Study on Behavior of Steel Hoop Connections for Raw Bamboo Members
Abstract
:1. Introduction
2. Experimental Program
2.1. Specimen Design
2.2. Material Properties
2.3. Test Set-Up and Measuring Scheme
3. Test Results
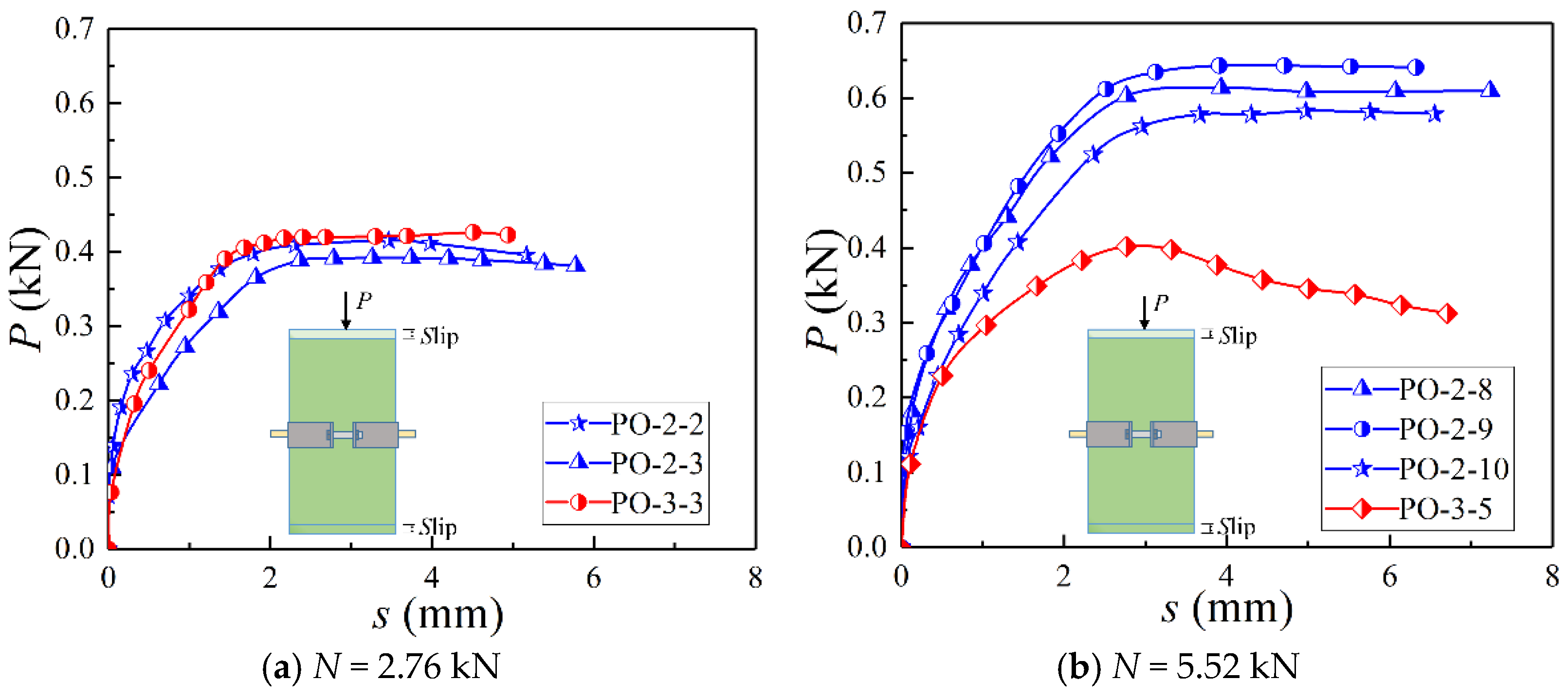
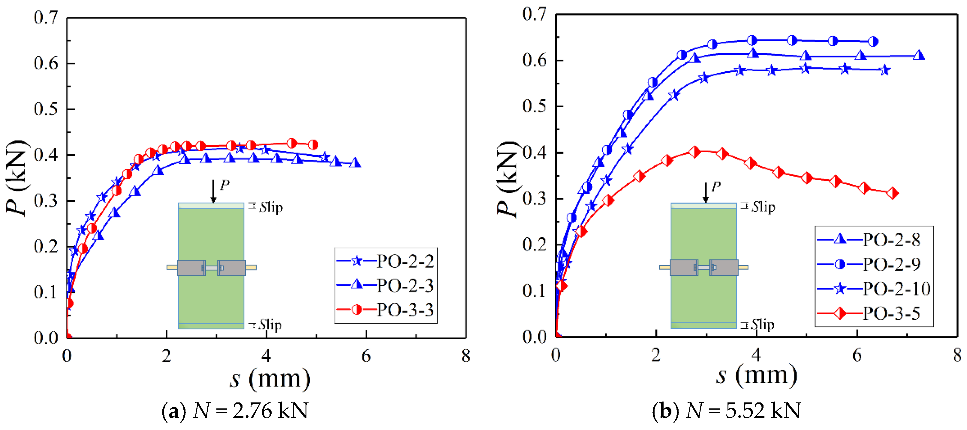
3.1. Load-Displacement Curves
3.2. Deformation Capacity
3.3. Failure Modes
4. Finite Element Analyses
4.1. Finite Element (FE) Model
4.2. Verification of FE Model
4.3. Contact Stress Distribution Analyses
5. Working Mechanism of the Clamp
5.1. Determination of the Interfacial Friction Force
5.2. Relationship of the Contact Stress and the Circumferential Tensile Force
5.3. Determination of the Circumferential Tensile Force
5.3.1. Relationship of the Circumferential Tensile Force and the Final Tightening Torque
5.3.2. Relationship of the Circumferential Tensile Force and the Circumferential Strain
5.4. Determination of the Contact Pressure
5.4.1. Relationship of the Contact Pressure and the Final Tightening Torque
5.4.2. Relationship of the Contact Pressure and the Circumferential Strain ε
5.5. Determination of the Friction Coefficient
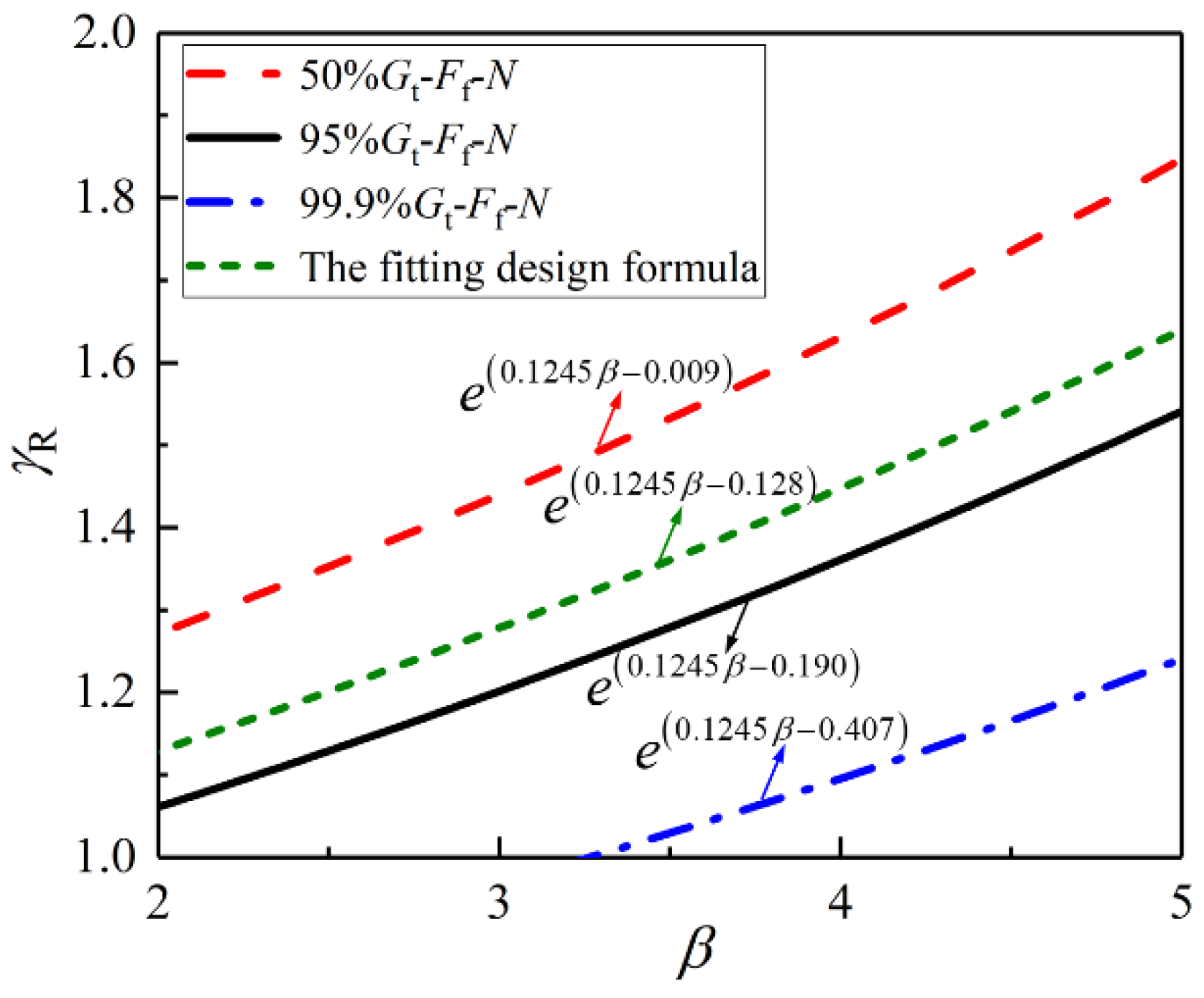
6. Design Formula for the Interfacial Friction Force
6.1. Design Formula under Different Guarantee Rates
6.2. Fitting Design Formula
6.2.1. Raw Bamboo with Epidermis
6.2.2. Raw Bamboo without Epidermis
6.3. Comparison of the Proposed Design Method and the Test Data of Other Connections
7. Reliability Analysis
7.1. Reliable Index
7.2. Resistance Partial Coefficient
8. Conclusions
- The failure of the specimens showed a certain ductility. The experimental results mainly showed two failure modes of all specimens: continuous longitudinal slip after the vertical load reaches the peak; the steel hoop is stuck in the bamboo skin after a period of slip.
- Based on probability analysis, the interfacial friction coefficient for BHC under three guaranteed rates (50%, 95%, and 99.9%) are 0.115, 0.096, and 0.077, respectively, which can reflect the security degree of the connection, respectively. By regression analysis, the fourth interfacial friction coefficient is 0.103, equivalent to the 81.94% guaranteed rate.
- This type of bamboo connection can be used in the spatial structure of raw bamboo, as shown in Figure 2. The pretension value of the bolt can be determined according to the compression strength perpendicular to grain of bamboo, and the diameter and grade of bolts can then be determined. Therefore, based on the pretension value of the bolt, the maximum friction provided by a single connection can be calculated. The number of steel hoops can be configured according to the design load in practical engineering applications. It is suggested to use a digital electronic torque wrench, by which the torque corresponding to the pretension is applied.
- The following design details are suggested: the raw bamboo should be used with the circular cross-section, flat surface, and consistent diameter along the length; if the diameter of bamboo is inconsistent, the smaller diameter end of the vertically placed bamboo should be placed above; as load-bearing bamboos, the bamboo age should not be less than 4 years, and the moisture content is generally between 8% and 12% [14].
- The reliability indices of the four design formulae are up to 0.07, 1.44, 3.09, and 0.97, respectively, and resistance partial coefficients are suggested accordingly.
Author Contributions
Funding
Institutional Review Board Statement
Informed Consent Statement
Data Availability Statement
Conflicts of Interest
References
- Huang, Y.X.; Ji, Y.H.; Yu, W.J. Development of bamboo scrimber: A literature review. J. Wood Sci. 2019, 65, 25. [Google Scholar] [CrossRef]
- Hong, C.K.; Li, H.T.; Xiong, Z.H.; Lorenzo, R.; Corbi, I.; Corbi, O.; Wei, D.D.; Yuan, C.G.; Yang, D.; Zhang, H.Z. Review of connections for engineered bamboo structures. J. Build. Eng. 2020, 30, 101324. [Google Scholar] [CrossRef]
- Hong, C.K.; Li, H.T.; Lorenzo, R.; Wu, G.; Corbi, I.; Corbi, O.; Xiong, Z.H.; Yang, D.; Zhang, H.Z. Review on connections for original bamboo structures. J. Renew. Mater. 2019, 7, 713–730. [Google Scholar] [CrossRef] [Green Version]
- Vahanvati, M. The challenge of connecting bamboo. In Proceedings of the 10th World Bamboo Congress, Damyang, Korea, 17–22 September 2015. [Google Scholar]
- Nie, S.D.; Luo, Y.; Ran, S.; Wu, D.; Wang, H.; Cheng, R. Tensile properties of bolted connections of Moso Bamboo embedded with Chinese fir. J. Civ. Environ. Eng. 2021. (In Chinese) [Google Scholar]
- Meghlat, E.-M.; Oudjene, M.; Ait-Aider, H.; Batoz, J.-L. A new approach to model nailed and screwed timber joints using the finite element method. Constr. Build. Mater. 2013, 41, 263–269. [Google Scholar] [CrossRef]
- Ramirez, F.; Correal, J.F.; Yamin, L.E.; Atoche, J.C.; Piscal, C.M. Dowel-bearing strength behavior of glued laminated guadua bamboo. J. Mater. Civ. Eng. 2012, 24, 1378–1387. [Google Scholar] [CrossRef]
- Zhou, J.W.; Huang, D.S.; Song, Y.; Ni, C.; Stevulova, N. Experimental investigation on embedding strength perpendicular to grain of parallel strand bamboo. Adv. Mater. Sci. Eng. 2018, 2018, 3647395. [Google Scholar] [CrossRef] [Green Version]
- Reynolds, T.; Sharma, B.; Harries, K.; Ramage, M. Dowelled structural connections in laminated bamboo and timber. Compos. Part B: Eng. 2016, 90, 232–240. [Google Scholar] [CrossRef] [Green Version]
- Awaludin, A.; Andriani, V. Bolted bamboo joints reinforced with fibers. Procedia Eng. 2014, 95, 15–21. [Google Scholar] [CrossRef] [Green Version]
- Richard, M.; José, J.G. Bamboo joints with steel clamps capable of transmitting moment. Constr. Build. Mater. 2019, 216, 249–260. [Google Scholar]
- García, J.; Benitez, C.; Villegas, L.; Silva, H.; Moran, R. Thin steel semi-rings as a feasible alternative to connect bamboo culms. In Proceedings of the 17th International Conference on Non-Conventional Materials and Technologies, Mérida, Mexico, 26–29 November 2017. [Google Scholar]
- Moran, R.; Benitez, C.; Silva, H.F.; García, J.J. Design of steel connectors for structural bamboo members. In Proceedings of the AMDM 2016 Tercer Congreso Internacional Sobre Tecnologías Avanzadas de Mecatrónica, Diseño y Manufactura, Cali, Colombia, 13–15 April 2016. [Google Scholar]
- CECS 434-2016. Technical Specification for Round Bamboo-Structure Building; CECS: Beijing, China, 2016. (In Chinese)
- GB/T 228. 1-2010. Metallic Materials-Tensile Testing-Part 1: Method of Test at Room Temperature; Standard Press: Beijing, China, 2010. (In Chinese) [Google Scholar]
- JG/T 199-2007. Testing Methods for Physical and Mechanical Properties of Bamboo Used in Building; Standard Press: Beijing, China, 2007. (In Chinese) [Google Scholar]
- ASTM D5764-97a. Standard Test Method for Evaluation Dowel-Bearing Strength of Wood and Wood-Based Product; ASTM International: Philadelphia, PA, USA, 1997. [Google Scholar]
- Bruhl, F.; Kuhlmann, U. Connection Ductility in Timber Structures. In Proceedings of the World Conference on Timber Engineering, Auckland, New Zealand, 15–19 July 2012. [Google Scholar]
- ABAQUS. ABAQUS Analysis User’s Guide, Version 6.14; Dassault Systèmes Corp.: Providence, RI, USA, 2014. [Google Scholar]
- Yu, Q.; Tao, Z.; Liu, W.; Chen, Z.B. Analysis and calculations of steel tube confined concrete (STCC) stub columns. J. Constr. Steel Res. 2010, 66, 53–64. [Google Scholar] [CrossRef]
- Molari, L.; García, J.J. On the radial variation of the transverse mechanical properties of bamboo. J. Build. Eng. 2021, 33, 101557. [Google Scholar] [CrossRef]
- Moran, R.; Weeb, K.; Harries, K.; García, J. Edge bearing tests to assess the influence of radial gradation on the transverse behavior of bamboo. Construct. Build. Mater. 2017, 131, 574–584. [Google Scholar] [CrossRef]
- Klaudia, Ś.; Bogusław, Z.; Tomasz, K. Tests on the mechanical properties of polymers in the aspect of an attempt to determine the parameters of the mooney-rivlin hyperelastic model. Civ. Environ. Eng. Rep. 2020, 30, 1–14. [Google Scholar]
- Zhao, X.; Diao, X.; Jiang, G.; Ye, J.S.; Xin, L.L.; Zhou, X.J. Method of determining constitutive model parameters of hydrogenated butadiene-acrylonitrile rubber. China Synth. Rubber Ind. 2019, 42, 352–356. (In Chinese) [Google Scholar]
- GB 50205-2020. Standard for Acceptance of Construction Quality of Steel Structures; Chinese Planning Press: Beijing, China, 2020. (In Chinese) [Google Scholar]
- del Barrio, E.; Cuesta-Albertos, J.A.; Matran, C. Contributions of empirical and quantile processes to the asymptotic theory of goodness-of-fit tests. TEST 2000, 9, 1–53. [Google Scholar] [CrossRef]
- Kim, N. The limit distribution of a modified Shapiro–Wilk statistic for normality to Type II censored data. J. Korean Stat. Soc. 2011, 40, 257–266. [Google Scholar] [CrossRef]
- Johnson, R.A.; Verrill, S. The large sample distribution of the Shapiro—Wilk statistic and its variants under Type I or Type II censoring. Stat. Probab. Lett. 1991, 12, 405–413. [Google Scholar] [CrossRef]
- Wang, B.C.; Wei, Y.H.; Ding, H.F. Improvement and promotion of normal probability paper test. Stat. Inf. Forum 2018, 3, 26–30. (In Chinese) [Google Scholar]
- Ronold, K.O.; Lotsberg, I. On the estimation of characteristic S-N curves with confidence. Mar. Struct. 2012, 27, 29–44. [Google Scholar] [CrossRef]
- Jia, D.F.; Liao, X.W.; Cui, J. Experimental study on high cycle fatigue behavior and γ-P-S-N curves of bridge steel Q345qD. J. Tianjin Univ. 2016, 49, 122–128. (In Chinese) [Google Scholar]
- Jia, X.L.; Liu, W.T. P-S-N Curve of fatigue at low temperatures of welded components. J. Beijing Univ. Aeronaut. Astronaut. 2001, 27, 684–686. [Google Scholar]
- AISC. Specification for Structural Steel Buildings: ANSI/AISC 360-2010[S]; American Institute of Steel Construction: Chicago, IL, USA, 2010. [Google Scholar]
- Pan, C.; Tong, L. Reliability index and partial factors for fatigue design of steel crane girders. J. Build. Struct. 2016, 37, 82–88. (In Chinese) [Google Scholar]






















| Specimens | N (kN) | Pc (kN) | μ | Stiffness (kN/mm) | Ductility Cofficient | Pu (kN) | PFEM (kN) |
|---|---|---|---|---|---|---|---|
| PO-1-1~PO-1-13 | 1.84 (200 με) | 0.29 | 0.120 | 0.14 | 2.63 | 0.222 | 0.201 |
| PO-2-1 | 1.38 (150 με) | 0.22 | 0.125 | 0.13 | 3.13 | 0.172 | 0.165 |
| PO-2-2, PO-2-3 | 2.76 (300 με) | 0.44 | 0.150 | 0.21 | 2.97 | 0.415 | 0.400 |
| PO-2-4, PO-2-5 | 4.14 (450 με) | 0.66 | 0.130 | 0.20 | 2.16 | 0.538 | 0.526 |
| PO-2-6, PO-2-7 | 4.6 (500 με) | 0.73 | 0.090 | 0.19 | 2.75 | 0.419 | 0.408 |
| PO-2-8~PO-2-10 | 5.52 (600 με) | 0.88 | 0.103 | 0.24 | 3.03 | 0.571 | 0.561 |
| PO-2-11, PO-2-12 | 6.9 (750 με) | 1.10 | 0.113 | 0.23 | 2.40 | 0.775 | 0.764 |
| PO-2-13 | 7.36 (800 με) | 1.17 | 0.083 | 0.26 | 4.58 | 0.611 | 0.601 |
| PO-2-14, PO-2-15 | 8.28 (900 με) | 1.32 | 0.095 | 0.28 | 2.23 | 0.784 | 0.768 |
| PO-3-1, PO-3-2 | 2.072 (225 με) | 0.33 | 0.145 | 0.15 | 2.00 | 0.299 | 0.281 |
| PO-3-3 | 2.76 (300 με) | 0.44 | 0.160 | 0.19 | 4.02 | 0.443 | 0.420 |
| PO-3-4 | 4.14 (450 με) | 0.66 | 0.085 | 0.17 | 3.92 | 0.357 | 0.348 |
| PO-3-5 | 5.52 (600 με) | 0.88 | 0.075 | 0.21 | 3.46 | 0.408 | 0.392 |
| PO-3-6 | 6.9 (750 με) | 1.10 | 0.093 | 0.21 | 1.68 | 0.646 | 0.634 |
| PO-3-7 | 8.28 (900 με) | 1.32 | 0.113 | 0.23 | 2.64 | 0.933 | 0.914 |
| PO-3-8 | 9.66 (1050 με) | 1.54 | 0.073 | 0.25 | 1.78 | 0.702 | 0.688 |
| Steel | Raw Bamboo | |||||||
|---|---|---|---|---|---|---|---|---|
| fy (MPa) | Es (MPa) | Poisson’s Ratio v | fu (MPa) | Moisture Content | Tangential Shrink Ratio | Radial Shrink Ratio | Water Absorption Rate | Compressive Strength Parallel to Grain (MPa) |
| 276.34 | 1.98 × 105 | 0.29 | 334.42 | 12.32 | 2.18 | 2.59 | 75.85 | 50.90 |
| Sources | Type of Connections | Specimens | D (mm) | Screw Type | Pu (kN) |
|---|---|---|---|---|---|
| [5] | ![]() | WS-8-50 | 99.28 | M8 | 5.13 |
| WS-10-50 | 105.83 | M10 | 12.57 | ||
| WS-12-50 | 101.87 | M12 | 17.58 | ||
| WS-14-50 | 93.89 | M14 | 14.79 | ||
| WS-16-50 | 107.73 | M16 | 15.06 | ||
| WS-8-80 | 101.57 | M8 | 5.88 | ||
| WS-10-80 | 101.15 | M10 | 11.24 | ||
| WS-12-80 | 97.62 | M12 | 15.65 | ||
| WS-14-80 | 82.75 | M14 | 21.01 | ||
| WS-16-80 | 86.35 | M16 | 24.24 | ||
| WS-8-110 | 88.97 | M8 | 5.77 | ||
| WS-10-110 | 99.99 | M10 | 11.18 | ||
| WS-12-110 | 84.84 | M12 | 14.42 | ||
| WS-14-110 | 95.26 | M14 | 20.26 | ||
| WS-16-110 | 81.12 | M16 | 20.50 |
| Design Formulae | VR | VS | Km | β |
|---|---|---|---|---|
| 50% Gt-Ff-N | 0.122 | 0.050 | 1.01 | 0.07 |
| 95% Gt-Ff-N | 1.21 | 1.44 | ||
| 99.9% Gt-Ff-N | 1.50 | 3.09 | ||
| The fitting formula | 1.14 | 0.97 |
Publisher’s Note: MDPI stays neutral with regard to jurisdictional claims in published maps and institutional affiliations. |
© 2021 by the authors. Licensee MDPI, Basel, Switzerland. This article is an open access article distributed under the terms and conditions of the Creative Commons Attribution (CC BY) license (https://creativecommons.org/licenses/by/4.0/).
Share and Cite
Hu, C.; Cheng, R.; Cheng, Q.; Liu, J. Study on Behavior of Steel Hoop Connections for Raw Bamboo Members. Materials 2021, 14, 7253. https://doi.org/10.3390/ma14237253
Hu C, Cheng R, Cheng Q, Liu J. Study on Behavior of Steel Hoop Connections for Raw Bamboo Members. Materials. 2021; 14(23):7253. https://doi.org/10.3390/ma14237253
Chicago/Turabian StyleHu, Chao, Rui Cheng, Qilin Cheng, and Jichun Liu. 2021. "Study on Behavior of Steel Hoop Connections for Raw Bamboo Members" Materials 14, no. 23: 7253. https://doi.org/10.3390/ma14237253
APA StyleHu, C., Cheng, R., Cheng, Q., & Liu, J. (2021). Study on Behavior of Steel Hoop Connections for Raw Bamboo Members. Materials, 14(23), 7253. https://doi.org/10.3390/ma14237253

