [CrossRef]
- Chen, G.; Feldhoff, A.; Weidenkaff, A.; Li, C.; Liu, S.; Zhu, X.; Sunarso, J.; Huang, K.; Wu, X.; Ghoniem, A.F.; et al. Roadmap on Sustainable Mixed Ionic-Electronic Conducting Membranes. Adv. Funct. Mater. 2021, 2105702. [Google Scholar] [CrossRef]
- Molenda, J.; Kupecki, J.; Baron, R.; Blesznowski, M.; Brus, G.; Brylewski, T.; Bucko, M.; Chmielowiec, J.; Ćwieka, K.; Gazda, M.; et al. Status report on high temperature fuel cells in Poland—Recent advances and achievements. Int. J. Hydrog. Energy 2017, 42, 4366–4403. [Google Scholar] [CrossRef]
- Irvine, J.; Rupp, J.L.M.; Liu, G.; Xu, X.; Haile, S.M.; Qian, X.; Snyder, A.; Freer, R.; Ekren, D.; Skinner, S.; et al. Roadmap on inorganic perovskites for energy applications. J. Phys. Energy 2021, 3, 031502. [Google Scholar] [CrossRef]



















| Samples with Main Phase with K2NiF4 Structure and Some Unidentifiable Impurity | Single-Phase Samples with Orthorhombic Structure (s.g. Pbca) | Samples with Main Phase with Rhombic Perovskite Structure and Some Unidentifiable Impurity |
|---|---|---|
| SrNdInO4 (1.545) SrSmInO4 (1.526) | BaLaInO4 (1.678) SrLaInO4 (1.578) SrPrInO4 (1.555) | CaLaInO4 (1.497) BaPrInO4 (1.655) BaNdInO4(1.645) |
| Composition | a, Å | Δ (A(1),A(2))O9 × 10−4 | Bond Length A(1),A(2)−O2 (Interlayer Space), Å | , Å | , Å | |
|---|---|---|---|---|---|---|
| BaLaInO4 | 1.678 | 12.933(3) | 154 | 2.341 | 1.47 | 1.216 |
| SrLaInO4 | 1.578 | 12.594(2) | 192 | 2.382 | 1.31 | 1.216 |
| SrPrInO4 | 1.555 | 12.474(4) | 249 | 2.323 | 1.31 | 1.179 |
| Composition | Values of Electrical Conductivity under Dry Air at 500 °C, S/cm | Ref. |
|---|---|---|
| SrLaInO4 | 4.1 × 10−6 | [70] |
| SrLaInO4 | 1.0 × 10−4 | [66] |
| SrLaIn0.8Zr0.2O4+d | 2.0 × 10−4 | [70] |
| Sr1.1La0.9InO3.95 | 1.5 × 10−5 | [66] |
| Sr1.2La0.8InO3.90 | 4.5 × 10−6 | [66] |
| BaNdInO4 | 1.4 × 10−7 | [73] |
| BaNdInO4 | 1.0 × 10−7 | [72] |
| BaNdInO4 | 6.2 × 10−5 | [82] |
| BaNdIn0.9Cr0.1O4 | 2.2 × 10−4 | [71] |
| BaNd0.9Sr0.1InO3.95 | 3.3 × 10−5 | [68] |
| BaNd0.9Ca0.1InO3.95 | 5.0 × 10−4 | [72] |
| BaNdIn0.9Mg0.1O4 | 3.5 × 10−6 | [71] |
| BaNdIn0.9Ti0.1O4 | 1.6 × 10−6 | [71] |
| BaGdInO4 | 6.3 × 10−8 | [72] |
| BaGd0.9Ca0.1InO3.95 | 2.0 × 10−4 | [115] |
| BaLaInO4 | 5.0 × 10−5 | [76] |
| Ba1.1La0.9InO3.95 | 2.5 × 10−5 | [74] |
| BaLa0.9Sr0.1InO3.95 | 1.3 × 10−5 | [74] |
| BaLa0.9Ca0.1InO3.95 | 7.9 × 10−6 | [74] |
| BaLaIn0.9Nb0.1O4.10 | 1.7 × 10−4 | [84] |
| BaLaIn0.9Ti0.1O4.05 | 1.0 × 10−4 | [81] |
| BaYInO4 | 1.7 × 10−3 | [72] |
| BaErInO4 | 2.2 × 10−4 | [72] |
Publisher’s Note: MDPI stays neutral with regard to jurisdictional claims in published maps and institutional affiliations. |
© 2021 by the authors. Licensee MDPI, Basel, Switzerland. This article is an open access article distributed under the terms and conditions of the Creative Commons Attribution (CC BY) license (https://creativecommons.org/licenses/by/4.0/).
Share and Cite
Tarasova, N.; Animitsa, I. Materials AIILnInO4 with Ruddlesden-Popper Structure for Electrochemical Applications: Relationship between Ion (Oxygen-Ion, Proton) Conductivity, Water Uptake, and Structural Changes. Materials 2022, 15, 114. https://doi.org/10.3390/ma15010114
Tarasova N, Animitsa I. Materials AIILnInO4 with Ruddlesden-Popper Structure for Electrochemical Applications: Relationship between Ion (Oxygen-Ion, Proton) Conductivity, Water Uptake, and Structural Changes. Materials. 2022; 15(1):114. https://doi.org/10.3390/ma15010114
Chicago/Turabian StyleTarasova, Nataliia, and Irina Animitsa. 2022. "Materials AIILnInO4 with Ruddlesden-Popper Structure for Electrochemical Applications: Relationship between Ion (Oxygen-Ion, Proton) Conductivity, Water Uptake, and Structural Changes" Materials 15, no. 1: 114. https://doi.org/10.3390/ma15010114
APA StyleTarasova, N., & Animitsa, I. (2022). Materials AIILnInO4 with Ruddlesden-Popper Structure for Electrochemical Applications: Relationship between Ion (Oxygen-Ion, Proton) Conductivity, Water Uptake, and Structural Changes. Materials, 15(1), 114. https://doi.org/10.3390/ma15010114

