New Insights on Solvent Implications in the Design of Materials Based on Cellulose Derivatives Using Experimental and Theoretical Approaches
Abstract
:1. Introduction
2. Experimental
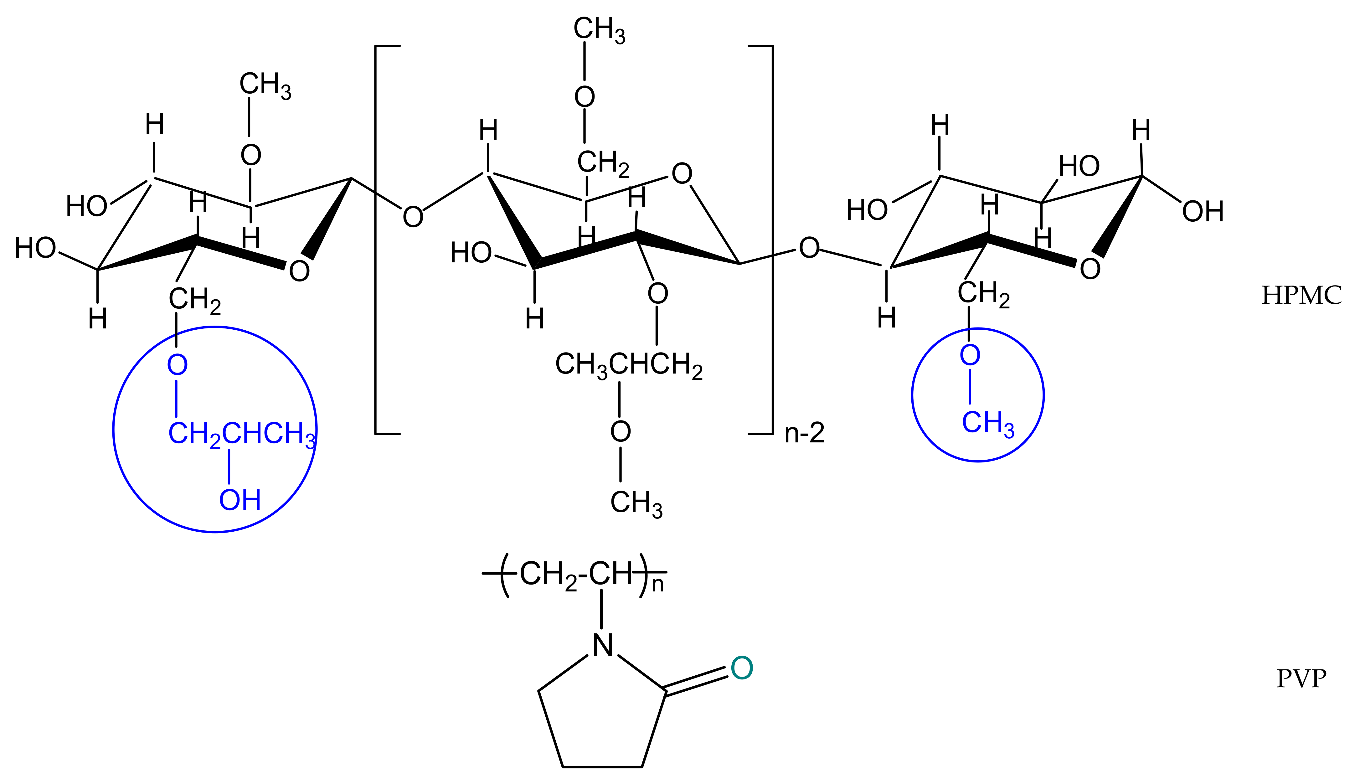
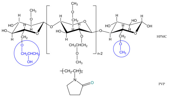
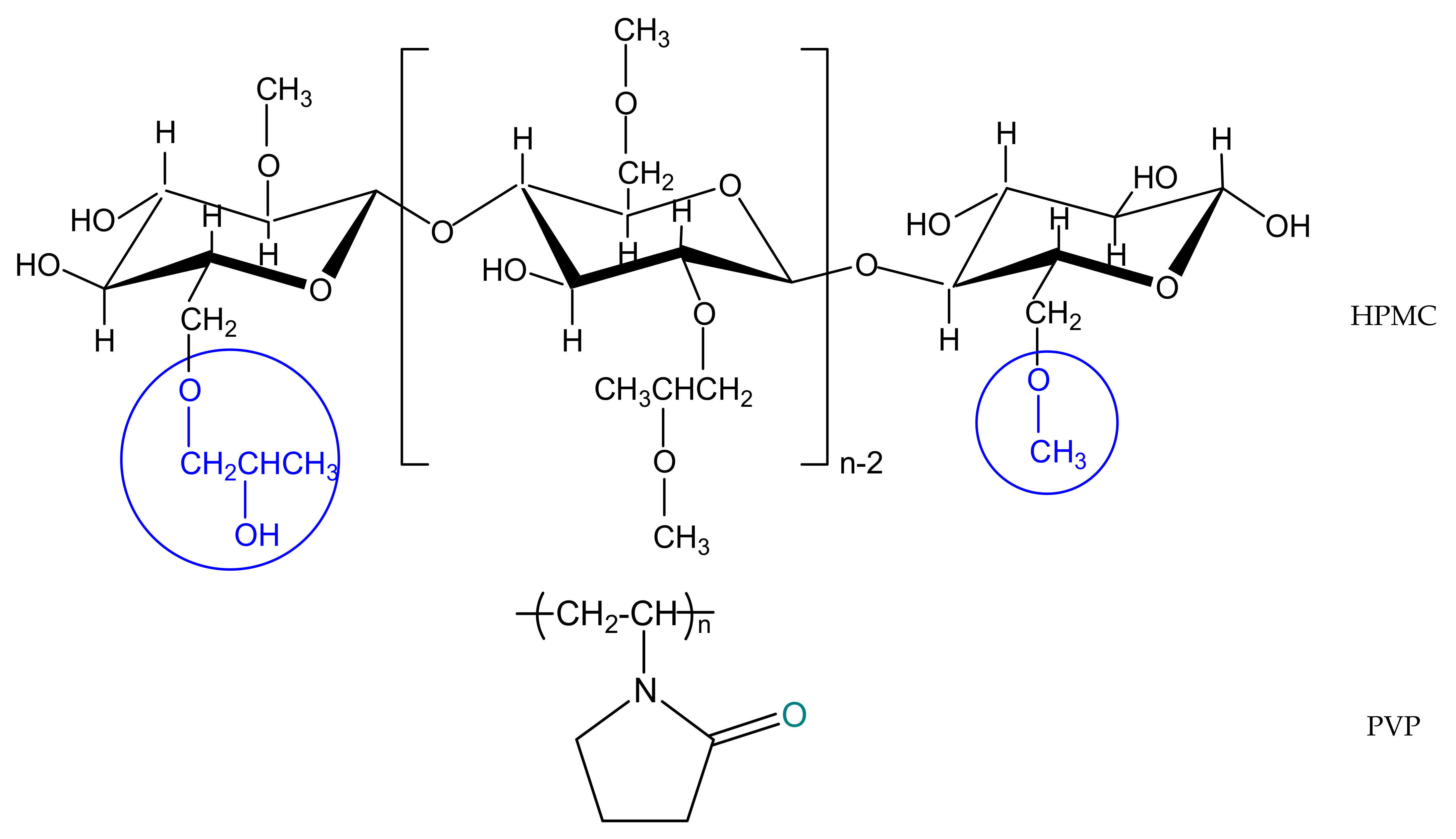
2.1. Materials
2.2. Preparation of the Polymer Mixture Solutions
2.3. Measurements
3. Results and Discussion
3.1. Theoretical Background: Approaches to the Group Contributions to Calculate Solubility Parameters
3.1.1. Bicerano Formalism
3.1.2. Prediction of Hansen Solubility Parameters: A New Group-Contribution Method
3.2. Thermodynamic Approach Based on Group Contribution Methods to Evaluate the Solubility Parameters of HPMC/PVP/Water System
3.3. Viscometric Behavior of HPMC/PVP System in Water
4. Conclusions
Author Contributions
Funding
Institutional Review Board Statement
Informed Consent Statement
Data Availability Statement
Conflicts of Interest
References
- Pinto, J.T.; Faulhammer, E.; Dieplinger, J.; Dekner, M.; Makert, C.; Nieder, M.; Paudel, A. Progress in spray-drying of protein pharmaceuticals: Literature analysis of trends in formulation and process attributes. Dry. Technol. 2021, 39, 1415–1446. [Google Scholar] [CrossRef]
- Liu, J.; Grohganz, H.; Lobmann, K.; Rades, T.; Hempel, N.J. Co-amorphous drug formulations in numbers: Recent advances in co-amorphous drug formulations with focus on co-formability, molar ratio, preparation methods, physical stability, in vitro and in vivo performance, and new formulation strategies—A review. Pharmaceutics 2021, 13, 389. [Google Scholar] [CrossRef] [PubMed]
- Luo, Y.; Hong, Y.; Shen, L.; Wu, F.; Lin, X. Multifunctional role of polyvinylpyrrolidone in pharmaceutical formulations—A review. AAPS PharmSciTech 2021, 22, 34. [Google Scholar] [CrossRef] [PubMed]
- Fadnis, C.; Illiger, S.R.; Rao, K.P.; Demappa, T. Miscibility studies of HPMC/PVA blends in water by viscosity, density, refractive index and ultrasonic velocity method. Carbohyd. Polym. 2008, 74, 779–782. [Google Scholar] [CrossRef]
- Teodorescu, M.; Bercea, M.; Morariu, S. Miscibility study on polymer mixtures in dilute solution. Colloids Surf. A. 2018, 559, 325–333. [Google Scholar] [CrossRef]
- Prakash, Y.; Mahadevaiah, D.; Somashekarappa, H.; Demappa, T.; Somashekar, R. Microstructural parameters of HPMC/PVP polymer blends using wide angle X-Ray technique. J. Res. Updates Polym. Sci. 2012, 1, 24–31. [Google Scholar] [CrossRef]
- Hiremath, A.C.; Sherigara, S.; Prashantha, K.; Sheshappa Raih, K.; Prassanna Kumar, S. Studies on the miscibility of hydroxy propyl methyl cellulose and poly(vinyl pyrollidone) blends. Indian J. Chem. Technol. 2002, 9, 312–315. [Google Scholar]
- Flory, P.J. Principles of Polymer Chemistry; Cornell University Press: Ithaca, NY, USA, 1953. [Google Scholar]
- Zhou, X.D.; Zhang, S.C.; Huebner, W.; Ownby, P.D.; Gu, H. Effect of the solvent on the particle morphology of spray dried PMMA. J. Mater. Sci. 2001, 36, 3759–3768. [Google Scholar] [CrossRef]
- Bruno, C.; Hancock, P.; York, R. The use of solubility parameters in pharmaceutical dosage form design. Int. J. Pharm. 1997, 148, 1–21. [Google Scholar]
- De Gennes, P.G.; Pincus, P.; Velasco, R.M.; Brochard, F. Remarks on polyelectrolyte conformation. J. Phys. France 1976, 37, 1461–1473. [Google Scholar] [CrossRef]
- Dobrynin, A.V.; Colby, R.H.; Rubinstein, M. Scaling theory of polyelectrolyte solutions. Macromolecules 1995, 28, 1859–1871. [Google Scholar] [CrossRef]
- Fedors, R.F. An equation suitable for describing the viscosity of dilute to moderately concentrated polymer solutions. Polymer 1979, 20, 225–228. [Google Scholar] [CrossRef]
- Rao, M.V.S. Viscosity of dilute to moderately concentrated polymer solutions. Polymer 1993, 34, 592–596. [Google Scholar] [CrossRef]
- Yang, Y. Interpretation of viscosity behavior of a polyelectrolyte in a salt-free polar solvent by ion-association. J. Macromol. Sci. Part B—Phys. 2004, 43, 845–858. [Google Scholar] [CrossRef]
- Ioan, S.; Filimon, A.; Avram, E. Conformational and visometric behavior of quaternized polysulfone in dilute solution. Polym. Eng. Sci. 2006, 46, 827–836. [Google Scholar] [CrossRef]
- Wolf, B.A. Polyelectrolytes revisited: Reliable determination of intrinsic viscosities. Macromol. Rapid. Commun. 2007, 28, 164–170. [Google Scholar] [CrossRef]
- Eckelt, J.; Knopf, A.; Wolf, B.A. Polyelectrolytes: Intrinsic viscosities in the absence and in the presence of salt. Macromolecules 2008, 41, 912–918. [Google Scholar] [CrossRef]
- Wolf, B.A. Shear thinning: Determination of zero-shear viscosities from measurements in the non-newtonian region. Macromol. Chem. Phys. 2020, 221, 2000130. [Google Scholar] [CrossRef]
- Wolf, B.A. Polymer solutions: Equilibrium clusters versus shear clusters. Polymer 2021, 212, 123149. [Google Scholar] [CrossRef]
- Nair, A.R.; Lakshman, Y.D.; Anand, V.S.K.; Sree, K.S.N.; Bhat, K.; Dengale, S.J. Overview of extensively employed polymeric carriers in solid dispersion technology—A review. AAPS PharmSciTech. 2020, 21, 309. [Google Scholar] [CrossRef]
- Unlu, D. Pervaporative desalination of water using hydroxypropyl methylcellulose/polyvinylpyrrolidone blend membranes. J. Inno. Sci. Eng. 2020, 4, 35–43. [Google Scholar]
- Kurakula, M.; Koteswara Rao, G.S.N. Pharmaceutical assessment of polyvinylpyrrolidone (PVP): As excipient from conventional to controlled delivery systems with a spotlight on COVID-19 inhibition—A review. J. Drug Deliv. Sci. Technol. 2020, 60, 102046. [Google Scholar] [CrossRef]
- Karavas, E.; Georgarakis, E.; Bikiaris, D. Adjusting drug release by using miscible polymer blends as effective drug carries. J. Therm. Anal. Calorim. 2006, 84, 125–133. [Google Scholar] [CrossRef]
- Bashir, S.; Zafar, N.; Lebaz, N.; Mahmood, A.; Elaissari, A. Hydroxypropyl methylcellulose-based hydrogel copolymeric for controlled delivery of galantamine hydrobromide in dementia. Processes 2020, 8, 1350. [Google Scholar] [CrossRef]
- Kim, S.J.; Park, S.J.; Kim, I.Y.; Lee, Y.H.; Kim, S.I. Thermal characteristics of poly(vinyl alcohol) and poly(vinylpyrrolidone) IPNs. J. Appl. Polym. Sci. 2002, 86, 1844–1847. [Google Scholar]
- Petkova, D.; Borlinghaus, N.; Sharma, S.; Kaschel, J.; Lindner, T.; Klee, J.; Jolit, A.; Haller, V.; Heitz, S.; Britze, K.; et al. Hydrophobic pockets of HPMC enable extremely short reaction times in water. ACS Sustainable Chem. Eng. 2020, 8, 12612–12617. [Google Scholar] [CrossRef]
- Panraksa, P.; Udomsom, S.; Rachtanapun, P.; Chittasupho, C.; Ruksiriwanich, W.; Jantrawut, P. Hydroxypropyl methylcellulose E15: A hydrophilic polymer for fabrication of orodispersible film using syringe extrusion 3D printer. Polymers 2020, 12, 2666. [Google Scholar] [CrossRef] [PubMed]
- Huggins, M.L. The viscosity of dilute solutions of long-chain molecules. IV. Dependence on concentration. J. Am. Chem. Soc. 1942, 64, 2716. [Google Scholar] [CrossRef]
- Wolf, B.A. Intrinsic viscosities of polymer blends and polymer compatibility: Self-organization and Flory–Huggins interaction parameters. Macromol. Chem. Phys. 2018, 219, 1800249. [Google Scholar] [CrossRef]
- Wolf, B.A. Extension of the concept of intrinsic viscosities to arbitrary polymer concentration: From [η] via {η} to intrinsic bulkiness. Macromolecules 2019, 52, 3231–3236. [Google Scholar] [CrossRef]
- Bicerano, J. Prediction of the properties of polymers from their structures. J. Macromol. Sci. Polymer Rev. 1996, 36, 161–196. [Google Scholar] [CrossRef]
- Stefanis, E.; Panayiotou, C. Prediction of Hansen solubility parameters with a New Group-Contribution. Method. Int. J. Thermophys. 2008, 29, 568–585. [Google Scholar] [CrossRef]
- Barton, A.F.M. CRC Handbook of Solubility Parameters and Other Cohesion Parameters, 2nd ed.; CRC Press: Boca Raton, FL, USA, 1991. [Google Scholar]
- Miller-Chou, B.A.; Koenig, J.L. A review of polymer dissolution. Prog. Polym. Sci. 2003, 28, 1223–1270. [Google Scholar] [CrossRef] [Green Version]
- Hansen, C.M. Hansen Solubility Parameters: A User’s Handbook; CRC Press: Boca Raton, FL, USA, 2000. [Google Scholar]
- Grulke, E.A. Solubility Parameter Values. In Polymer Handbook, 4th ed.; Brandrup, J., Immergut, E.H., Grulke, E.A., Eds.; Wiley: New York, NY, USA, 1999; Volume 7, pp. 675–714. [Google Scholar]
- Bicerano, J. Prediction of Polymer Properties, 1st ed.; Marcel Dekker: New York, NY, USA, 1993. [Google Scholar]
- Chen, X.; Partheniadis, I.; Nikolakakis, I.; Al-Obaidi, H. Solubility improvement of progesterone from solid dispersions prepared by solvent evaporation and co-milling. Polymers 2020, 12, 854. [Google Scholar] [CrossRef] [Green Version]
- Jankovic, S.; Tsakiridou, G.; Ditzinger, F.; Koehl, N.J.; Price, D.J.; Ilie, A.R.; Kalantzi, L.; Kimpe, K.; Holm, R.; Nair, A.; et al. Application of the solubility parameter concept to assist with oral delivery of poorly water-soluble drugs—A Pearrl review. J. Pharm. Pharmacol. 2018, 71, 441–463. [Google Scholar] [CrossRef] [PubMed] [Green Version]
- Hansen, C.M. Hansen Solubility Parameters, A User’s Handbook, 2nd ed.; CRC Press: Boca Raton, FL, USA, 2007. [Google Scholar]
- Han, K.H.; Jeon, G.S.; Hong, I.K.; Lee, S.B. Prediction of solubility parameter from intrinsic viscosity. J. Ind. Eng. Chem. 2013, 19, 1130–1136. [Google Scholar] [CrossRef]
- Medarevic, D.; Djuris, J.; Barmpalexis, P.; Kachrimanis, K.; Ibric, S. Analytical and computational methods for the estimation of drug-polymer solubility and miscibility in solid dispersions development. Pharmaceutics 2019, 11, 372. [Google Scholar] [CrossRef] [Green Version]
- Piccinni, P.; Tian, Y.; McNaughton, A.; Fraser, J.; Brown, S.; Jones, D.S.; Li, S.; Andrews, G.P. Solubility parameter-based screening methods for early-stage formulation development of itraconazole amorphous solid dispersions. J. Pharm. Pharmacol. 2016, 68, 705–720. [Google Scholar] [CrossRef]
- Hansen, C.M. The three dimensional solubility parameter—Key to paint component affinities I.—Solvents, plasticizers, polymers, and resins. J. Paint Techn. 1967, 39, 104–117. [Google Scholar]
- Hansen, C.M. Surface roughness profiles and coatings performance. J. Paint Techn. 1972, 44, 61–66. [Google Scholar]
- Burrell, H. Solubility parameters for film formers. Off. Dig. Fed. Soc. Paint Technol. 1955, 27, 726–758. [Google Scholar]
- Beerbower, A. Environmental Capability of Liquid Lubricants. In Interdisciplinary Approach to Liquid Lubricant Technology; NASA Publication SP-318: Linden, NJ, United States, 1973; pp. 365–431. [Google Scholar]
- Van Krevelen, D.W. Properties of Polymers: Their Correlation with Chemical Structure; Their Numerical Estimation and Prediction from Additive Group Contributions, 3rd ed.; Elsevier: Amsterdam, The Netherlands, 1990. [Google Scholar]
- Fredenslund, A.; Gmehling, J.; Rasmussen, P. Vapor-Liquid Equilibria using UNIFAC, A Group Contribution Method; Elsevier: Amsterdam, The Netherlands, 1977; p. 380. [Google Scholar]
- Stefanis, E.; Panayiotou, C. A new expanded solubility parameter approach. Int. J. Pharm. 2012, 426, 29–43. [Google Scholar]
- Burke, J. Solubility Parameters: Theory and Application. AIC Book and Paper Group Annual. 1984, 3, 13–58. [Google Scholar]
- Crowley, J.D.; Teague, G.S., Jr.; Lowe, J.W., Jr. A three-dimensional approach to solubility. J. Paint Technol. 1966, 38, 269–280. [Google Scholar]
- Hansen, C.M. Solvent Formulation and Personal Protection for Least Risk; Paint Research Association: Teddington, London, UK, 1994; pp. 1–20. [Google Scholar]
- Mugheirbi, N.A.; Mosquera-Giraldo, L.I.; Borca, C.H.; Slipchenko, L.V.; Taylor, L.S. Phase behavior of drug-hydroxypropyl methylcellulose amorphous solid dispersions produced from various solvent systems: Mechanistic understanding of the role of polymer using experimental and theoretical methods. Mol. Pharmaceutics 2018, 15, 3236–3251. [Google Scholar] [CrossRef]
- Mohammad, M.A.; Alhalaweh, M.; Velaga, S.P. Hansen solubility parameter as a tool to predict cocrystal formation. Int. J. Pharm. 2011, 407, 63–71. [Google Scholar] [CrossRef]
- Altamimi, M.; Haq, N.; Alshehri, S.; Qamar, W.; Shakeel, F. Enhanced skin permeation of hydrocortisone using nanoemulsion as potential vehicle. Chemistryselect 2019, 4, 10084–10091. [Google Scholar] [CrossRef]
- Adamsk, K.; Voelkel, A. Inverse gas chromatographic determination of solubility parameters of excipients. Int. J. Pharm. 2005, 4, 11–17. [Google Scholar] [CrossRef]
- Arpa, M.D.; Unukur, M.Z.; Erim, U.C. Formulation, characterization and in vitro release studies of terbinafine hydrochloride loaded buccal films. J. Pharm. Res. 2021, 25, 659–673. [Google Scholar]
- Price, D.J.; Ditzingerc, F.; Koehl, N.J.; Jankovic, S.; Tsakirido, G.; Nair, A.; Holm, R.; Kuentz, M.; Dressman, J.B.; Saal, C. Approaches to increase mechanistic understanding and aid in the selection of precipitation inhibitors for supersaturating formulations—A Pearrl review. J. Pharm. Pharmacol. 2019, 71, 483–509. [Google Scholar] [CrossRef] [Green Version]
- Niederquell, A.; Wyttenbach, N.; Kuentz, M. New prediction methods for solubility parameters based on molecular sigma profiles using pharmaceutical materials. Int. J. Pharm. 2018, 546, 137–144. [Google Scholar] [CrossRef] [PubMed]
- Bustamante, P.; Navarro-Lupion, J.; Escalera, B. A new method to determine the partial solubility parameters of polymers from intrinsic viscosity. Eur. J. Pharm. Sci. 2005, 24, 229–237. [Google Scholar] [CrossRef] [PubMed]
- Available online: https://www.accudynetest.com/solubility_table.html (accessed on 9 September 2021).
- Sheskey, P.J.; Cook, W.G.; Cable, C.G.; American Pharmacists Association. Handbook of Pharmaceutical Excipients; Pharmaceutical Press: London, UK, 2017. [Google Scholar]
- Zhang, J.; Wang, Y.; Wang, G.; Hao, H.; Wang, H.; Luan, Q.; Jiang, C. Determination and correlation of solubility of spironolactone formII in pure solvents and binary solvent mixtures. J. Chem. Thermodyn. 2014, 79, 61–68. [Google Scholar] [CrossRef]
- Kalam, M.A.; Khan, A.A.; Alshamsan, A.; Haque, A.; Shakeel, F. Solubility of a poorly soluble immunosuppressant in different pure solvents: Measurement, correlation, thermodynamics and molecular interactions. J. Mol. Liq. 2018, 249, 53–60. [Google Scholar] [CrossRef]
- Milliman, H.W.; Boris, D.; Schiraldi, D.A. Experimental determination of Hansen solubility parameters for select POSS and polymer compounds as a guide to POSS-Polymer interaction potentials. Macromolecules 2012, 45, 1931–1936. [Google Scholar] [CrossRef]
- Nasouri, K.; Shoushtari, A.M.; Mojtahedi, M.R.M. Thermodynamic studies on polyvinylpyrrolidone solution systems used for fabrication of electrospun nanostructures: Effects of the solvent. Adv. Polym. Technol. 2015, 34, 21495. [Google Scholar] [CrossRef]
- El-Sonbati, A.Z.; El-Bindary, A.A.A.; Shoair, A.G.F.; Younes, R.M. Stereochemistry of new nitrogen containing heterocyclic aldehyde. Potentiometric, Conductometric andthermodynamic studies of novel Quinoline Azodyes and their metal complexes with some transition metals. Chem. Pharm. Bull. 2001, 49, 1308–1313. [Google Scholar] [CrossRef] [Green Version]
- Filimon, A.; Dobos, A.M.; Avram, E.; Ioan, S. Ionic polymers based on quaternized polysulfones: Hydrodynamic properties of polymer mixtures in solution. Pure Appl. Chem. 2014, 86, 1871–1882. [Google Scholar] [CrossRef]
- Nawfel, M.B. Review in causes of viscosity in fluids. J. Bio. Innov. 2017, 6, 117–123, ISSN 2277-8330. [Google Scholar]
- Somashekarappa, H.; Prakash, Y.; Hemalatha, K.; Demappa, T.; Somashekar, R. Preparation and characterization of HPMC/PVP blend films plasticized with sorbitol. Indian J. Eng. Mater. 2013, 307514, 1–7. [Google Scholar] [CrossRef]
- Centkowska, K.; Lawrecka, E.; Sznitowska, M. Technology of orodispersible polymer films with micronized loratadine-Influence of different drug loadings on film properties. Pharmaceutics 2020, 12, 250. [Google Scholar] [CrossRef] [PubMed] [Green Version]
- Kulicke, W.M.; Kotter, M.; Grager, H. Drag reduction phenomenon with special emphasis on homogeneous polymer solutions. Adv. Polym. Sci. 1989, 89, 1–68. [Google Scholar]
- Jarray, A.; Gerbaud, V.; Hemati, M. Polymer-plasticizer compatibility during coating formulation: Amulti-scale investigation. Prog. Org. Coat. 2016, 101, 195–206. [Google Scholar] [CrossRef] [Green Version]
- Zarmpi, P.; Flanagan, T.; Meehan, E.; Mann, J.; Fotaki, N. Biopharmaceutical aspects and implications of excipient variability in drug product performance. Eur. J. Pharm. Biopharm. 2017, 111, 1–15. [Google Scholar] [CrossRef]
- Eich, A.; Wolf, B.A. Intrinsic viscosities of polyelectrolytes: Determination and modeling of the effects of extra salt. Chem. Phys. Chem. 2011, 12, 2786–2790. [Google Scholar] [CrossRef]
- Suresha, P.R.; Badiger, M.V.; Wolf, B.A. Polyelectrolytes in dilute solution: Viscometric access to coil dimensions and salt effects. RSC Adv. 2015, 5, 27674–27681. [Google Scholar] [CrossRef]
- Eckelt, A.; Eckelt, J.; Wolf, B.A. Interpolymer complexes and polymer compatibility. Macromol. Rapid Commun. 2012, 33, 1933–1937. [Google Scholar] [CrossRef]
- Brunchi, C.E.; Bercea, M.; Morariu, S.; Avadanei, M. Investigations on the interactions between xanthan gum and poly(vinyl alcohol) in solid state and aqueous solutions. Eur. Polym. J. 2016, 84, 161–172. [Google Scholar] [CrossRef]
- Haiyang, Y.; Pingping, Z.; Feng, R.; Yuanyuan, W.; Tiao, Z. Viscometric investigations on the intermolecular interactions between poly(methyl methacrylate) and poly(vinyl acetate) in various solvents. Eur. Polym. J. 2000, 36, 21–26. [Google Scholar] [CrossRef]
- Rogosic, M.; Mencer, H.J. Prediction of copolymer miscibility by the viscometric method. Eur. Polym. J. 1997, 33, 621–630. [Google Scholar] [CrossRef]
- Kavlak, S.; Can, H.K.; Güner, A. Miscibility studies on poly(ethylene glycol)/dextran blends in aqueous solutions by dilute solution viscometry. J. Appl. Polym. Sci. 2004, 94, 453–460. [Google Scholar] [CrossRef]
- LaFountaine, J.S.; Prasad, L.K.; Brough, C.; Miller, D.A.; McGinity, J.W.; Williams III, R.O. Thermal processing of PVP- and HPMC-based amorphous solid dispersions. AAPS PharmSciTech. 2016, 17, 120–132. [Google Scholar] [CrossRef] [Green Version]
- Teng, J.; Bates, S.; Engers, D.A.; Leach, K.; Schields, P.; Yang, Y. Effect of water vapor sorption on local structure of poly(vinylpyrrolidone). J. Pharm. Sci. 2010, 99, 3815–3825. [Google Scholar] [CrossRef]
- Kamli, M.; Guettari, M.; Tajouri, T. Structure of polyvinylpyrrolidone aqueous solution in semi-dilute regime: Roles of polymer-surfactant complexation. J. Mol. Struct. 2019, 1196, 176–185. [Google Scholar] [CrossRef]
- Vijayalakshmi, R.; Ashokan, P.V.; Shridhar, M.H. Miscible blends of cellulose acetate hydrogen phthalate and poly(vinyl pyrollidone) characterization by viscometry, ultrasound, and DSC. J. Appl. Polym. Sci. 2000, 76, 859–867. [Google Scholar]
- Nyamwey, N.; Hoag, S.W. Assessment of polymer-polymer interactions in blends of HPMC and film forming polymers by modulated, temperature differential scanning, calorimetry. Pharm. Res. 2000, 17, 625–631. [Google Scholar] [CrossRef] [PubMed]







| Atom | Hyb | |||
|---|---|---|---|---|
| C | sp3 | 3 | 1 | 1 |
| 2 | 2 | 2 | ||
| 0 | 4 | 4 | ||
| sp2 | 1 | 2 | 3 | |
| 0 | 3 | 4 | ||
| N | sp3 | 0 | 3 | 5 |
| O | sp3 | 1 | 1 | 5 |
| 0 | 2 | 6 | ||
| sp2 | 0 | 1 | 6 |
| Polymers | Connectivity Indices | |||
|---|---|---|---|---|
| HPMC | 18.40 | 18.81 | 15.43 | 10.88 |
| PVP | 5.56 | 4.76 | 3.88 | 2.82 |
| Materials | Parameters | ||
|---|---|---|---|
| V (298 K), (mL/mol) | , (MPa)1/2 | ||
| HPMC | 23.14 | 365.01 | 25.18 |
| PVP | 4.549 | 89.07 | 22.60 |
| Polymer/ Structural Groups | Contributions | Occurrences | ||
|---|---|---|---|---|
| HPMC | ||||
| First-order group | ||||
| –CHO– | 111.46 | 1.6001 | 0.4873 | 2 |
| –CH< | 82.94 | 0.6051 | −0.2064 | 3 |
| –CH2– | 1.82 | −0.3141 | −0.3877 | 1 |
| –CH2O– | 13.4 | 0.8132 | −0.1196 | 0.27 |
| –OH | −29.97 | 1.0587 | 7.3609 | 1.5 |
| –OCH3 | −68.07 | 0.0089 | 0.2676 | 0.87 |
| –CH3 | −123.01 | −1.6444 | −0.7458 | 0.27 |
| –CH< | 82.94 | 0.6051 | −0.2064 | 0.27 |
| –OH | −29.97 | 1.0587 | 7.3609 | 0.27 |
| PVP | ||||
| First-order group | ||||
| –CH2– | 1.82 | −0.3141 | −0.3877 | 1 |
| –CH< | 82.94 | 0.6051 | −0.2064 | 1 |
| Second-order group | ||||
| NcyclicHm-Ccyclic = O | 93.54 | 2.0813 | 1.2226 | 1 |
| Sample | Partial Solubility Parameters | |||
|---|---|---|---|---|
| Polymers | ||||
| HPMC | 19.35 | 14.13 | 20.64 | 31.62 |
| PVP | 18.23 | 9.98 | 8.33 | 22.39 |
| Solvents [63] | ||||
| Water (W) | 15.6 | 16.0 | 42.3 | 47.8 |
| Methanol (Me) | 15.1 | 12.3 | 22.3 | 29.6 |
| Acetic acid (AA) | 14.5 | 8.0 | 13.5 | 21.4 |
| N,N—Dimethylformamide (DMF) | 17.4 | 13.7 | 11.3 | 24.9 |
| N—Methyl—2—pyrrolidone (NMP) | 18.0 | 12.3 | 7.2 | 23.0 |
| Polymer | Solvent | RED | |
|---|---|---|---|
| HPMC | Water (W) | 22.998 | 6.927 |
| Methanol (Me) | 8.852 | 2.666 | |
| Acetic acid (AA) | 13.515 | 4.071 | |
| N,N—Dimethylformamide (DMF) | 10.131 | 3.052 | |
| N—Methyl—2—pyrrolidone (NMP) | 13.83 | 4.166 | |
| PVP | Water (W) | 34.889 | 2.801 |
| Methanol (Me) | 15.486 | 1.243 | |
| Acetic acid (AA) | 9.297 | 0.746 | |
| N,N—Dimethylformamide (DMF) | 5.04 | 0.404 | |
| N—Methyl—2—pyrrolidone (NMP) | 2.617 | 0.21 |
| Systems | |||||
|---|---|---|---|---|---|
| HPMC | 1 | 2.638 | 3.150 | 0.519 | 0.057 |
| 75/25 | 0.75 | 1.041 | 1.824 | 0.654 | 0.423 |
| 50/50 | 0.5 | 0.695 | 0.800 | 0.725 | −0.041 |
| 25/75 | 0.25 | 0.433 | 0.463 | 0.382 | 0.043 |
| PVP | 0 | 0.203 | 0.221 | 0.458 | 0.165 |
Publisher’s Note: MDPI stays neutral with regard to jurisdictional claims in published maps and institutional affiliations. |
© 2021 by the authors. Licensee MDPI, Basel, Switzerland. This article is an open access article distributed under the terms and conditions of the Creative Commons Attribution (CC BY) license (https://creativecommons.org/licenses/by/4.0/).
Share and Cite
Filimon, A.; Onofrei, M.-D. New Insights on Solvent Implications in the Design of Materials Based on Cellulose Derivatives Using Experimental and Theoretical Approaches. Materials 2021, 14, 6627. https://doi.org/10.3390/ma14216627
Filimon A, Onofrei M-D. New Insights on Solvent Implications in the Design of Materials Based on Cellulose Derivatives Using Experimental and Theoretical Approaches. Materials. 2021; 14(21):6627. https://doi.org/10.3390/ma14216627
Chicago/Turabian StyleFilimon, Anca, and Mihaela-Dorina Onofrei. 2021. "New Insights on Solvent Implications in the Design of Materials Based on Cellulose Derivatives Using Experimental and Theoretical Approaches" Materials 14, no. 21: 6627. https://doi.org/10.3390/ma14216627
APA StyleFilimon, A., & Onofrei, M.-D. (2021). New Insights on Solvent Implications in the Design of Materials Based on Cellulose Derivatives Using Experimental and Theoretical Approaches. Materials, 14(21), 6627. https://doi.org/10.3390/ma14216627

