Research on the Properties of Mineral–Cement Emulsion Mixtures Using Recycled Road Pavement Materials
Abstract
1. Introduction
1.1. Protecting the Environment by Using Recycled Materials
1.2. Waste Disposal—Asphalt, Rubber, and Concrete Reclaimed Waste
1.3. Waste Utilization—Dusts
1.4. Effect of Waste on Shrinkage and Stiffness
2. Materials and Methods
2.1. Purpose of the Research
2.2. MCE Material as a Conglomerate for the Subbase Layers
2.3. The Scheme of the Recycled Substructure Composition
2.3.1. Selection of the Optimal Grading Curve
2.3.2. Designing the Optimal Amount of Hydraulic Binder (Cement) and Water
2.3.3. Designation of Optimum Moisture and Maximum Density of the Mix Skeleton
Designing the Optimal Amount of Asphalt Emulsion
2.3.4. The Composition of MCE Mixes
2.4. Research
- Tests of the complex module by the four-point bending test on prismatic materials (4PB-PR) method according to [68] at temperatures of −10, +5, +13, +25, and +40 °C;
- Module tests using the indirect tension test on cylindrical specimens (IT-CY) method according to [68] at temperatures of −10, +5, +13, +25, and +40 °C;
- Tests of shrinkage by the ring method according to [69] at a temperature of +25 °C.
2.4.1. Reduction of Stiffness after Using Dusts Instead of Cement (Stiffness Tests)
2.4.2. Cracking Reduction Caused by Shrinkage and Stiffness (Shrinkage Test)
3. Results and Discussion
3.1. Different Methods for Stiffness Comparisons (4PB-PR and IT-CY)
3.2. Correlation of the Results of 4PB-PR and IT-CY Tests—Conversion Factors
3.3. Shrinkage Analysis
4. Practical Application of MCE Mixes
5. Conclusions
- Coarse-grained and fine-grained mixes containing cement binder marked as MCE_G_Ref and MCE_D_Ref were adopted as reference MCE mixes. Then, instead of cement, innovative road binders were used, containing cement, hydrated lime, and cement dusty by-products (UCPPs). All mixes can be used to make the road surface foundation.
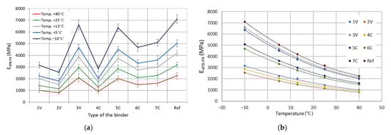
- The analyzes of the IT-CY stiffness modulus showed that the test temperature had a significant impact on the stiffness for MCE mixes. With increasing test temperature, the stiffness of the mixes decreased. The use of innovative binders allowed to reduce the stiffness of individual MCE mixes compared to that of reference mixes containing classic cement in the entire temperature range. The greatest reduction in stiffness was obtained after using 2V, 4C, and 7C binders both in coarse-grained and fine-grained mixes. The reduction in the value of the modules accounted for 40–80% of the value of the modulus of the reference mixture only with cement.
- Based on the analyses of the results of the 4PB-PR complex module, it was found that the value of this module was significantly influenced by the grain size distribution of the MCE mix. Fine-grained mixes were characterized by greater homogeneity and higher complex modulus as compared to coarse-grained mixes. Despite the microscopic cracking phenomenon, the MCE layer will be able to take loads and ensure adequate fatigue life of the entire road surface structure.
- With the increase in temperature, the percentage decrease in the values of the modules obtained by the 4PB-PR method was slightly lower than that determined by the IT-CY method. In the case of both described modules for fine-grained and coarse-grained mixes with the content of all the binders used for the tests, depending on their value on the temperature change, they maintained the same curvilinear course.
- As the stiffness of the material increases, the likelihood of shrinkage cracking increases. The research showed a good correlation between the stiffness test results and the shrinkage strains. The higher the stiffness of the material, the greater the shrinkage deformation. The use of innovative binders allowed to reduce shrinkage cracks and extend the time to maximum deformation. For a minimum accepTable 4PB-PR stiffness level of 2000 MPa, the shrinkage value is between −20 and −30 micro-strains. Further reduction of the material stiffness is not desirable due to its too low fatigue life [58,75]. For the determined level of deformation, it was possible to estimate the minimum stiffness level in the IT-CY method. The IT-CY stiffness modulus of mineral–cement emulsion mixes should be reduced as much as possible but not less than 5000–6000 MPa.
- The developed relationships between the stiffness of 4PB-PR and IT-CY will allow the maximum use of various types of research equipment in the process of designing and making MCE mixes in road surfaces.
- Observation of the experimental section and identification of the stiffness modules of the foundation layer with the MCE will allow the correlation of the results of the modules of the built-in layer and those determined in the laboratory for the same materials. The results of the work will be the subject of further publications.
- The demonstrated reduction of shrinkage cracks in MCE mixes, through the use of cement dusty by-products (UCPPs), allows for the conclusion that the layers of road pavements containing these binders will have a higher fatigue life compared to that of conventional solutions based on cement binder.
- The use of cement dusty by-products (UCPPs) and reclaimed asphalt (RAP) to make pavement layers can significantly reduce the amount of unprocessed waste that causes environmental degradation. At the same time, the use of recycled products allows reducing the consumption of natural resources in road construction.
Author Contributions
Funding
Data Availability Statement
Acknowledgments
Conflicts of Interest
Abbreviations
| MCE | mineral–cement emulsion mixture | 
| UCPP | cement dusty by-product | 
| CDW | construction and demolition waste | 
| RAP | reclaimed asphalt pavement | 
| CBR | California bearing ratio | 
| RFA | recycled fine aggregate | 
| RCA | recycled concrete aggregate | 
| WCR | water–cement ratio | 
| CRM | cold recycled mix | 
| CSM | cement stabilized macadam | 
| TS | thermal shrinkage | 
| DS | dry shrinkage | 
| AE 60/40 | asphalt emulsion (60% asphalt and 40% water) | 
| 4PB-PR | four-point bending test on prismatic specimens | 
| IT-CY | indirect tension test on cylindrical specimens | 
| SMA | stone matrix asphalt | 
References
- Zieliński, K. Impact of recycled aggregates on selected physical and mechanical characteristics of cement concrete. Procedia Eng. 2017, 172, 1291–1296. [Google Scholar] [CrossRef]
- Tavira, J.; Jiménez, J.R.; Ledesma, E.F.; López-Uceda, A.; Ayuso, J. Real-scale study of a heavy traffic road built with in situ recycled demolition waste. J. Clean. Prod. 2020, 248, 119219. [Google Scholar] [CrossRef]
- Liu, L.; Li, Z.; Cai, G.; Liu, X.; Yan, S. Humidity field characteristics in road embankment constructed with recycled construction wastes. J. Clean. Prod. 2020, 259, 120977. [Google Scholar] [CrossRef]
- Liu, L.; Li, Z.; Congress, S.S.C.; Liu, X.; Dai, B. Evaluating the influence of moisture on settling velocity of road embankment constructed with recycled construction wastes. Constr. Build. Mater. 2020, 241, 117988. [Google Scholar] [CrossRef]
- Cristelo, N.; Vieira, C.S.; de Lurdes Lopes, M. Geotechnical and geoenvironmental assessment of recycled construction and demolition waste for road embankments. Procedia Eng. 2016, 143, 51–58. [Google Scholar] [CrossRef]
- Soleimanbeigi, A.; Edil, T.B. Compressibility of recycled materials for use as highway embankment fill. J. Geotech. Geoenvironmental Eng. 2015, 141, 04015011. [Google Scholar] [CrossRef]
- Soleimanbeigi, A.; Edil, T.B.; Benson, C.H. Engineering properties of recycled materials for use as embankment fill. In Proceedings of the Geo-Congress 2014 Technical Papers: Geo-Characterization and Modeling for Sustainability, Atlanta, Georgia, 23–26 February 2014; pp. 3645–3657. [Google Scholar] [CrossRef]
- Arulrajah, A.; Disfani, M.M.; Horpibulsuk, S.; Suksiripattanapong, C.; Prongmanee, N. Physical properties and shear strength responses of recycled construction and demolition materials in unbound pavement base/subbase applications. Constr. Build. Mater. 2014, 58, 245–257. [Google Scholar] [CrossRef]
- Azam, A.M.; Cameron, D.A. Geotechnical properties of blends of recycled clay masonry and recycled concrete aggregates in unbound pavement construction. J. Mater. Civil Eng. 2013, 25, 788–798. [Google Scholar] [CrossRef]
- Gabr, A.R.; Cameron, D.A. Properties of recycled concrete aggregate for unbound pavement construction. J. Mater. Civil Eng. 2012, 24, 6. [Google Scholar] [CrossRef]
- Jiménez, J.R.; Agrela, F.; Ayuso, J.; López, M. A comparative study of recycled aggregates from concrete and mixed debris as material for unbound road sub-base. Mater. Construcción 2011, 61, 289–302. [Google Scholar] [CrossRef]
- O’Mahony, M.M.; Milligan, G.W.E. Use of Recycled Materials in Subbase Layers. Transportation Research Record No. 130. Transportation Research Board; National Research Council: Washington, DC, USA, 1991; pp. 73–80. [Google Scholar]
- Vegas, I.; Ibañez, J.A.; Lisbona, A.; de Cortazar, A.S.; Frías, M. Pro-normative research on the use of mixed recycled aggregates in unbound road sections. Constr. Build. Mater. 2011, 25, 2674–2682. [Google Scholar] [CrossRef]
- Zhang, J.; Ding, L.; Li, F.; Peng, J. Recycled aggregates from construction and demolition wastes as alternative filling materials for highway subgrades in China. J. Clean. Prod. 2020, 255, 120223. [Google Scholar] [CrossRef]
- Huber, S.; Henzinger, C.; Heyer, D. Influence of water and frost on the performance of natural and recycled materials used in unpaved roads and road shoulders. Transp. Geotech. 2020, 22, 100305. [Google Scholar] [CrossRef]
- Mehrjardi, G.T.; Azizi, A.; Haji-Azizi, A.; Asdollafardi, G. Evaluating and improving the construction and demolition waste technical properties to use in road construction. Transp. Geotech. 2020, 23, 100349. [Google Scholar] [CrossRef]
- López-Alonso, M.; Martinez-Echevarria, M.J.; Garach, L.; Galán, A.; Ordoñez, J.; Agrela, F. Feasible use of recycled alumina combined with recycled aggregates in road construction. Constr. Build. Mater. 2019, 195, 249–257. [Google Scholar] [CrossRef]
- Norambuena-Contreras, J.; Quilodran, J.; Gonzalez-Torre, I.; Chavez, M.; Borinaga-Treviño, R. Electrical and thermal characterisation of cement-based mortars containing recycled metallic waste. J. Clean. Prod. 2018, 190, 737–751. [Google Scholar] [CrossRef]
- Hagnell, M.K.; Åkermo, M. The economic and mechanical potential of closed loop material usage and recycling of fibre-reinforced composite materials. J. Clean. Prod. 2019, 223, 957–968. [Google Scholar] [CrossRef]
- Ren, J.; Wang, S.; Zang, G. Effects of recycled aggregate composition on the mechanical characteristics and material design of cement stabilized cold recycling mixtures using road milling materials. Constr. Build. Mater. 2020, 244, 118329. [Google Scholar] [CrossRef]
- Nanjegowda, V.H.; Biligiri, K.P. Recyclability of rubber in asphalt roadway systems: A review of applied research and advancement in technology. Resour. Conserv. Recycl. 2020, 155, 104655. [Google Scholar] [CrossRef]
- Wang, Q.-Z.; Wang, N.-N.; Tseng, M.-L.; Huang, Y.-M.; Li, N.-L. Waste tire recycling assessment: Road application potential and carbon emissions reduction analysis of crumb rubber modified asphalt in China. J. Clean. Prod. 2020, 249, 119411. [Google Scholar] [CrossRef]
- Liu, L.; Cai, G.; Zhang, J.; Liu, X.; Liu, K. Evaluation of engineering properties and environmental effect of recycled waste tire-sand/soil in geotechnical engineering: A compressive review. Renew. Sustain. Energy Rev. 2020, 126, 109831. [Google Scholar] [CrossRef]
- Fedrigo, W.; Núñez, W.P.; Kleinert, T.R.; Matuella, M.F.; Ceratti, J.A.P. Strength, shrinkage, erodibility and capillary flow characteristics of cement-treated recycled pavement materials. Int. J. Pavement Res. Technol. 2017, 10, 393–402. [Google Scholar] [CrossRef]
- Kox, S.; Vanroelen, G.; Van Herck, J.; de Krem, H.; Vandoren, B. Experimental evaluation of the high-grade properties of recycled concrete aggregates and their application in concrete road pavement construction. Case Stud. Constr. Mater. 2019, 11, e00282. [Google Scholar] [CrossRef]
- Nwakaire, C.M.; Yap, S.P.; Yuen, C.W.; Onn, C.C.; Koting, S.; Babalghaith, A.M. Laboratory study on recycled concrete aggregate based asphalt mixtures for sustainable flexible pavement surfacing. J. Clean. Prod. 2020, 262, 121462. [Google Scholar] [CrossRef]
- Zhang, L.W.; Sojobi, A.O.; Kodur, V.K.R.; Liew, K.M. Effective utilization and recycling of mixed recycled aggregates for a greener environment. J. Clean. Prod. 2019, 236, 117600. [Google Scholar] [CrossRef]
- Visintin, P.; Xie, T.; Bennett, B. A large-scale life-cycle assessment of recycled aggregate concrete: The influence of functional unit, emissions allocation and carbon dioxide uptake. J. Clean. Prod. 2020, 248, 119243. [Google Scholar] [CrossRef]
- Jiménez, J.R.; Ayuso, J.; Agrela, F.; López, M.; Galvín, A.P. Utilisation of unbound recycled aggregates from selected CDW in unpaved rural roads. Resour. Conserv. Recycl. 2012, 58, 88–97. [Google Scholar] [CrossRef]
- Chomicz-Kowalska, A.; Maciejewski, K. Performance and viscoelastic assessment of high-recycle rate cold foamed bitumen mixtures produced with different penetration binders for rehabilitation of deteriorated pavements. J. Clean. Prod. 2020, 258, 120517. [Google Scholar] [CrossRef]
- Iwański, M.; Mazurek, G.; Buczyński, P. Bitumen Foaming Optimisation Process on the Basis of Rheological Properties. Materials 2018, 11, 1854. [Google Scholar] [CrossRef] [PubMed]
- Iwański, M.; Mazurek, G.; Buczyński, P.; Zapała-Sławeta, J. Multidimensional analysis of foaming process impact on 50/70 bitumen ageing. Constr. Build. Mater. 2020, 266, 121231. [Google Scholar] [CrossRef]
- Birgisdóttir, H.; Bhander, G.; Hauschild, M.Z.; Christensen, T.H. Life cycle assessment of disposal of residues from municipal solid waste incineration: Recycling of bottom ash in road construction or landfilling in Denmark evaluated in the ROAD-RES model. Waste Manag. 2007, 27, S75–S84. [Google Scholar] [CrossRef] [PubMed]
- Loaiza, A.; Colorado, H.A. Marshall stability and flow tests for asphalt concrete containing electric arc furnace dust waste with high ZnO contents from the steel making process. Constr. Build. Mater. 2018, 166, 769–778. [Google Scholar] [CrossRef]
- Bostanci, S.C. Use of waste marble dust and recycled glass for sustainable concrete production. J. Clean. Prod. 2020, 251, 119785. [Google Scholar] [CrossRef]
- Czapik, P.; Zapała-Sławeta, J.; Owsiak, Z.; Stępień, P. Hydration of cement by-pass dust. Constr. Build. Mater. 2020, 231, 117139. [Google Scholar] [CrossRef]
- Owsiak, Z.; Czapik, P. Testing the cement, hydrated lime and cement by-pass dust mixtures hydration. Roads Bridges Drog. Mosty 2020, 19, 135–147. [Google Scholar] [CrossRef]
- Bai, G.; Zhu, C.; Liu, C.; Liu, B. An evaluation of the recycled aggregate characteristics and the recycled aggregate concrete mechanical properties. Constr. Build. Mater. 2020, 240, 117978. [Google Scholar] [CrossRef]
- Chen, T.; Luan, Y.; Zhu, J.; Huang, X.; Ma, S. Mechanical and microstructural characteristics of different interfaces in cold recycled mixture containing cement and asphalt emulsion. J. Clean. Prod. 2020, 258, 120674. [Google Scholar] [CrossRef]
- Chen, T.; Ma, T.; Huang, X.; Ma, S.; Tang, F.; Wu, S. Microstructure of synthetic composite interfaces and verification of mixing order in cold-recycled asphalt emulsion mixture. J. Clean. Prod. 2020. [Google Scholar] [CrossRef]
- Mallick, R.B.; Radzicki, M.J.; Zaumanis, M.; Frank, R. Use of system dynamics for proper conservation and recycling of aggregates for sustainable road construction. Resour. Conserv. Recycl. 2014, 86, 61–73. [Google Scholar] [CrossRef]
- Sultan, A.A.M.; Lou, E.; Mativenga, P.T. What should be recycled: An integrated model for product recycling desirability. J. Clean. Prod. 2017, 154, 51–60. [Google Scholar] [CrossRef]
- Bendimerad, A.Z.; Delsaute, B.; Rozière, E.; Staquet, S.; Loukili, A. Advanced techniques for the study of shrinkage-induced cracking of concrete with recycled aggregates at early age. Constr. Build. Mater. 2020, 233, 117340. [Google Scholar] [CrossRef]
- Mazurek, G.; Iwański, M. Optimisation of the innovative hydraulic binder composition for its versatile use in recycled road base layer. In IOP Conference Series: Materials Science Engineering; IOP Publishing Ltd.: Bristol, UK, 2019; Volume 603, p. 032044. [Google Scholar] [CrossRef]
- Owsiak, Z.; Czapik, P.; Zapała-Sławeta, J. Properties of a Three-Component Mineral Road Binder for Deep-Cold Recycling Technology. Materials 2020, 13, 3585. [Google Scholar] [CrossRef]
- Abate, S.Y.; Song, K.-I.; Song, J.-K.; Lee, B.Y.; Kim, H.-K. Internal curing effect of raw and carbonated recycled aggregate on the properties of high-strength slag-cement mortar. Constr. Build. Mater. 2018, 165, 64–71. [Google Scholar] [CrossRef]
- Wang, J.; Zhang, J.; Cao, D.; Dang, H.; Ding, B. Comparison of recycled aggregate treatment methods on the performance for recycled concrete. Constr. Build. Mater. 2020, 234, 117366. [Google Scholar] [CrossRef]
- Yildirim, S.T.; Meyer, C.; Herfellner, S. Effects of internal curing on the strength, drying shrinkage and freeze–thaw resistance of concrete containing recycled concrete aggregates. Constr. Build. Mater. 2015, 91, 288–296. [Google Scholar] [CrossRef]
- Li, Q.; Wang, Z.; Li, Y.; Shang, J. Cold recycling of lime-fly ash stabilized macadam mixtures as pavement bases and subbases. Constr. Build. Mater. 2018, 169, 306–314. [Google Scholar] [CrossRef]
- Wu, M.; Zhang, Y.; Jia, Y.; She, W.; Liu, G. Study on the role of activators to the autogenous and drying shrinkage of lime-based low carbon cementitious materials. J. Clean. Prod. 2020, 257, 120522. [Google Scholar] [CrossRef]
- Abdollahnejad, Z.; Mastali, M.; Woof, B.; Illikainen, M. High strength fiber reinforced one-part alkali activated slag/fly ash binders with ceramic aggregates: Microscopic analysis, mechanical properties, drying shrinkage, and freeze-thaw resistance. Constr. Build. Mater. 2020, 241, 118129. [Google Scholar] [CrossRef]
- Zhou, J.; Zeng, M.; Chen, Y.; Zhong, M. Evaluation of cement stabilized recycled concrete aggregates treated with waste oil and asphalt emulsion. Constr. Build. Mater. 2019, 199, 143–153. [Google Scholar] [CrossRef]
- Iwański, M.; Chomicz-Kowalska, A.; Buczyński, P.; Mazurek, G. Optimization of the binding agent composition of universal nature in the recycled base layers. Development of nomograms of obtained properties for mortars and grouts in accordance with the assumed experiment plan for the designed mixed binders. In TECHMATSTRATEG “Modern Material Technologies” Program; Report No. 2/1/PŚk/2018; Kielce University of Technology: Kielce, Poland, 2018. [Google Scholar]
- Szydło, A.; Mackiewicz, P.; Skotnicki, Ł.; Kuźniewski, J. Assessment of the impact of an innovative binder on the physical, mechanical and rheological properties of a recycled base layer made of a mineral-binder mixture with asphalt emulsion. In TECHMATSTRATEG “Modern Material Technologies” Program; Report No. 3/2/PWr/2019; Wroclaw University of Science and technology: Wroclaw, Poland, 2019. [Google Scholar]
- General Directorate for National Roads and Motorways (GDDKiA). Instruction for Designing and Embedding of Mineral-Cement-Emulsion Mixtures (MCE); General Directorate for National Roads and Motorways: Gdańsk, Poland, 2014. [Google Scholar]
- Szydło, A.; Mackiewicz, P.; Skotnicki, Ł.; Kuźniewski, J. Innovative Technology Using the Optimization of the Binder Intended for the Technology of Deep Cold Recycling of the Pavement Structure Ensuring Its Operational Durability-Report of the Institute of Civil Engineering on Wroclaw University of Science and Technology no. SPR 74; Wroclaw University: Wroclaw, Poland, 2019. [Google Scholar]
- Kuźniewski, J.; Skotnicki, Ł. Influence of the compaction method on mineral-cement emulsion mixture properties. J. Mater. Civil Eng. 2016, 28, 04016138. [Google Scholar] [CrossRef]
- Kuźniewski, J.; Skotnicki, Ł. Properties of mineral-cement emulsion mixtures based on concrete aggregates from recycling. Case Stud. Constr. Mater. 2019, e00309. [Google Scholar] [CrossRef]
- Kuźniewski, J.; Skotnicki, Z.Ł.; Szydło, A. Fatigue durability of asphalt-cement mixtures. Bull. Pol. Acad. Sci. Tech. Sci. 2015, 63, 107–111. [Google Scholar] [CrossRef]
- Skotnicki, Z.Ł.; Kuźniewski, J.; Szydło, A. Stiffness identification of foamed asphalt mixtures with cement, evaluated in laboratory and in situ in road pavements. Materials 2020, 13, 1128. [Google Scholar] [CrossRef] [PubMed]
- Du, S. Mechanical properties and shrinkage characteristics of cement stabilized macadam with asphalt emulsion. Constr. Build. Mater. 2019, 203, 408–416. [Google Scholar] [CrossRef]
- Guha, A.H.; Assaf, G.J. Effect of Portland cement as a filler in hot-mix asphalt in hot regions. J. Build. Eng. 2020, 28, 101036. [Google Scholar] [CrossRef]
- PN-EN 13286-2. Unbound and Hydraulically Bound Mixtures–Part. 2: Test. Methods for the Determination of the Laboratory Reference Density and Water Content–Proctor Compaction; Polish Committee for Standardization: Warsaw, Poland, 2010.
- PN-EN 13808:2013-10. Bitumen and Bituminous Binders–Framework for Specifying Cationic Bituminous Emulsions; Polish Committee for Standardization: Warsaw, Poland, 2013.
- Gui-Ping, H.; Wing-Gun, W. Effects of moisture on strength and permanent deformation of foamed asphalt mix incorporating RAP materials. Constr. Build. Mater. 2008, 22, 125–130. [Google Scholar] [CrossRef]
- Yan, J.; Ni, F.; Yang, M.; Li, J. An experimental study on fatigue properties of emulsion and foam cold recycled mixes. Constr. Build. Mater. 2010, 24, 2151–2156. [Google Scholar] [CrossRef]
- Zhang, Z.; Cong, C.; Xi, W.; Li, S. Application research on the performances of pavement structure with foamed asphalt cold recycling mixture. Constr. Build. Mater. 2018, 169, 396–402. [Google Scholar] [CrossRef]
- PN-EN 12697-26. Bituminous Mixtures-Test. Methods for Hot Mix Asphalt–Part. 26: Stiffness; Polish Committee for Standardization: Warsaw, Poland, 2012.
- ASTM C1581/C1581M. Standard Test. Method for Determining Age at Cracking and Induced Tensile Stress Characteristics of Mortar and Concrete under Restrained Shrinkage; ASTM International (ASTM): West Conshohocken, PA, USA, 2018.
- PN-EN 12697-24. Bituminous Mixtures-Test. Methods for Hot Mix Asphalt–Part. 24: Resistance to Fatigue; Polish Committee for Standardization: Warsaw, Poland, 2012.
- PN-EN 12697-33. Bituminous Mixtures-Test. Methods for Hot Mix Asphalt–Part. 33: Specimen Prepared by Roller Compactor; Polish Committee for Standardization: Warsaw, Poland, 2019.
- Owsiak, Z.; Zapała-Sławeta, J.; Czapik, P. Optimization of the binding agent composition of universal nature in the recycled base layers, Test results of an innovative binder. In TECHMATSTRATEG “Modern Material Technologies” Program; Report No. 1/1/PŚk/2018; Kielce University of Technology: Kielce, Poland, 2018. [Google Scholar]
- PN-EN 12350-2. Testing Fresh Concrete–Part. 2: Slump Test; Polish Committee for Standardization: Warsaw, Poland, 2009.
- PN-EN 12350-5. Testing Fresh Concrete-Part. 5: Flow Table Test; Polish Committee for Standardization: Warsaw, Poland, 2009.
- Szydło, A.; Stilger-Szydło, E.; Krawczyk, B.; Mackiewicz, P.; Skotnicki, Ł.; Kuźniewski, J.; Dobrucki, D. The Use of Recycled Materials. Task 6, Recycling of Concrete Pavements, Report of Faculty of Civil Engineering on Wroclaw University of Science and Technology no. SPR 22; Wroclaw University: Wroclaw, Poland, 2018. [Google Scholar]



















| Symbol of Binder | Ingredient (–) | ||
|---|---|---|---|
| Cement | Lime | UCPP | |
| 1V | 0.20 | 0.20 | 0.60 | 
| 2V | 0.20 | 0.60 | 0.20 | 
| 3V | 0.60 | 0.20 | 0.20 | 
| 4C | 0.20 | 0.40 | 0.40 | 
| 5C | 0.40 | 0.20 | 0.40 | 
| 6C | 0.40 | 0.40 | 0.20 | 
| 7C | 0.33 | 0.33 | 0.33 | 
| Ref | 1 | 0 | 0 | 
| Components of the Mineral Mix | Fine (MCE_D) | Coarse (MCE_G) | 
|---|---|---|
| (%) | (%) | |
| 0/10 reclaimed asphalt | 40 | - | 
| 0/31.5 reclaimed asphalt | - | 40 | 
| 0/31.5 crushed aggregate improving the gradation—melaphyre | 50 | 50 | 
| 0/2 natural aggregate improving the gradation—sand | 10 | 10 | 
| Components | Mineral Mixture (MM) | Mineral–Cement Emulsion Mixture (MCE_Ref) | 
|---|---|---|
| (%) | (%) | |
| 0/10 reclaimed asphalt | 40 | 34.4 | 
| 0/31.5 crushed aggregate improving the gradation | 50 | 43.0 | 
| 0/2 natural aggregate improving the gradation | 10 | 8.6 | 
| Cement | - | 3.0 | 
| Asphalt emulsion 60/40 | - | 5.0 | 
| Water | - | 6.0 | 
| Components | Mineral Mixture (MM) | Mineral–Cement Emulsion Mixture (MCE_Ref) | 
|---|---|---|
| (%) | (%) | |
| 0/31.5 reclaimed asphalt | 40 | 34.5 | 
| 0/31.5 crushed aggregate improving the gradation | 50 | 43.1 | 
| 0/2 natural aggregate improving the gradation | 10 | 8.6 | 
| Cement | - | 3.0 | 
| Asphalt emulsion 60/40 | - | 5.0 | 
| Water | - | 5.8 | 
| Binder | w/s for the Mortar | 
|---|---|
| 3 V | 0.60 | 
| 1 V | 0.79 | 
| 4 C | 0.75 | 
| 5 C | 0.68 | 
| 2 V | 0.76 | 
| 7 C | 0.66 | 
| 6 C | 0.62 | 
| Layer Type | Material | Layer Thickness (m) | 
|---|---|---|
| Wearing/base course layer | SMA (stone matrix asphalt) 0/16 mm | 0.08 | 
| base layer | MCE and MCE + binder | 0.20 | 
| natural subsoil | ||
| Publisher’s Note: MDPI stays neutral with regard to jurisdictional claims in published maps and institutional affiliations. | 
© 2021 by the authors. Licensee MDPI, Basel, Switzerland. This article is an open access article distributed under the terms and conditions of the Creative Commons Attribution (CC BY) license (http://creativecommons.org/licenses/by/4.0/).
Share and Cite
Skotnicki, Ł.; Kuźniewski, J.; Szydło, A. Research on the Properties of Mineral–Cement Emulsion Mixtures Using Recycled Road Pavement Materials. Materials 2021, 14, 563. https://doi.org/10.3390/ma14030563
Skotnicki Ł, Kuźniewski J, Szydło A. Research on the Properties of Mineral–Cement Emulsion Mixtures Using Recycled Road Pavement Materials. Materials. 2021; 14(3):563. https://doi.org/10.3390/ma14030563
Chicago/Turabian StyleSkotnicki, Łukasz, Jarosław Kuźniewski, and Antoni Szydło. 2021. "Research on the Properties of Mineral–Cement Emulsion Mixtures Using Recycled Road Pavement Materials" Materials 14, no. 3: 563. https://doi.org/10.3390/ma14030563
APA StyleSkotnicki, Ł., Kuźniewski, J., & Szydło, A. (2021). Research on the Properties of Mineral–Cement Emulsion Mixtures Using Recycled Road Pavement Materials. Materials, 14(3), 563. https://doi.org/10.3390/ma14030563
 
         
                                                
 
       
       