The Influence of the Type of Electrolyte in the Modifying Solution on the Protective Properties of Vinyltrimethoysilane/Ethanol-Based Coatings Formed on Stainless Steel X20Cr13
Abstract
:1. Introduction
2. Materials and Methods
- acetic acid (AcOH) by Chempur (the method of depositing the coating based on VTMS and acetic acid was developed in previous studies [36]);
2.1. The Influence of the Reaction Environment on the Sol–Gel Process
2.2. Preparation of Test Material
2.3. The Preparation of Samples for Structural Examination (Sample Cross-Section)
2.4. Corrosion Resistance Test in a Potassium Hexacyanoferrate (III) Solution (Ferroxyl Test)
3. Results
3.1. Microstructural Observations and Chemical Analysis
3.1.1. Chemical Composition of the VTMS/EtOH/Electrolyte Coatings
3.1.2. Testing for Adhesion to the Substrate
3.1.3. Surface Roughness of Obtained Coatings
3.1.4. Thickness of Obtained Coatings
3.2. Analysis of Coatings Composition
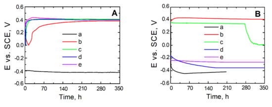
3.3. Electrochemical Analysis
3.4. Corrosion Resistance Test in a Potassium Hexacyanoferrate (III) Solution (Ferroxyl Test)
4. Conclusions
Author Contributions
Funding
Institutional Review Board Statement
Informed Consent Statement
Data Availability Statement
Conflicts of Interest
References
- Deflorian, F.; Rossi, S.; Fedrizzi, L. Silane pre-treatments on copper and aluminium. Electrochem. Acta 2006, 51, 6097–6103. [Google Scholar] [CrossRef]
- Bajat, J.B.; Milošev, I.; Jovanovic, Z.; Jancic-Heinemann, R.M.; Dimitrijevic, M.; Miškovic´-Stankovic, V.B. Corrosion protection of aluminium pretreated by vinyltriethoxysilane in sodium chloride solution. Corros. Sci. 2010, 52, 1060–1069. [Google Scholar] [CrossRef]
- Adamczyk, L.; Giza, K.; Dudek, A. Electrochemical preparation of composite coatings of 3,4-etylenodioxythiophene (EDOT) and 4-(pyrrole-1-yl) benzoic acid (PyBA) with heteropolyanions. Mater. Chem. Phys. 2014, 144, 418–424. [Google Scholar] [CrossRef]
- Ryan, M.; Williams, D.; Chater, R.; Hutton, B.M.; McPhail, D.S. Why stainless steel corrodes. Nature 2002, 415, 770–774. [Google Scholar] [CrossRef]
- Asri, R.I.M.; Harun, W.S.W.; Samykano, M.; Lah, N.A.C.; Ghani, S.A.C.; Tarlochan, F.; Raza, M.R. Corrosion and surface modification on biocompatible metals: A review. Mater. Sci. Eng. 2017, 77, 1261–1274. [Google Scholar] [CrossRef] [PubMed] [Green Version]
- Baddoo, N.R. Stainless steel in construction: A review of research, applications, challenges and opportunities. J. Constr. Steel Res. 2008, 64, 1199–1206. [Google Scholar] [CrossRef]
- Brinker, C.J.; Scherer, G.W. Sol-Gel Science: The Physics and Chemistry of Sol-Gel Processing; Academic Press: San Diego, CA, USA, 1993. [Google Scholar]
- Pierre, A.C. Introduction to Sol-Gel Processing; Kluver Academic Publishers: Boston, MA, USA, 1998. [Google Scholar]
- Riskin, J.; Khentov, A. Electrocorrosion and Protection of Metals, 2nd ed.; Elsevier: Amsterdam, The Netherlands, 2019. [Google Scholar]
- Zhu, D.; van Ooij, W.J. Corrosion protection of AA 2024-T3 by bis-[3-(triethoxysilyl)propyl]tetrasulfide in sodium chloride solution.: Part 2: Mechanism for corrosion protection. Corros. Sci. 2003, 45, 2177–2197. [Google Scholar] [CrossRef]
- Plueddemann, E.P. Silane Coupling Agents, 2nd ed.; Plenum Press: New York, NY, USA, 1991. [Google Scholar]
- Sathyanarayana, M.N.; Yaseen, M. Role of promoters in improving adhesion of organic coatings to a substrate. Prog. Org. Coat. 1995, 26, 275–313. [Google Scholar] [CrossRef]
- Palanivel, V.; Zhu, D.; van Ooij, W.J. Nanoparticle-filled silane films as chromate replacements for aluminum alloys. Prog. Org. Coat. 2003, 47, 384–392. [Google Scholar] [CrossRef]
- Tianlan, P.; Ruilin, M. Rare earth and silane as chromate replacers for corrosion protection on galvanized steel. J. Rare Earth 2009, 27, 159–163. [Google Scholar]
- Balgude, B.; Sabnis, A. Sol–gel derived hybrid coatings as an environment friendly surface treatment for corrosion protection of metals and their alloys. J. Sol-Gel Sci. Technol. 2012, 64, 124–134. [Google Scholar] [CrossRef]
- Liu, B.; Fang, Z.; Wang, H.; Wang, T. Effect of cross linking degree and adhesion force on the anti-corrosion performance of epoxy coatings under simulated deep sea environment. Prog. Org. Coat. 2013, 12, 1814–1818. [Google Scholar] [CrossRef]
- Tavangar, R.; Naderi, R.; Mahdavian, M. Acidic surface treatment of mild steel with enhanced corrosion protection for silane coatings application: The effect of zinc cations. Prog. Org. Coat. 2021, 158, 106384. [Google Scholar] [CrossRef]
- Rouzmeh, S.S.; Naderi, R.; Mahdavian, M. A sulphuric acid surface treatment of mild steel for enhancing the protective properties of an organosilane coating. Prog. Org. Coat. 2017, 103, 156–164. [Google Scholar] [CrossRef]
- Gopi, D.; Saranswathy, R.; Kavitha, L.; Kim, D.K. Electrochemical synthesis of poly(indole-co-thiophene) on low-nickel stainless steel and its anticorrosive performance in 0.5 mol L−1 H2SO4. Polym. Int. 2014, 63, 280–289. [Google Scholar] [CrossRef]
- Mekhalif, Z.; Cossement, D.; Hevesi, L.; Delhalle, J. Electropolymerization of pyrrole on silanized polycrystalline titanium substrates. Appl. Surf. Sci. 2008, 254, 4056–4062. [Google Scholar] [CrossRef]
- He, J.; Zhou, L.; Soucek, M.D.; Wollyung, K.M.; Wesdemiotis, C. UV- Curable Hybrid Coatings Based on Vinylfunctionalized Siloxane Oligomer and Acrylated Polyester. J. Appl. Polym. Sci. 2007, 105, 2376–2386. [Google Scholar] [CrossRef]
- Zhang, D.; Williams, B.L.; Shrestha, S.B.; Nasir, Z.; Becher, E.M.; Lofink, B.J.; Santos, V.H.; Patel, H.; Peng, X.; Sun, L. Flame retardant and hydrophobic coatings on cotton fabrics via sol-gel and self-assembly techniques. J. Colloid Interface Sci. 2017, 505, 892–899. [Google Scholar] [CrossRef]
- Latella, B.A.; Ignat, M.; Barbe, C.h.; Cassidy, D.J.; Bartlett, J.R. Adhesion behaviour of organically-modified silicate coatings on stainless steel. J. Sol-Sel Sci. Technol. 2003, 26, 765–770. [Google Scholar] [CrossRef]
- Zucchi, F.; Grassi, V.; Frignani, A.; Trabanelli, G. Inhibition of copper corrosion by silane coatings. Corros. Sci. 2004, 46, 2853–2865. [Google Scholar] [CrossRef]
- Subramanian, V.; van OoIj, W.J. Silane based metal pretreatments as alternatives to chromating. Surf. Eng. 1999, 15, 2. [Google Scholar] [CrossRef]
- Rouzmeh, S.S.; Naderi, R.; Mahdavian, M. Steel surface treatment with free different acid solutions and its effect on the protective properties of the subsequent silane coating. Prog. Org. Coat. 2017, 112, 133–140. [Google Scholar] [CrossRef]
- Wojciechowski, J.; Szubert, K.; Peipmann, R.; Fritz, M.; Schmidt, U.; Bund, A.; Lota, G. Anti-corrosive properties of silane coatings deposited on anodised aluminium. Electrochim. Acta 2016, 220, 1–10. [Google Scholar] [CrossRef]
- Pantoja, M.; Diaz-Benito, B.; Velasco, F.; Abenojar, J.; del Real, J.C. Analysis of hydrolysis of γ-methacryloxypropyltrimethoxysilane and its influence on the formation of silane coatings on 6063 aluminium alloy. Appl. Surf. Sci. 2000, 255, 6386–6390. [Google Scholar] [CrossRef]
- Jeyaram, R.; Elango, A.; Siva, T.; Ayeshamariam, A.; Kaviyarasu, K. Corrosion protection of silane based coatings on mild steel I an aggressive chloride ion environment. Surf. Interfaces 2020, 18, 100423. [Google Scholar] [CrossRef]
- Park, S.K.; Kim, K.D.; Kim, H.T. Preparation of silica nanoparticles: Determination of the optimal synthesis conditions for small and uniform particles. Colloids Surf. A Physicochem. Eng. Asp. 2002, 197, 7–17. [Google Scholar] [CrossRef]
- Kim, K.D.; Kim, H.T. Formation of silica nanoparticles by hydrolysis of TEOS using a mixed semi-batch/batch method. J. Sol-Gel Sci. Technol. 2002, 25, 183–189. [Google Scholar] [CrossRef]
- Bogush, G.H.; Zukoski, C.F. Preparation of monodisperse silica particles: Control of size and mass fraction. J. Non Cryst. Solids 1998, 104, 95–106. [Google Scholar] [CrossRef]
- Meixner, D.L.; Dyer, P.N. Influence of sol-gel synthesis parameters on the microstructure of particulate silica xerogels. J. Sol-Gel Sci. Technol. 1999, 14, 223–232. [Google Scholar] [CrossRef]
- Ran, C.; Lu, W.; Song, G.; Ran, C.; Zhao, S. Study on prolonging the working time of silane solution during the silylation process on carbon steel. Anti Corros. Methods Mater. 2011, 58, 328. [Google Scholar] [CrossRef]
- Metroke, T.; Wang, Y.M.; van Ooij, W.J.; Schaefer, D.W. Chemistry of mixtures of bis-[trimethoxysilylpropyl]amine and vinyltriacetoxysilane: An NMR analysis. J. Sol-Gel Sci. Technol. 2009, 51, 23–31. [Google Scholar] [CrossRef]
- Kucharczyk, A.; Adamczyk, L. The influence of the concentration of ingredients in the immersion deposition process on the protective properties of silan coatings made on stainless steel. Ochr. Przed Korozją 2020, 63, 290–294. [Google Scholar]
- Innocenzi, P.; Brusation, G.; Guglielmi, R.; Bertani, R. New synthetic route to (3-glycidoxypropyl)trimethoxysilane-based hybryd organic-inorganic materials. Chem. Mater. 1999, 11, 1672–1679. [Google Scholar] [CrossRef]
- Milosev, I.; Kapum, B.; Rodic, P.; Iskra, J. Hybrid sol-gel coating agents based on zirconium(IV) propoxide and epoxysilane. J. Sol-Gel Sci. Technol. 2015, 74, 447–459. [Google Scholar] [CrossRef]
- Schmidt, H.; Seiferling, B. Chemistry and applications of inorganic-organic polymers (organically modified silicates). Mater. Res. Soc. Proc. 1986, 73, 739–750. [Google Scholar] [CrossRef] [Green Version]
- Fedorchuk, A.; Walcarius, A.; Laskowska, M.; Vila, N.; Kowalczyk, P.; Cpałka, K.; Laskowski, Ł. Synthesis of vertically aligned Poros silica thin films functionalized by silver ions. Int. J. Mol. Sci. 2021, 22, 7505. [Google Scholar] [CrossRef] [PubMed]
- Adamczyk, L.; Pietrusiak, A.; Bala, H. Corrosion resistance of stainless steel covered by 4-aminobenzoic acid films. Cent. Eur. J. Chem. 2012, 10, 1657–1668. [Google Scholar] [CrossRef] [Green Version]
- Adamczyk, L.; Kulesza, P.J. Fabrication of composite coatings of 4-(pyrrole-1-yl) benzoate-modified poly-3,4-ethylenedioxythiophene with phosphomolybdate and their application in corrosion protection. Electrochim. Acta 2011, 56, 3649–3655. [Google Scholar] [CrossRef]
- Sakakibara, M.; Saito, N.; Nishihara, H.; Aramaki, K. Corrosion of iron in anhydrous methanol. Corros. Sci. 1993, 34, 391–402. [Google Scholar] [CrossRef]
- Kawai, T.; Nishihara, H.; Aramaki, K. Corrosion of iron in electrolytic anhydrous methanol solutions containing ferric chloride. Corros. Sci. 1995, 37, 823–831. [Google Scholar] [CrossRef]
- Shintani, D.; Fukutsuka, T.; Matsuo, Y.; Sugie, Y.; Ishida, T. Passivation films beahavior of stainless steel under high temperature and pressure anhydrous metanol solution containing chlorid. In Proceedings of the CORROSION 2008, New Orleans, LA, USA, 16–20 March 2008. [Google Scholar]
- Wang, L.; Gao, H.; Fang, H.; Wang, S.; Sun, J. Effect of metanol on the electrochemical behaviour and surface conductivity of niobium carbide-modified stainless steel for DMFC bipolar plate. Int. J. Hydrogen Energy 2016, 41, 14864–14871. [Google Scholar] [CrossRef]
- Kamitami, K.; Uo, M.; Inoue, H.; Makishima, A. Synthesis and spectroscopy of TPPS-doped silica sol gels by the sol-gel process. J. Sol-Gel Sci. Technol. 1993, 1, 85–92. [Google Scholar] [CrossRef]
- Saka, S. Handbook of Sol-Gel Science and Technology, Processing, Characterization and Applications; Springer International Publishing: Midtown Manhattan, NY, USA, 2004. [Google Scholar]
- Miecznikowski, K.; Cox, J.A.; Lewera, A.; Kulesza, P.J. Solid state voltammetric characterization of iron hexacyanoferrate encapsulated in silica. J. Solid State Electrochem. 2000, 4, 199–204. [Google Scholar] [CrossRef]
- Miecznikowski, K.; Cox, J.A. Electroanalysis based in stand-alone matrices and electrode-modifying films with silica sol-gel frameworks: A review. J. Solid State Electrochem. 2020, 24, 2617–2631. [Google Scholar] [CrossRef]
- Owczarek, E.; Adamczyk, L. Electrochemical and Anticorrosion Properties of Bilayer Polyrhodanine/Isobutyltriethoxysilane Coatings. J. Appl. Electrochem. 2016, 46, 635–643. [Google Scholar] [CrossRef] [Green Version]
- Furuhashi, T.; Yamada, Y.; Hayashi, M.; Ichihara, S.; Usui, H. Corrosion-resistant nickel thin films by electroless deposition in foam of electrolyte. MRS Commun. 2019, 9, 352–359. [Google Scholar] [CrossRef]











| Reaction Environment | Hydrolysis | Condensation | Gelation |
|---|---|---|---|
| alkaline | speed drop | high speed | fast |
| inert | the slowest | faster | easier at pH ≥ 7 |
| acidic | high speed | 0–2 pH—high speed 2–3 pH—the slowest 3–5 pH—speed drop | slow |
| Stages of the Sol–Gel Process | Hydrolysis | Condensation |
|---|---|---|
| Catalysts | Aqueous solution HCl, HNO3, HF, icy CH3COOH | NH3, NaOH |
| Number | Cm VTMS [mol dm−3] | EtOH [mL] | H2O [mL] | Electrolyte | Electrolyte Concentration [mol dm−3] | Mixing Time [h] | Immersion Time of the Steel Sample [min] | Rotations/min |
|---|---|---|---|---|---|---|---|---|
| 1 | 3.16 | 2.16 | 2.9833 | CH3COOH 0.0167 mL | 0.003 | 48 | 20 | 400–1000 |
| 2 | 3.16 | 2.16 | 2.8936 | LiClO4 0.1064 g | 0.1 | 48 | 20 | 400–1000 |
| 3 | 3.16 | 2.16 | 2.5 | 2 mol dm−3 H2SO4 0.5 mL | 0.1 | 24 | 20 | 400–1000 |
| 4 | 3.16 | 2.16 | 1–2 drops of 25% ammonia were added to 100 mL of water, then the pH was measured with a litmus paper | pH = 8–9 | 24 | 20 | 400–1000 | |
| Coating | Ra [µm] |
|---|---|
| VTMS/EtOH/AcOH | 0.40 |
| VTMS/EtOH/LiClO4 | 0.87 |
| VTMS/EtOH/H2SO4 | 1.32 |
| VTMS/EtOH/NH3 | 0.43 |
| Coating | Coating Thickness [µm] |
|---|---|
| VTMS/EtOH/AcOH | 10.3 |
| VTMS/EtOH/LiClO4 | 7.9 |
| VTMS/EtOH/H2SO4 | 8.8 |
| VTMS/EtOH/NH3 | 11.4 |
| Coatings Thickness [µm] | ||||
|---|---|---|---|---|
| VTMS/EtOH/ AcOH | VTMS/EtOH/ LiClO4 | VTMS/EtOH/ H2SO4 | VTMS/EtOH/ NH3 | |
| Average | 9.6 | 8.5 | 8.4 | 11.5 |
| Coating | Digital Microscope Average [µm] | Profilometer Average [µm] | Thickness Meter Average [µm] | Thickness of Coatings (Averegae of the Three Devices) [µm] |
|---|---|---|---|---|
| VTMS/EtOH/AcOH | 11.4 | 10.3 | 9.6 | 10.4 |
| VTMS/EtOH/LiClO4 | 8.05 | 7.9 | 8.5 | 8.2 |
| VTMS/EtOH/H2SO4 | 8.65 | 8.8 | 8.4 | 8.6 |
| VTMS/EtOH/NH3 | 12.8 | 11.4 | 11.5 | 11.9 |
Publisher’s Note: MDPI stays neutral with regard to jurisdictional claims in published maps and institutional affiliations. |
© 2021 by the authors. Licensee MDPI, Basel, Switzerland. This article is an open access article distributed under the terms and conditions of the Creative Commons Attribution (CC BY) license (https://creativecommons.org/licenses/by/4.0/).
Share and Cite
Kucharczyk, A.; Adamczyk, L.; Miecznikowski, K. The Influence of the Type of Electrolyte in the Modifying Solution on the Protective Properties of Vinyltrimethoysilane/Ethanol-Based Coatings Formed on Stainless Steel X20Cr13. Materials 2021, 14, 6209. https://doi.org/10.3390/ma14206209
Kucharczyk A, Adamczyk L, Miecznikowski K. The Influence of the Type of Electrolyte in the Modifying Solution on the Protective Properties of Vinyltrimethoysilane/Ethanol-Based Coatings Formed on Stainless Steel X20Cr13. Materials. 2021; 14(20):6209. https://doi.org/10.3390/ma14206209
Chicago/Turabian StyleKucharczyk, Aleksandra, Lidia Adamczyk, and Krzysztof Miecznikowski. 2021. "The Influence of the Type of Electrolyte in the Modifying Solution on the Protective Properties of Vinyltrimethoysilane/Ethanol-Based Coatings Formed on Stainless Steel X20Cr13" Materials 14, no. 20: 6209. https://doi.org/10.3390/ma14206209
APA StyleKucharczyk, A., Adamczyk, L., & Miecznikowski, K. (2021). The Influence of the Type of Electrolyte in the Modifying Solution on the Protective Properties of Vinyltrimethoysilane/Ethanol-Based Coatings Formed on Stainless Steel X20Cr13. Materials, 14(20), 6209. https://doi.org/10.3390/ma14206209
