Study on the Impact-Induced Energy Release Characteristics of Zr68.5Cu12Ni12Al7.5 Amorphous Alloy
Abstract
:1. Introduction
2. Theoretical Model for Impact-Induced Temperature Rise
3. Reaction Kinetic Model and Calculation of the Reaction Degree
4. Energy Release Experiment and Calculation of the Parameters for Impact-Induced Reaction
4.1. Energy Release Experiment
4.2. Calculation of Impact-Induced Reaction Parameters
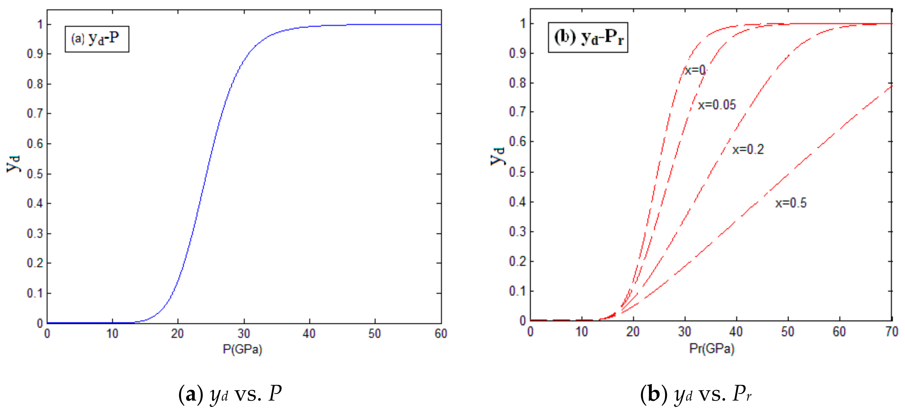
5. Modification of the Parameter for Reaction Kinetic Model
6. Discussion
7. Conclusions
- (1)
- The impact-induced temperature rising model and reaction kinetic model for solid materials were derived based on three-term equation of state and Avrami–Erofeev equation. The relationship between the degree of reaction, pressure, and temperature of Zr68.5Cu12Ni12Al7.5 amorphous alloy was obtained. The results show that the participation of oxidation reaction has a significant effect on the energy release efficiency of the materials.
- (2)
- The relationship between the energy release efficiency and impact velocity of the Zr68.5Cu12Ni12Al7.5 amorphous alloy fragment was obtained by an impact-induced energy release experiment. The results show that the chemical reaction starts when the impact velocity of fragments reaches about 600 m/s in the air environment. When the impact velocity of fragments exceeds 1411 m/s, the energy release efficiency tends to be stable, and its maximum value is 0.142.
- (3)
- It is concluded that the impact reaction of Zr68.5Cu12Ni12Al7.5 amorphous alloy is affected by both temperature and pressure through the impact energy release tests. The kinetic model for the impact reaction of materials was modified by the experimental data. The kinetic parameters of impact reactions in an air environment were obtained. The activation energy Ea = 80 KJ/mol; the order of reaction (i.e., n) is 1.1; the degree of participation in oxidation reaction (i.e., x) is 0.135; the temperature threshold Tcr of material reaction is 618K; and the pressure threshold Pcr of material reaction is 8.1GPa.
Author Contributions
Funding
Institutional Review Board Statement
Informed Consent Statement
Data Availability Statement
Conflicts of Interest
References
- Montgomery, H.E., Jr. Reactive Fragment. US Patent 3961576, 8 June 1976. [Google Scholar]
- Lee, R.J.; Mock, W., Jr.; Carney, J.R. Reactive materials studies. Am. Inst. Phys. 2006, 845, 169–174. [Google Scholar]
- Raftenberg, M.N.; Mock, W., Jr.; Kirby, G.C. Modeling the impact deformation of rods of a pressed PTFE/Al composite mixture. Int. J. Impact Eng. 2008, 35, 1735–1744. [Google Scholar] [CrossRef]
- Mock, W., Jr.; Holt, W.H. Impact initiation of rods of pressed Polytetrafluoroethylene (PTFE) and Aluminum powders, shock compression condens matter. AIP Conf. Proc. 2006, 845, 1097–1100. [Google Scholar]
- Guo, J.; Zhang, Q.M.; Zhang, L.S. Reaction behavior of Polytetrafluoroethylene/al granular composites subjected to planar shock wave, propellants explosives pyrotechnics. Propellants Explos. Pyrotech. 2017, 42, 300–307. [Google Scholar] [CrossRef]
- Wang, H.F.; Zheng, Y.F.; Yu, Q.B. Impact-induced initiation and energy release behavior of reactive materials. J. Appl. Phys. 2011, 110, 74904. [Google Scholar]
- Zhang, X.F.; Shi, A.S.; Qiao, L. Experimental study on impact-initiated characters of multifunctional energetic structural materials. J. Appl. Phys. 2013, 113, 083508. [Google Scholar] [CrossRef]
- Zhang, X.F.; Shi, A.S.; Zhang, J. Thermochemical modeling of temperature controlled shock-induced chemical reactions in multifunctional energetic structural materials under shock compression. J. Appl. Phys. 2012, 111, 123501. [Google Scholar] [CrossRef]
- Xiong, W.; Zhang, X.F.; Wu, Y. Influence of additives on microstructures, mechanical properties and shock-induced Reaction characteristics of Al/Ni composites. J. Alloys Compd. 2015, 648, 540–549. [Google Scholar] [CrossRef]
- Xiong, W.; Zhang, X.F.; Tan, M.T. The Energy Release Characteristics of Shock-induced Chemical Reaction of Al/Ni composites. J. Phys. Chem. C 2016, 120, 24551–24559. [Google Scholar] [CrossRef]
- Tang, W.H.; Zhang, R.Q. Introduction to Theory and Computation of Equations of State, 2nd ed.; Higher Education Press: Beijing, China, 2008. [Google Scholar]
- Tang, W.H. A method of estimating the density of solids under zero temperature and zero pressure. J. Natl. Univ. Def. Technol. 1996, 18, 87–91. [Google Scholar]
- Zhang, X.F.; Qiao, L.; Shi, A.S. A cold energy mixture theory for the equation of state in solid and porous metal mixtures. J. Appl. Phys. 2011, 110, 3517. [Google Scholar] [CrossRef]
- Wang, H.; Pring, A.; Ngothai, Y. A low-temperature kinetic study of the exsolution of pentlandite from the monosulfide solid solution using a refined avrami method. Geochim. Cosmochim. Acta 2005, 69, 415–425. [Google Scholar] [CrossRef]
- Avrami, M. Kinetics of phase change. J. Chem. Phys. 1939, 7, 1103–1112. [Google Scholar] [CrossRef]
- Ortega, A.; Maqueda, L.P.; Criado, J.M. The problem of discerning Avrami-Erofeev kinetic models from the new controlled Rate thermal analysis with constant acceleration of the transformation. Thermochim. Acta 1995, 254, 147–152. [Google Scholar] [CrossRef]
- McQueen, R.G.; Marsh, S.P.; Taylor, J.W. Chapter VII-The Equation of State of Solids from Shock Wave Studies. In High-Velocity Impact Phenomena; Academic Press: Cambridge, MA, USA, 1970; pp. 293–417. [Google Scholar]
- Bennett, L.; Horie, Y. Shock-induced inorganic reactions and condensed phase detonations. Shock Waves 1994, 4, 127–136. [Google Scholar] [CrossRef]
- Liang, Y.J.; Che, M.C. Inorganics Thermodynamic Data Manual; Northeast University Press: Lebanon, NH, USA, 1993. [Google Scholar]
- Ames, R.G. Reaction efficiencies for impact-initiated energetic materials. In Proceedings of the 32nd International Pyrotechnics Seminar, Karlsruhe, Germany, 28 June–1 July 2005. [Google Scholar]
- Lynch, D.; Kunkel, R.; Juarascio, S. An Analysis Comparison Using the Vulnerability Analysis for Surface Targets (VAST) Computer Code and the Computation of Vulnerable Area and Repair Time (COVART III) Computer Code; Storming Media: Norwalk, CT, USA, 1997; p. 70. [Google Scholar]
- Bennett, L.; Horie, Y.; Hwang, M. Constitutive model of shock-induced chemical reactions in inorganic powder mixtures. J. Appl. Phys. 1994, 76, 3394–3402. [Google Scholar] [CrossRef]










| ρ0 (g/cm3) | α0 (10−6/K) | CV (J/g·K) | C0 (km/s) | Q (GPa) | q | n | |
|---|---|---|---|---|---|---|---|
| 6.20 | 7.89 | 0.31 | 1.21 | 3.96 | 84.01 | 5.81 | 0.35 |
| No. | m (g) | v (m/s) | vs (m/s) | ΔPm (MPa) | ΔQ (kJ) | Ek (kJ) | ye |
|---|---|---|---|---|---|---|---|
| 1 | 2.79 | 391 | 320 | 0 | 0 | 0.15 | 0 |
| 2 | 2.77 | 453 | 382 | 0 | 0 | 0.22 | 0 |
| 3 | 2.79 | 564 | 493 | 0.004 | 0.27 | 0.36 | 0 |
| 4 | 2.77 | 602 | 530 | 0.004 | 0.27 | 0.42 | 0 |
| 5 | 2.81 | 696 | 624 | 0.009 | 0.61 | 0.58 | 0.001 |
| 6 | 2.8 | 759 | 687 | 0.014 | 0.95 | 0.70 | 0.009 |
| 7 | 2.78 | 780 | 708 | 0.017 | 1.15 | 0.74 | 0.015 |
| 8 | 2.76 | 884 | 812 | 0.024 | 1.62 | 0.98 | 0.023 |
| 9 | 2.8 | 974 | 902 | 0.036 | 2.43 | 1.21 | 0.044 |
| 10 | 2.74 | 1089 | 1017 | 0.056 | 3.78 | 1.53 | 0.080 |
| 11 | 2.8 | 1196 | 1124 | 0.070 | 4.73 | 1.87 | 0.102 |
| 12 | 2.76 | 1265 | 1192 | 0.084 | 5.67 | 2.11 | 0.128 |
| 13 | 2.8 | 1303 | 1230 | 0.088 | 5.94 | 2.25 | 0.132 |
| 14 | 2.77 | 1327 | 1254 | 0.090 | 6.08 | 2.33 | 0.134 |
| 15 | 2.78 | 1391 | 1318 | 0.092 | 6.21 | 2.58 | 0.130 |
| 16 | 2.79 | 1435 | 1362 | 0.093 | 6.28 | 2.75 | 0.126 |
| 17 | 2.77 | 1484 | 1411 | 0.100 | 6.75 | 2.95 | 0.136 |
| 18 | 2.73 | 1543 | 1470 | 0.104 | 7.02 | 3.21 | 0.136 |
| ρ01 (g/cm3) | C01 (km/s) | S1 | ρ02 (g/cm3) | C02 (km/s) | S2 |
|---|---|---|---|---|---|
| 6.2 | 3.960 | 1.096 | 7.870 | 4.592 | 1.395 |
| No. | vs (m/s) | P (GPa) | UP1 (m/s) | T (K) |
|---|---|---|---|---|
| 1 | 320 | 4.9 | 172 | 487 |
| 2 | 382 | 5.8 | 203 | 523 |
| 3 | 493 | 7.4 | 256 | 586 |
| 4 | 530 | 8.0 | 274 | 614 |
| 5 | 624 | 9.3 | 317 | 665 |
| 6 | 687 | 10.2 | 344 | 704 |
| 7 | 708 | 10.5 | 353 | 716 |
| 8 | 812 | 11.9 | 397 | 773 |
| 9 | 902 | 13.1 | 433 | 823 |
| 10 | 1017 | 14.5 | 476 | 881 |
| 11 | 1124 | 15.9 | 515 | 939 |
| 12 | 1192 | 16.7 | 539 | 971 |
| 13 | 1230 | 17.2 | 552 | 992 |
| 14 | 1254 | 17.4 | 559 | 1000 |
| 15 | 1318 | 18.2 | 580 | 1033 |
| 16 | 1362 | 18.7 | 594 | 1054 |
| 17 | 1411 | 19.2 | 609 | 1075 |
| 18 | 1470 | 19.8 | 626 | 1099 |
| No. | 1 | 2 | 3 | 4 | 5 | 6 | 7 | 8 | 9 |
| ye | 0 | 0 | 0 | 0 | 0.001 | 0.009 | 0.015 | 0.023 | 0.044 |
| yd | 0 | 0 | 0 | 0 | 0.007 | 0.063 | 0.106 | 0.162 | 0.310 |
| No. | 10 | 11 | 12 | 13 | 14 | 15 | 16 | 17 | 18 |
| ye | 0.080 | 0.102 | 0.128 | 0.132 | 0.134 | 0.130 | 0.126 | 0.136 | 0.136 |
| yd | 0.563 | 0.718 | 0.901 | 0.930 | 0.944 | 0.915 | 0.887 | 0.958 | 0.958 |
Publisher’s Note: MDPI stays neutral with regard to jurisdictional claims in published maps and institutional affiliations. |
© 2021 by the authors. Licensee MDPI, Basel, Switzerland. This article is an open access article distributed under the terms and conditions of the Creative Commons Attribution (CC BY) license (http://creativecommons.org/licenses/by/4.0/).
Share and Cite
Tu, J.; Qiao, L.; Shan, Y.; Xin, C.; Liu, J. Study on the Impact-Induced Energy Release Characteristics of Zr68.5Cu12Ni12Al7.5 Amorphous Alloy. Materials 2021, 14, 1447. https://doi.org/10.3390/ma14061447
Tu J, Qiao L, Shan Y, Xin C, Liu J. Study on the Impact-Induced Energy Release Characteristics of Zr68.5Cu12Ni12Al7.5 Amorphous Alloy. Materials. 2021; 14(6):1447. https://doi.org/10.3390/ma14061447
Chicago/Turabian StyleTu, Jian, Liang Qiao, Yu Shan, Chunliang Xin, and Jiayun Liu. 2021. "Study on the Impact-Induced Energy Release Characteristics of Zr68.5Cu12Ni12Al7.5 Amorphous Alloy" Materials 14, no. 6: 1447. https://doi.org/10.3390/ma14061447
APA StyleTu, J., Qiao, L., Shan, Y., Xin, C., & Liu, J. (2021). Study on the Impact-Induced Energy Release Characteristics of Zr68.5Cu12Ni12Al7.5 Amorphous Alloy. Materials, 14(6), 1447. https://doi.org/10.3390/ma14061447

