Influence of Nano-SiO2 on the Mechanical Properties of Recycled Aggregate Concrete with and without Polyvinyl Alcohol (PVA) Fiber
Abstract
1. Introduction
2. Materials and Methods
2.1. Test Raw Materials
2.2. Experiment Mixture Proportions
2.3. Test Methods
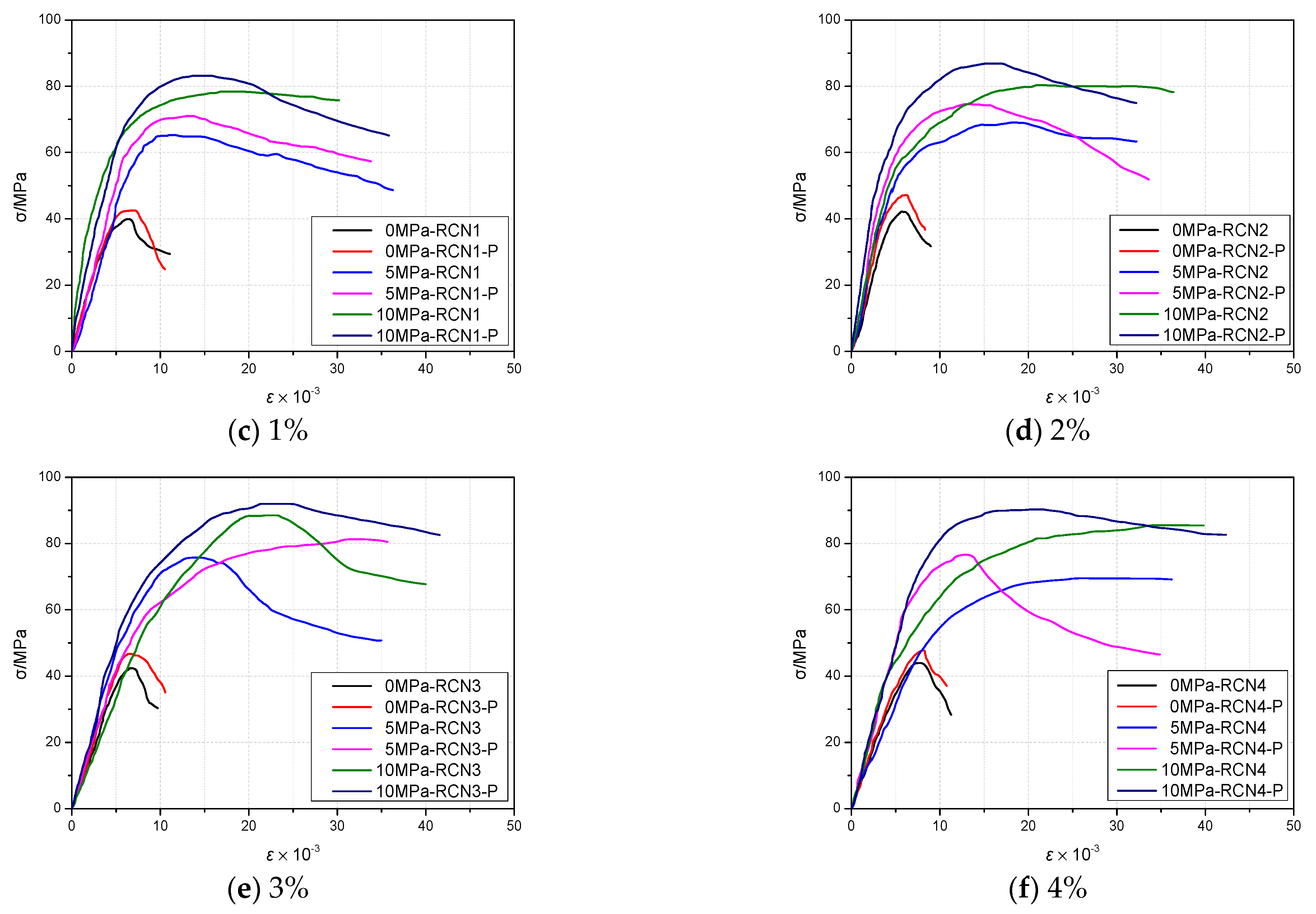
3. Experiment Results
The Failure Form of the Sample
4. Discussion
4.1. Analysis of the Compressive Strength under Uniaxial Compression
4.2. Conventional Triaxial Test Analysis
4.2.1. Stress-Strain Relationship Curve
4.2.2. The Influence of Confining Pressure on Peak Stress
4.2.3. SEM Microstructure Analysis
5. Conclusions
Author Contributions
Funding
Institutional Review Board Statement
Informed Consent Statement
Data Availability Statement
Acknowledgments
Conflicts of Interest
References
- Zhongfu, Q.; Nannan, S.; Haizhen, W. The application status research progress of recycled aggregate concrete. Mater. Rep. 2013, 27, 142–145. [Google Scholar]
- Xianggang, Z.; Zongping, C.; Jianyang, X. Experimental study on the physical and mechanical properties of recycled concrete. Bull. Chin. Ceram. Soc. 2015, 34, 1684–1689. [Google Scholar]
- Xiping, L.; Lijiao, X.; Keqiang, Z.; Dongliang, C. Basic performance test of recycled concrete with different replacement ratio. J. Liaoning Tech. Univ. 2014, 33, 1270–1274. [Google Scholar]
- Yanan, Z. Research on the Mechanical Properties of Nanoparticle PVA Fiber Cement-Based Composites; Zhengzhou University: Zhengzhou, China, 2016. [Google Scholar]
- Sun, C.; Jin, B.; Li, J. Orthogonal experimental study on the mechanical properties of PVA fiber recycled concrete. J. Guangxi Univ. (Nat. Sci. Ed.) 2018, 43, 1569–1575. [Google Scholar]
- Irshidat, M.R.; Al-Shanna, A. Using textile reinforced mortar modified with carbon nano tubes to improve flexural performance of RC beams. Compos. Struct. 2018, 200, 127–134. [Google Scholar] [CrossRef]
- Xiaoyun, S. Experimental Study on the Performance of PVA Fiber Reinforced Concrete Flexural Members. Master’s Thesis, Tongji University, Shanghai, China, July 2001. [Google Scholar]
- Zhaoqiang, Z. Experimental study on conventional triaxial compression of concrete mixed with PVA fiber. Concr. Cem. Prod. 2018, 7, 51–54. [Google Scholar]
- Hui, L. Study on the Mechanical and Deformation Properties of PVA Fiber Concrete. Master’s Thesis, Nanjing University, Nanjing, China, December 2006. [Google Scholar]
- Haskett, M.; MSadakkathulla, M.; Oehlers, D.; Guest, G.; Pritchard, T.; Sedav, V.; Stapleton, B. Adelaide Research and Scholarship: Deflection of GFRP and PVA fibre reinforced concrete beams. In Proceedings of the 6th International Conference on FRP Composites in Civil Engineering, Rome, Italy, 13–15 June 2012. [Google Scholar]
- Yu, K.; Wang, Y.; Yu, J.; Xu, S. A strain-hardening cementitious composites with the tensile capacity up to 8%. Constr. Build. Mater. 2017, 137, 410–419. [Google Scholar] [CrossRef]
- Cadoni, E.; Meda, A.; Plizzari, G.A. Tensile behaviour of FRC under high strainrate. Mater. Struct. 2009, 42, 1283–1294. [Google Scholar] [CrossRef]
- Atahan, H.N.; Pekmezci, B.Y.; Tuncel, E.Y. Behavior of PVA fiber-reinforced cementitious composites under static and impact flexural effects. J. Mater. Civ. Eng. 2013, 25, 1438–1445. [Google Scholar] [CrossRef]
- Zhang, Y.; Sun, W.; Li, Z.; Zhou, X.; Chau, C. Impact properties of geopolymer based extrudates incorporated with fly ash and PVA short fiber. Constr. Build. Mater. 2008, 22, 370–383. [Google Scholar]
- Viswanath, P.; Thachil, E.T. Properties of polyvinyl alcohol cement pastes. Mater. Struct. 2008, 41, 123–130. [Google Scholar] [CrossRef]
- Ekaputri, J.J.; Limantono, H.; Susanto Susanto, T.E.; Abdullah, M.M.A. Effect of PVA fiber in increasing mechanical strength on paste containing glass powder. Key Eng. Mater. 2016, 273, 83–93. [Google Scholar]
- Topic, J.; Proseka, Z.; Indrova, K.; Plachy, T.; Nezerka, V.; Kopecky, L.; Tesarek, P. Effect of pva modification on the properties of cement composites. Acta Polytech. 2015, 55, 64–75. [Google Scholar] [CrossRef]
- Sobolev, I.F.K.; Torres-Martinez, L.M.; Valdez, P.L.; Zarazua, E.; Cuellar, E.L. Engineering of SiO2 nanoparticles for optimal performance in nano cementbased materials. Nanotechnol. Constr. 2009, 3, 139–148. [Google Scholar]
- Singh, L.P.; Karade, S.R.; Bhattacharyya, S.K.; Yousuf, M.M.; Ahalawat, S. Beneficial role of nanosilica in cement based materials—A review. Constr. Build. Mater. 2013, 47, 1069–1077. [Google Scholar] [CrossRef]
- Bastos, G.; Patino-Barbeito, F.; Patino-Cambeiro, F.; Armesto, J. Nano-inclusions applied in cement-matrix composites: A review. Materials 2016, 9, 1015. [Google Scholar] [CrossRef] [PubMed]
- Gonzalez, M.; Tighe, S.; Hui, K.; Rahman, S.; Lima, A.O. Evaluation of freeze/thaw and scaling response of nanoconcrete for Portland cement concrete (PCC) pavements. Constr. Build. Mater. 2016, 120, 465–472. [Google Scholar] [CrossRef]
- Gesoglu, M.; Güneyisi, E.; Asaad, S.D.; Muhyaddin, F.G. Properties of low binder ultra-high performance cementitious composites: Comparison of nanosilica and microsilica. Constr. Build. Mater. 2016, 102, 706–713. [Google Scholar] [CrossRef]
- Givi, A.N.; Rashid, S.A.; Aziz, F.N.A.; Salleh, M.A.M. Experimental investigation of the size effects of SiO2 nano-particles on the mechanical properties of binary blended concrete. Compos. Part B 2010, 41, 673–677. [Google Scholar] [CrossRef]
- Zhang, P.; Dai, X.; Gao, J.; Wang, P. Effect of nano-SiO2 particles on fracture properties of concrete composite containing fly ash. Curr. Sci. 2015, 108, 2035–2043. [Google Scholar]
- Mahmoud, K.; Ghazy, A.; Bassuoni, M.T.; El-Salakawy, E. Properties of nanomodified fiber-reinforced cementitious composites. J. Mater. Civ. Eng. 2017, 29, 1–12. [Google Scholar] [CrossRef]
- Sikora, P.; Łukowski, P.; Cendrowski, K.; Horszczaruk, E.; Mijowska, E. The effect of nanosilica on the mechanical properties of polymer cement composites (PCC). Procedia Eng. 2015, 108, 139–145. [Google Scholar] [CrossRef]
- Ling, Y.; Zhang, P.; Wang, J.; Chen, Y. Effect of PVA fiber on mechanical properties of cementitious composite with and without nano-SiO2. Constr. Build. Mater. 2019, 229, 117068. [Google Scholar] [CrossRef]
- Mukharjee, B.B.; Barai, S.V. Influence of Nano-Silica on the properties of recycled aggregate concrete. Constr. Build. Mater. 2014, 55, 29–37. [Google Scholar] [CrossRef]
- Xie, J.; Zhang, H.; Duan, L.; Yang, Y.; Yan, J.; Shan, D.; Liu, X.; Pang, J.; Chen, Y.; Li, X.; et al. Effect of nano metakaolin on compressive strength of recycled concrete. Constr. Build. Mater. 2020, 256, 119393. [Google Scholar] [CrossRef]
- Roncero, J.; Valls, S.; Gettu, R. Study of the influence of superplasticizers on the hydration of cement paste using nuclear magnetic resonance and X-ray diffraction techniques. Cem. Concr. Res. 2002, 32, 103–408. [Google Scholar] [CrossRef]











| Young’s Modulus | Elongation at Break | Young’s Modulus | Fiber Diameter | Density | Tensile Strength |
|---|---|---|---|---|---|
| (GPa) | (%) | (GPa) | (μm) | (g/cm3) | (MPa) |
| 36 | 6 | 36 | 21 | 1.30 | 1280 |
| Numbering | Concrete Mix Design /(kg/m3) | |||||
|---|---|---|---|---|---|---|
| Nano -SiO2 (kg/m3) | PVA Fiber (kg/m3) | Recycled Aggregate (kg/m3) | Portland Cement (kg/m3) | Water (kg/m3) | Silica Sand (kg/m3) | |
| RCN0 | 0 | 0 | 1400 | 340 | 180 | 600 |
| RCN0.5 | 1.5 | 0 | 1400 | 340 | 180 | 600 |
| RCN1 | 3. | 0 | 1400 | 340 | 180 | 600 |
| RCN2 | 6 | 0 | 1400 | 340 | 180 | 600 |
| RCN3 | 10 | 0 | 1400 | 340 | 180 | 600 |
| RCN4 | 12 | 0 | 1400 | 340 | 180 | 600 |
| RCN0-P | 0 | 3.6 | 1400 | 340 | 180 | 600 |
| RCN0.5-P | 1.5 | 3.6 | 1400 | 340 | 180 | 600 |
| RCN1-P | 3. | 3.6 | 1400 | 340 | 180 | 600 |
| RCN2-P | 6 | 3.6 | 1400 | 340 | 180 | 600 |
| RCN3-P | 10 | 3.6 | 1400 | 340 | 180 | 600 |
| RCN4-P | 12 | 3.6 | 1400 | 340 | 180 | 600 |
Publisher’s Note: MDPI stays neutral with regard to jurisdictional claims in published maps and institutional affiliations. |
© 2021 by the authors. Licensee MDPI, Basel, Switzerland. This article is an open access article distributed under the terms and conditions of the Creative Commons Attribution (CC BY) license (http://creativecommons.org/licenses/by/4.0/).
Share and Cite
Wang, S.; Zhu, B. Influence of Nano-SiO2 on the Mechanical Properties of Recycled Aggregate Concrete with and without Polyvinyl Alcohol (PVA) Fiber. Materials 2021, 14, 1446. https://doi.org/10.3390/ma14061446
Wang S, Zhu B. Influence of Nano-SiO2 on the Mechanical Properties of Recycled Aggregate Concrete with and without Polyvinyl Alcohol (PVA) Fiber. Materials. 2021; 14(6):1446. https://doi.org/10.3390/ma14061446
Chicago/Turabian StyleWang, Shenglin, and Baolong Zhu. 2021. "Influence of Nano-SiO2 on the Mechanical Properties of Recycled Aggregate Concrete with and without Polyvinyl Alcohol (PVA) Fiber" Materials 14, no. 6: 1446. https://doi.org/10.3390/ma14061446
APA StyleWang, S., & Zhu, B. (2021). Influence of Nano-SiO2 on the Mechanical Properties of Recycled Aggregate Concrete with and without Polyvinyl Alcohol (PVA) Fiber. Materials, 14(6), 1446. https://doi.org/10.3390/ma14061446
