Structural Response of Bonded Joints between FRP Composite Strips and Steel Plates
Abstract
:1. Introduction
2. Experimental Program
2.1. Specimens Description
2.2. Materials Properties
2.3. Experimental Set-Up
2.4. Specimens Instrumentation and Loading Conditions
3. Experimental Results
3.1. Characteristic Failure Modes and the Corresponding Ultimate Loads
3.2. Load–Displacement Behaviour
3.3. Strain Distribution
3.4. Shear Stress–Displacement (Slip) Distributions
3.5. Stress–Strain Distributions for CFRP Strips
4. Numerical Modelling
4.1. Finite Element Model Description
4.2. Results
5. Discussions
- The failure modes recorded during the experimental program correspond to the typologies already presented in previous research papers. The following failure typologies were identified: cohesive (shearing of the adhesive layer), CFRP strip delamination, steel –adhesive interface debonding and CFRP–adhesive interface debonding. However, only six specimens failed under a singular failure pattern, while the other 28 specimens failed under a combination of two or three failure mechanisms at both the interface and adhesive layers.
- By analyzing the variation of the ultimate forces, it was observed that for both S512/M514–30 and S512/M514–330 series, by increasing the thickness of the adhesive layer from 1 mm to 2 mm or 3 mm, the ultimate forces decrease up to 47% (the case of the S-M514-330-3 specimen).
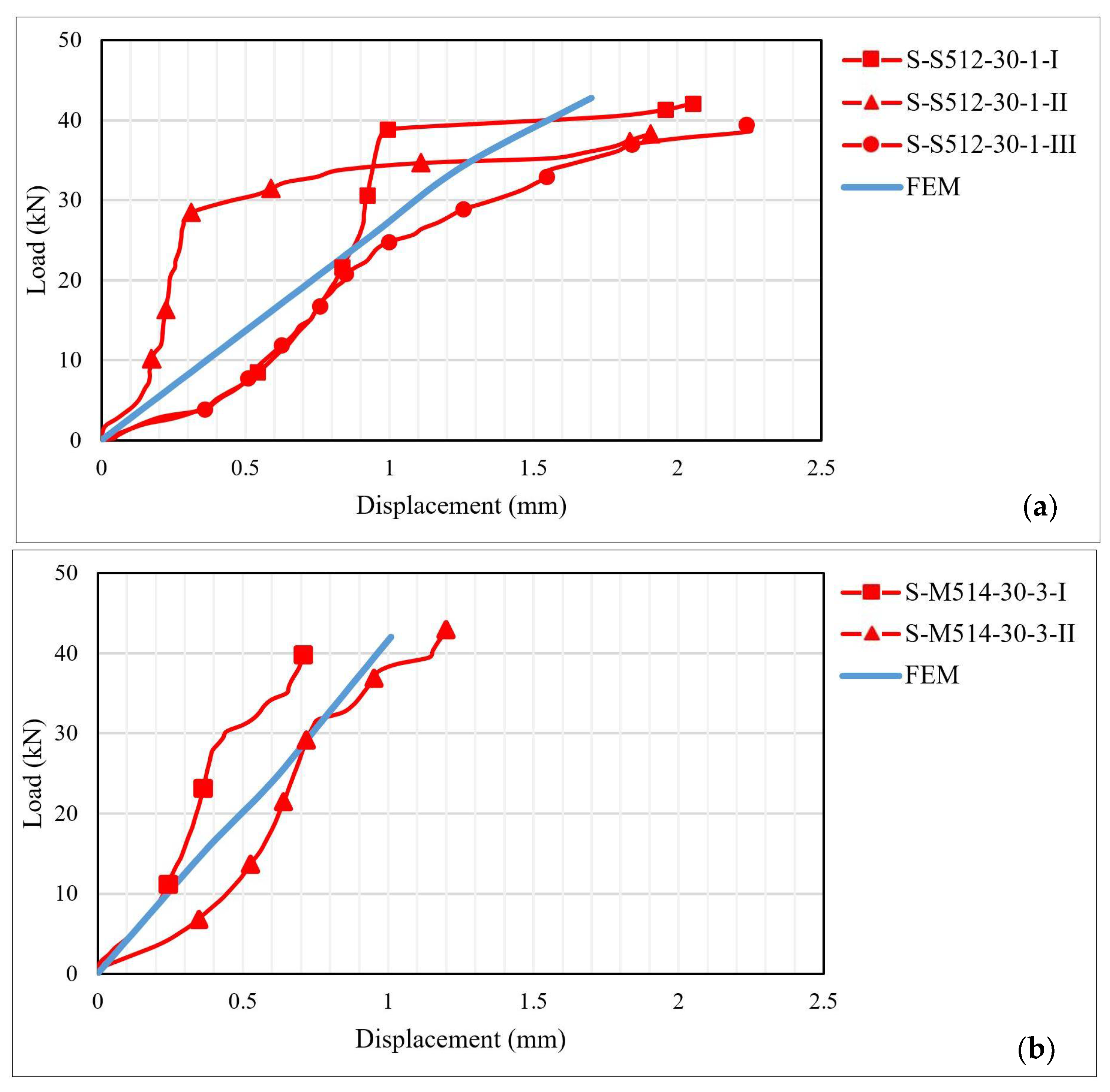
- The load–displacement response is characterized by two distinct patterns. The first pattern, specific to the cohesive failures, consists of two distinct branches: one of constant variation between load and displacement, demonstrating the initial linear behavior, and the other, where the load is relatively constant, but the displacements are rapidly increasing. The second pattern, specific to failures at the interface levels, is characterized by a single branch of linear behavior interrupted by the sudden and brittle failure. This response was commonly specific to the specimens bonded with Sikadur 330 adhesive. The maximum displacements are directly influenced by the axial rigidity of the CPRF strip and by the thickness of the adhesive layer since the maximum displacements were recorded for the S512 strip and Sikadur 30 adhesive with 3 mm thickness.
- By analyzing the shear stresses–displacement (bond–slip curves) distributions, it can be observed that both for the joints made with S512 CFRP strips and for those made with M514 CFRP strips, the displacements corresponding to the ultimate shear stresses are varying with respect to the type and the thickness of the adhesive. Thus, in most of the cases, the ultimate values of the shear stress and displacements decrease with the increase in the adhesive layer thickness. Additionally, the ultimate values corresponding to the specimens bonded with Sikadur 330 adhesive are significantly higher than those of the specimens made with Sikadur 30 adhesive. However, the bond–slip curves can be used as a design tool only for the cohesive failures since the latter is controlled by the shear strength of the adhesive.
- By analyzing the strain variations along the bond line at different loading steps, it was observed that their distributions were initially concentrated near the loaded end. However, as the load increases, local debonding of the CFRP strip occurred and the strains distribution extended along the bond length. The limited extent of the strains demonstrates that the adhesive bonds are characterized by an effective bond length.
- Based on the numerical analysis of the finite element models, the chromatic maps were obtained in relation to the total displacement, shear stresses and shear strains. In addition, the strain distribution along the bond line at different loading steps was investigated. The numerical results are generally in good agreement with the experimental ones. Thus, the values of the ultimate displacements obtained by the two approaches are matched, both of them decreasing in relation to the axial rigidity of the CFRP strips. However, the non-linear behavior, characterized by the experimentally obtained distributions, cannot be simulated by numerical modelling since this approach involves a linear analysis. The shear stresses and strain distributions that were numerically computed confirmed that the bond length is loaded only within a limited region, validating the previous theories referring to the effective bond length. Thus, the maximum values develop near the loaded end of the CFRP strip, and their intensity gradually decreases towards the free end.
- Based on the results that were obtained through this combined experimental and numerical program, it can be concluded that the variation in the axial rigidity of the CFRP strip does not produce significant changes in the general behavior of the bonded system. On the other hand, the elastic and geometrical properties of the adhesive have a substantial impact on the structural response of the bond. The cohesive failures were obtained only for Sikadur 30 adhesive, characterized by a higher modulus of elasticity, while all specimens bonded with Sikadur 330, with a modulus of elasticity almost three times smaller than Sikadur 30, failed prematurely, by interface debonding or by delamination. This demonstrates that the shear strength of the adhesive is only partially used. Moreover, for SLJ bonded with adhesives having lower stiffness, the adhesion at the CFRP–adhesive interface should be further improved in order to avoid premature debonding. Generally, by increasing the thickness of the adhesive, the ultimate tensile forces decrease, probably due to the changes in the stress state, when the peeling stresses lead to premature debonding.
6. Conclusions
Author Contributions
Funding
Institutional Review Board Statement
Informed Consent Statement
Data Availability Statement
Conflicts of Interest
References
- Justo, J.; Paris, F. Experimental mechanical characterization of composite-concrete joints. Compos. Part B Eng. 2018, 154, 148–156. [Google Scholar] [CrossRef]
- Gil, L.; Bernat-Maso, E. Experimental and analytical flexural performances of reinforced concrete beams strengthened with post-tensioned near surface mounted basalt composite laminates. Compos. Part B Eng. 2019, 157, 47–57. [Google Scholar] [CrossRef]
- Shalaby, H.A.; Maha, M.H.; Safar, S.S. Parametric study of shear strength of CFRP strengthened end-web panels. Steel Comp. Struct. 2019, 31, 159–172. [Google Scholar]
- Țăranu, N.; Banu, C.; Oprișan, G.; Budescu, M.; Munteanu, V.; Ioniță, O. Tensile characteristics of glass fibre reinforced polymeric bars. Rom. J. Mater. 2010, 40, 323–331. [Google Scholar]
- Oprișan, G.; Țăranu, N.; Munteanu, V.; Budescu, M.; Cozmanciuc, C.; Oltean, R. Improvement of concrete strength through confining with composite membranes. Rom. J. Mater. 2011, 41, 302–315. [Google Scholar]
- Kazem, H.; Rizkalla, S.; Kobayashi, A. Shear strengthening of steel plates using small-diameter CFRP strands. Compos. Struct. 2018, 184, 78–91. [Google Scholar] [CrossRef]
- Siwowski, T.W.; Siwowska, P. Experimental study on CFRP-strengthened steel beams. Compos. Part B Eng. 2018, 149, 12–21. [Google Scholar] [CrossRef]
- Bejan, L.; Țăranu, N.; Sârbu, A. Advanced polymeric composites with hybrid reinforcement. J. Optoelectron. Adv. Mater. 2010, 12, 1930–1934. [Google Scholar]
- Wang, H.T.; Wu, G. Bond-slip models for CFRP plates externally bonded to steel substrates. Compos. Struct. 2018, 184, 1204–1214. [Google Scholar] [CrossRef]
- Bejan, L.; Sârbu, A.; Țăranu, N. Component properties influence upon the elasticity modules of the cloth-reinforced polymeric composites. Revista de Materiale Plastice 2007, 44, 22–25. [Google Scholar]
- Ghiga, D.A.; Țăranu, N.; Ungureanu, D.; Isopescu, D.N.; Oprișan, G.; Hudișteanu, I. A detailed micro-modelling approach for the diagonal compression test of strengthened stone masonry walls. IOP Conf. Ser. Mater. Sci. Eng. 2020, 916, 012041. [Google Scholar] [CrossRef]
- Hartanto, D.; Hamed, E.; Agarwal, A.; Foster, S.J. Behaviour of steel-CFRP lap joints under hygrothermal cycles and sustained loadings. Compos. Struct. 2018, 203, 740–749. [Google Scholar] [CrossRef]
- Ghiga, D.A.; Țăranu, N.; Ungureanu, D.; Isopescu, D.N.; Scutaru, M.C.; Hudișteanu, I. Numerical modelling of structural behaviour of URM panels strengthened with cement matrix composites. IOP Conf. Ser. Mater. Sci. Eng. 2019, 591, 012037. [Google Scholar] [CrossRef] [Green Version]
- Hudișteanu, I.; Țăranu, N.; Isopescu, D.N.; Bejan, L.; Axinte, A.; Ungureanu, D. Improving the mechanical properties of composite laminates through the suitable selection of the corresponding materials and configurations. Rom. J. Mater. 2017, 47, 252–266. [Google Scholar]
- Al-Emrani, M.; Linghoff, D. Performance of steel beams strengthened with CFRP laminate—Part 2: FE analyses. Compos. Part B Eng. 2010, 41, 516–522. [Google Scholar]
- Ungureanu, D.; Țăranu, N.; Isopescu, D.N.; Lupășteanu, V.; Mihai, P.; Hudișteanu, I. Analytical and numerical study of adhesively bonded composite pultruded elements. Rom. J. Mater. 2017, 47, 522–531. [Google Scholar]
- Lupășteanu, V.; Țăranu, N.; Mihai, P.; Oprișan, G.; Lupășteanu, R.; Ungureanu, D. Behaviour of CFRP-to-steel interfaces in adhesively bonded joints. Rom. J. Mater. 2016, 46, 512–522. [Google Scholar]
- Sika CarboDur S, Product data sheet – CARBODUR S Section, Identification no. 02 04 01 01, 01.2008, Brasov, Romania. Available online: https://rou.sika.com/content/dam/dms/ro01/f/Lamele%20Sika%20CarboDur.pdf (accessed on 5 May 2021).
- Sika CarboDur M, Product data sheet – CARBODUR M Section, Identification no. 02 04 01 01, 01.2008, Brasov, Romania. Available online: https://rou.sika.com/content/dam/dms/ro01/f/Lamele%20Sika%20CarboDur.pdf (accessed on 5 May 2021).
- Sikadur 30, Product data sheet, Identification no: 02 04 01 04 001 0 000001, 2008, Brasov, Romania. Available online: http://www.concordoptim.ro/wp-content/uploads/2013/08/Sikadur%C2%AE-30-Adeziv-pentru-lamele-din-fibre-de-carbon.pdf (accessed on 5 May 2021).
- Sikadur 330, Product data sheet, Identification no: 02 04 01 04 001 0 000006, 2007, Brasov, Romania. Available online: https://rou.sika.com/dms/getdocument.get/9e195986-57ec-3922-8ab3-562c82a20a26/Sikadur%20300.pdf (accessed on 5 May 2021).
- Xia, S.H.; Teng, J.G. Behaviour of FRP-to-steel bonded joints. Proc. Int. Symp. Bond. Behav. FRP Struct. BBFS 2005, 411–418. [Google Scholar]
- Fernando, N.D. Bond Behaviour and Debonding Failures in CFRP-Strengthened Steel Members. Ph.D. Thesis, The Hong Kong Polytechnic University, Department of Civil and Structural Engineering, Hong Kong, 2010. [Google Scholar]
- EN 1993-1-1:2005 Design of steel structures—Part 1-1: General rules and rules for buildings; European Committee for Standardization: Brussels, Belgium, 2005.
- Ungureanu, D.; Țăranu, N.; Lupășteanu, V.; Isopescu, D.N.; Oprișan, G.; Mihai, P. Experimental and numerical investigation of adhesively bonded single lap and thick adherents joints between pultruded GFRP composite profile. Compos. Part B Eng. 2018, 146, 49–59. [Google Scholar] [CrossRef]
- Ungureanu, D.; Țăranu, N.; Isopescu, D.N.; Lupășteanu, V.; Scutaru, M.C.; Hudișteanu, I. Failure particularities of adhesively bonded joints between pultruded GFRP composite profiles. IOP Conf. Ser. -Mater. Sci. Eng. 2018, 400, 032011. [Google Scholar] [CrossRef] [Green Version]
- Zeng, J.J.; Gao, W.Y.; Liu, F. Interfacial behavior and debonding failures of full-scale CFRP-strengthened H-section steel beams. Compos. Struct. 2018, 201, 540–552. [Google Scholar] [CrossRef]
- Available online: https://wabrasives.com/en/standard-products/angular-steel-grit-blast-cleaning-surface-preparation.html (accessed on 12 May 2021).
- Sika Colma Cleaner, Product data sheet, Identification no. 020516020000000001, 04.2015, Romania. Available online: https://i.dedeman.ro/media/file/file/s/i/sika_colma_cleaner.pdf (accessed on 14 May 2021).
- Țăranu, N.; Ciobanu, P.; Popoaiei, S.; Mihai, P.; Budescu, M.; Lupășteanu, V. Improving the structural response of reinforced concrete beams strengthened with near surface mounted composite strips. Rom. J. Mater. 2016, 44, 325–340. [Google Scholar]
- Oprișan, G.; Țăranu, N.; Budescu, M.; Ențuc, I. Structural behaviour of reinforced concrete beams strengthened by CFRP plate bonding. Rom. J. Mater. 2012, 42, 387–398. [Google Scholar]
- Da Silva, L.F.M. Preparing lap joints with flat adherends. In Testing Adhesive Joints. Best Practices; da Silva, L.F.M., Dillard, D.A., Blackman, B., Adams, R.D., Eds.; Wiley—VCH Verlag GmbH & Co. KGaA: Weinheim, Germany, 2012; Volume 2012, pp. 15–21. [Google Scholar]
- Al-Azzawi, Z.; Stratford, T.; Rotter, M.; Bisby, L. FRP strengthening of web panels of steel plate girders against shear buckling Part-I: Static series of tests. Compos. Struct. 2018, 206, 728–738. [Google Scholar] [CrossRef] [Green Version]
- Peiris, A.; Harik, I. FRP-steel bond study of IM and UHM CFRP strips. Constr. Build. Mater. 2018, 185, 628–637. [Google Scholar] [CrossRef]
- Hudișteanu, I.; Țăranu, N.; Isopescu, D.N.; Ențuc, I.; Oprișan, G.; Ungureanu, D. Numerical analysis of intralaminar damage evolution on various composite laminates. IOP Conf. Ser. -Mater. Sci. Eng. 2018, 400, 042031. [Google Scholar] [CrossRef]
- Chandrathilaka, E.R.K.; Gamage, J.C.P.H.; Fawzia, S. Mechanical characterisation of CFRP/steel bond cured and tested at elevated temperature. Compos. Struct. 2019, 207, 471–477. [Google Scholar] [CrossRef]
- Jiang, X.; Kolstein, M.H.; Bijlaard, F.S.K. Experimental and numerical study on mechanical behavior of an adhesively-bonded joint of FRP–steel composite bridge under shear loading. Compos. Struct. 2014, 108, 87–399. [Google Scholar] [CrossRef]
- Jiang, X.; Kolstein, M.H.; Bijlaard, F.S.K. Study on mechanical behaviors of FRP-to-steel adhesively-bonded joint under tensile loading. Compos. Struct. 2013, 98, 192–201. [Google Scholar] [CrossRef]
- Jiang, X.; Kolstein, M.H.; Bijlaard, F.S.K. Experimental investigation on mechanical behavior of FRP-to-steel adhesively-bonded joint under combined loading-part 1: Before hygrothermal aging. Compos. Struct. 2015, 125, 672–686. [Google Scholar] [CrossRef]
- Al-Mosawe, A.; Al-Mahaidi, R.; Zhao, X.L. Bond behaviour between CFRP laminates and steel members under different loading rates. Compos. Struct. 2016, 148, 236–251. [Google Scholar] [CrossRef]
- He, J.; Xian, G. Debonding of CFRP-to-steel joints with CFRP delamination. Compos. Struct. 2016, 153, 12–20. [Google Scholar] [CrossRef]
- ANSYS Workbench User’s Guide; ANSYS: Canonsburg, PA, USA, 2009.
- Stein, N.; Rosendahle, P.L.; Becker, W. Homogenization of mechanical and thermal stresses in functionally graded adhesive joints. Compos. B Eng. 2017, 111, 279–293. [Google Scholar] [CrossRef]
- Razavi, S.M.J.; Ayatollahi, M.R.; Majidi, H.R.; Berto, F. A strain-based criterion for failure load prediction of steel/CFRP double strap joints. Compos. Struct. 2018, 206, 116–123. [Google Scholar] [CrossRef] [Green Version]
- Ribeiro, F.M.F.; Campilho, R.D.S.G.; Carbas, R.J.C.; da Silva, L.F.M. Strength and damage growth in composite bonded joints with defects. Compos. B Eng. 2016, 100, 91–100. [Google Scholar] [CrossRef]
























| Table S235. | S235 JR |
|---|---|
| Thickness, ts (mm) | 10 |
| Width, bs (mm) | 120 |
| Length, ls (mm) | 500 |
| Yielding strength, fy,s (N/mm2) | 235 |
| Ultimate strength in tension, fu,s (N/mm2) | 360 |
| Modulus of elasticity, Es (GPa) | 210 |
| Shear modulus of elasticity, Gs (GPa) | 81 |
| Poisson’s ratio, νs | 0.3 |
| Thermal coefficient of expansion, α (1/oC) | 12 × 10−6 |
| Properties | Sika Carbodur S512 | Sika Carbodur M514 |
|---|---|---|
| Density (kg/m3) | 1600 | |
| Fibre volume fraction (%) | ≥68 | |
| Thickness, tCFRP,512/514 (mm) | 1.2 | 1.4 |
| Width, bCFRP (mm) | 50 | 50 |
| Length, lCFRP (mm) | 550 | 550 |
| Cross sectional area (mm2) | 60 | 70 |
| Longitudinal modulus of elasticity, ECFRP,512/514 (GPa) (average values) | 165 | 210 |
| Tensile strength, ft,CFRP,512/514 (N/mm2) | 3100 | 3200 |
| Elongation at break, εu,CFRP,512/514 (%) (minimum values) | >1.70 | >1.35 |
| Type | Density (kg/m3) (Mixed) | Compressive Strength, fc,a (N/mm2) | Tensile Strength, ft,a (N/mm2) | Modulus of Elasticity, Ea (GPa) | Elongation at Break, εu,adh (%) |
|---|---|---|---|---|---|
| Sika 30 | 1650 | 70–80 (7 days, +10 °C) | 25–28 (7 days, +15 °C) | 12.8 (7 days, +15 °C) | 1.0% |
| Sika 330 | 1300 | 30 (7 days, +23 °C) | 33.8 (7 days, +23 °C) | 4.5 (7 days, +23 °C) | 0.9% |
| Grading | 0.180 mm—99.8% 0.425 mm—0.2% |
| Hardness (Rockwell scale) | 55.7 HRC |
| Density (kg/m3) | 7600 |
| Chemical composition | C ≥ 0.85%/P ≤ 0.05%/S ≤ 0.05%/0.40% < Si < 1.20% |
| No. | Type | Adhesive Type | Adhesive Tensile Strength, ft,a30/330 (N/mm2) | Adhesive Modulus of Elasticity, Ea,30/330 (GPa) | Adhesive Thickness, ta,30/330 (mm) | Ultimate Load, Pult (kN) | Failure Mechanism |
|---|---|---|---|---|---|---|---|
| 1 | S-S512-30-1-I | Sikadur 30 | 25 | 12.80 | 1 | 42.10 | C+D |
| 2 | S-S512-30-1-II | Sikadur 30 | 25 | 12.80 | 1 | 38.30 | C+D |
| 3 | S-S512-30-1-III | Sikadur 30 | 25 | 12.80 | 1 | 39.40 | C+D+SAI |
| 4 | S-S512-30-2-I | Sikadur 30 | 25 | 12.80 | 2 | 37.85 | C+D+SAI |
| 5 | S-S512-30-2-II | Sikadur 30 | 25 | 12.80 | 2 | 38.65 | C+D |
| 6 | S-S512-30-2-III | Sikadur 30 | 25 | 12.80 | 2 | 34.87 | C+D+SAI |
| 7 | S-S512-330-1-I | Sikadur 330 | 30 | 4.50 | 1 | 74.80 | CAI |
| 8 | S-S512-330-1-II | Sikadur 330 | 30 | 4.50 | 1 | 78.80 | CAI |
| 9 | S-S512-330-1-III | Sikadur 330 | 30 | 4.50 | 1 | 48.00 | CAI+D |
| 10 | S-S512-330-2-I | Sikadur 330 | 30 | 4.50 | 2 | 70.20 | CAI |
| 11 | S-S512-330-2-II | Sikadur 330 | 30 | 4.50 | 2 | 61.25 | CAI+SAI |
| 12 | S-M514-30-1-I | Sikadur 30 | 28 | 12.80 | 1 | 22.41 | C+SAI |
| 13 | S-M514-30-1-II | Sikadur 30 | 28 | 12.80 | 1 | 51.06 | C+SAI+D |
| 14 | S-M514-30-1-III | Sikadur 30 | 28 | 12.80 | 1 | 46.55 | C+SAI+D |
| 15 | S-M514-30-2-I | Sikadur 30 | 28 | 12.80 | 2 | 10.00 | C+D |
| 16 | S-M514-30-2-II | Sikadur 30 | 28 | 12.80 | 2 | 42.85 | C+D |
| 17 | S-M514-330-1-I | Sikadur 330 | 30 | 4.50 | 1 | 80.80 | SAI+CAI +D |
| 18 | S-M514-330-1-II | Sikadur 330 | 30 | 4.50 | 1 | 99.25 | CAI |
| 19 | S-M514-330-1-III | Sikadur 330 | 30 | 4.50 | 1 | 85.00 | CAI+SAI |
| 20 | S-M514-330-2-I | Sikadur 330 | 30 | 4.50 | 2 | 56.90 | CAI+D |
| 21 | S-M514-330-2-II | Sikadur 330 | 30 | 4.50 | 2 | 53.35 | CAI+SAI |
| 22 | S-S512-30-3-I | Sikadur 30 | 28 | 12.80 | 3 | 39.30 | C+D+SAI |
| 23 | S-S512-30-3-II | Sikadur 30 | 28 | 12.80 | 3 | 38.75 | C |
| 24 | S-S512-30-3-III | Sikadur 30 | 28 | 12.80 | 3 | 36.43 | C+D |
| 25 | S-S512-330-3-I | Sikadur 330 | 30 | 4.50 | 3 | 23.10 | CAI+D |
| 26 | S-S512-330-3-II | Sikadur 330 | 30 | 4.50 | 3 | 51.25 | CAI |
| 27 | S-M514-30-3-I | Sikadur 30 | 28 | 12.80 | 3 | 39.80 | C+D+SAI |
| 28 | S-M514-30-3-II | Sikadur 30 | 28 | 12.80 | 3 | 42.95 | C+D |
| 29 | S-M514-330-3-I | Sikadur 330 | 30 | 4.50 | 3 | 49.65 | CAI+D +SAI |
| 30 | S-M514-330-3-II | Sikadur 330 | 30 | 4.50 | 3 | 44.60 | CAI+SAI |
| 31 | NS-S512-30-1-I | Sikadur 30 | 28 | 12.80 | 1 | 32.1 | C+SAI |
| 32 | NS-S512-30-1-II | Sikadur 30 | 28 | 12.80 | 1 | 31.5 | C+SAI |
| 33 | NS-M514-330-1-I | Sikadur 330 | 30 | 4.50 | 1 | 54.05 | SAI+CAI |
| 34 | NS-M514-330-1-II | Sikadur 330 | 30 | 4.50 | 1 | 50.6 | SAI+CAI |
Publisher’s Note: MDPI stays neutral with regard to jurisdictional claims in published maps and institutional affiliations. |
© 2021 by the authors. Licensee MDPI, Basel, Switzerland. This article is an open access article distributed under the terms and conditions of the Creative Commons Attribution (CC BY) license (https://creativecommons.org/licenses/by/4.0/).
Share and Cite
Lupășteanu, V.; Ungureanu, D.; Țăranu, N.; Isopescu, D.N.; Lupășteanu, R.; Mihai, P. Structural Response of Bonded Joints between FRP Composite Strips and Steel Plates. Materials 2021, 14, 6722. https://doi.org/10.3390/ma14216722
Lupășteanu V, Ungureanu D, Țăranu N, Isopescu DN, Lupășteanu R, Mihai P. Structural Response of Bonded Joints between FRP Composite Strips and Steel Plates. Materials. 2021; 14(21):6722. https://doi.org/10.3390/ma14216722
Chicago/Turabian StyleLupășteanu, Vlad, Dragoș Ungureanu, Nicolae Țăranu, Dorina Nicolina Isopescu, Radu Lupășteanu, and Petru Mihai. 2021. "Structural Response of Bonded Joints between FRP Composite Strips and Steel Plates" Materials 14, no. 21: 6722. https://doi.org/10.3390/ma14216722
APA StyleLupășteanu, V., Ungureanu, D., Țăranu, N., Isopescu, D. N., Lupășteanu, R., & Mihai, P. (2021). Structural Response of Bonded Joints between FRP Composite Strips and Steel Plates. Materials, 14(21), 6722. https://doi.org/10.3390/ma14216722

