Strength and Acid Resistance of Ceramic-Based Self-Compacting Alkali-Activated Concrete: Optimizing and Predicting Assessment
Abstract
:1. Introduction
2. Experimental and Mathematical Works
2.1. Design of Experiment Using Response Surface Methodology
2.2. Material and Mixing Process
2.3. Test Methods
2.4. Microstructure
3. Results and Discussion
3.1. Predicted Equations for Mechanical Properties and their Validation
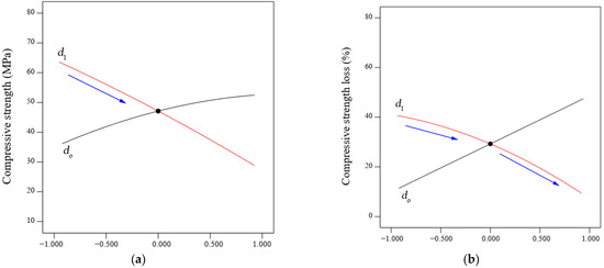
3.2. Effect of CWP Incorporation on the Mechanical Properties of AAC
3.3. Effect of CWP Incorporation on the Durability of Acid-Treated AAC
4. Conclusions
- As a benefit of the RSM model, the number of experiments was found to be small enough (13) to develop a predictive equation.
- RSM proved its ability to assess the behavior of SCAAC incorporating CWP, in which the appropriate correlation between the actual data and the predicted data was achieved. In particular, the R, R2, and adjusted R2 values were higher than 0.95.
- The significance of the developed models was also proven by the high F-value and p-value of less than 0.0001. In addition, the proposed models can accurately predict the behavior of the SCAAC with minimum errors (RMSE < 1.337).
- The high replacement of GBFS by CWP prevented the deterioration of the concrete surface owing to the limited amount of calcium ions.
- The optimum replacement percentage of GBFS by CWP was 31%, in which a reasonable decrease in the compressive strength (16%) was obtained in addition to the minimized strength loss of the SCACC when exposed to an acid attack of only 59.17% (compared to 74.2% for the control specimen).
- The strength and weight loss of the SCAAC significantly decreased with the increase in the amount of CWP, specifically, 45% and 80%, respectively.
Author Contributions
Funding
Institutional Review Board Statement
Informed Consent Statement
Data Availability Statement
Acknowledgments
Conflicts of Interest
References
- Horňáková, M.; Lehner, P. Relationship of Surface and Bulk Resistivity in the Case of Mechanically Damaged Fibre Reinforced Red Ceramic Waste Aggregate Concrete. Materials 2020, 13, 5501. [Google Scholar] [CrossRef]
- Barreto, E.; Stafanato, K.; Marvila, M.; de Azevedo, A.; Ali, M.; Pereira, R.; Monteiro, S. Clay Ceramic Waste as Pozzolan Constituent in Cement for Structural Concrete. Materials 2021, 14, 2917. [Google Scholar] [CrossRef]
- Hilal, N.; Saleh, R.D.; Yakoob, N.B.; Banyhussan, Q.S. Utilization of ceramic waste powder in cement mortar exposed to elevated temperature. Innov. Infrastruct. Solut. 2021, 6, 35. [Google Scholar] [CrossRef]
- Khan, N.N.; Saha, A.K.; Sarker, P.K. Evaluation of the ASR of waste glass fine aggregate in alkali activated concrete by concrete prism tests. Constr. Build. Mater. 2021, 266, 121121. [Google Scholar] [CrossRef]
- Hafez, H.; Kassim, D.; Kurda, R.; Silva, R.V.; de Brito, J. Assessing the sustainability potential of alkali-activated concrete from electric arc furnace slag using the ECO2 framework. Constr. Build. Mater. 2021, 281, 122559. [Google Scholar] [CrossRef]
- Amer, I.; Kohail, M.; El-Feky, M.; Rashad, A.; Khalaf, M.A. A review on alkali-activated slag concrete. Ain Shams Eng. J. 2021, 12, 1475–1499. [Google Scholar] [CrossRef]
- Cai, R.; Ye, H. Clinkerless ultra-high strength concrete based on alkali-activated slag at high temperatures. Cem. Concr. Res. 2021, 145, 106465. [Google Scholar] [CrossRef]
- Ganesh, A.C.; Muthukannan, M. Development of high performance sustainable optimized fiber reinforced geopolymer concrete and prediction of compressive strength. J. Clean. Prod. 2021, 282, 124543. [Google Scholar] [CrossRef]
- Wasim, M.; Ngo, T.D.; Law, D. A state-of-the-art review on the durability of geopolymer concrete for sustainable structures and infrastructure. Constr. Build. Mater. 2021, 291, 123381. [Google Scholar] [CrossRef]
- Shahmansouri, A.A.; Nematzadeh, M.; Behnood, A. Mechanical properties of GGBFS-based geopolymer concrete incorporating natural zeolite and silica fume with an optimum design using response surface method. J. Build. Eng. 2021, 36, 102138. [Google Scholar] [CrossRef]
- Rahman, S.K.; Al-Ameri, R. A newly developed self-compacting geopolymer concrete under ambient condition. Constr. Build. Mater. 2021, 267, 121822. [Google Scholar] [CrossRef]
- Pascual, A.B.; Tognonvi, T.M.; Tagnit-Hamou, A. Optimization study of waste glass powder-based alkali activated materials incorporating metakaolin: Activation and curing conditions. J. Clean. Prod. 2021, 127435. [Google Scholar] [CrossRef]
- Zhang, B.; He, P.; Poon, C.S. Optimizing the use of recycled glass materials in alkali activated cement (AAC) based mortars. J. Clean. Prod. 2020, 255, 120228. [Google Scholar] [CrossRef]
- Sood, D.; Hossain, K. Optimizing Precursors and Reagents for the Development of Alkali-Activated Binders in Ambient Curing Conditions. J. Compos. Sci. 2021, 5, 59. [Google Scholar] [CrossRef]
- Khan, M.A.; Memon, S.A.; Farooq, F.; Javed, M.F.; Aslam, F.; Alyousef, R. Compressive Strength of Fly-Ash-Based Geopolymer Concrete by Gene Expression Programming and Random Forest. Adv. Civ. Eng. 2021, 2021, 6618407. [Google Scholar] [CrossRef]
- Bin Ahmed, F.; Biswas, R.K.; Ahsan, K.A.; Islam, S.; Rahman, R. Estimation of strength properties of geopolymer concrete. Mater. Today: Proc. 2021, 44, 871–877. [Google Scholar] [CrossRef]
- He, P.; Zhang, B.; Lu, J.; Poon, C.S. A ternary optimization of alkali-activated cement mortars incorporating glass powder, slag and calcium aluminate cement. Constr. Build. Mater. 2020, 240, 117983. [Google Scholar] [CrossRef]
- Dave, S.V.; Bhogayata, A.; Arora, N.K. Mix design optimization for fresh, strength and durability properties of ambient cured alkali activated composite by Taguchi method. Constr. Build. Mater. 2021, 284, 122822. [Google Scholar] [CrossRef]
- Kočí, V.; Koňáková, D.; Pommer, V.; Keppert, M.; Vejmelková, E.; Černý, R. Exploiting advantages of empirical and optimization approaches to design alkali activated materials in a more efficient way. Constr. Build. Mater. 2021, 292, 123460. [Google Scholar] [CrossRef]
- Mehta, A.; Siddique, R.; Ozbakkaloglu, T.; Shaikh, F.; Belarbi, R. Fly ash and ground granulated blast furnace slag-based alkali-activated concrete: Mechanical, transport and microstructural properties. Constr. Build. Mater. 2020, 257, 119548. [Google Scholar] [CrossRef]
- Pinheiro, C.; Rios, S.; da Fonseca, A.V.; Jimenez, A.M.F.; Cristelo, N. Application of the response surface method to optimize alkali activated cements based on low-reactivity ladle furnace slag. Constr. Build. Mater. 2020, 264, 120271. [Google Scholar] [CrossRef]
- Zhang, L.; Yue, Y. Influence of waste glass powder usage on the properties of alkali-activated slag mortars based on response surface methodology. Constr. Build. Mater. 2018, 181, 527–534. [Google Scholar] [CrossRef]
- Cong, X.; Zhou, W.; Elchalakani, M. Experimental study on the engineering properties of alkali-activated GGBFS/FA concrete and constitutive models for performance prediction. Constr. Build. Mater. 2020, 240, 117977. [Google Scholar] [CrossRef]
- Gomaa, E.; Han, T.; El Gawady, M.; Huang, J.; Kumar, A. Machine learning to predict properties of fresh and hardened alkali-activated concrete. Cem. Concr. Compos. 2021, 115, 103863. [Google Scholar] [CrossRef]
- Shahmansouri, A.A.; Bengar, H.A.; Ghanbari, S. Compressive strength prediction of eco-efficient GGBS-based geopolymer concrete using GEP method. J. Build. Eng. 2020, 31, 101326. [Google Scholar] [CrossRef]
- Mohammed, B.S.; Haruna, S.; Wahab, M.M.B.A.; Liew, M. Optimization and characterization of cast in-situ alkali-activated pastes by response surface methodology. Constr. Build. Mater. 2019, 225, 776–787. [Google Scholar] [CrossRef]
- Mohammadi, F.; Mohammadi, T. Optimal conditions of porous ceramic membrane synthesis based on alkali activated blast furnace slag using Taguchi method. Ceram. Int. 2017, 43, 14369–14379. [Google Scholar] [CrossRef]
- Huseien, G.F.; Sam, A.R.M.; Shah, K.W.; Mirza, J. Effects of ceramic tile powder waste on properties of self-compacted alkali-activated concrete. Constr. Build. Mater. 2020, 236, 117574. [Google Scholar] [CrossRef]
- Huseien, G.F.; Sam, A.R.M.; Shah, K.W.; Mirza, J.; Tahir, M.M. Evaluation of alkali-activated mortars containing high volume waste ceramic powder and fly ash replacing GBFS. Constr. Build. Mater. 2019, 210, 78–92. [Google Scholar] [CrossRef]
- ASTM C267. Standard Test Methods for Chemical Resistance of Mortars, Grouts, and Monolithic Surfacing and Polymer Concretes; ASTM International: West Conshohocken, PA, USA, 2012. [Google Scholar]
- Mohammed, B.S.; Khed, V.C.; Nuruddin, M.F. Rubbercrete mixture optimization using response surface methodology. J. Clean. Prod. 2018, 171, 1605–1621. [Google Scholar] [CrossRef]
- Mohammed, M.K.; Al-Hadithi, A.I.; Mohammed, M.H. Production and optimization of eco-efficient self compacting concrete SCC with limestone and PET. Constr. Build. Mater. 2019, 197, 734–746. [Google Scholar] [CrossRef]
- Carrillo, J.; Ramirez, J.; Lizarazo-Marriaga, J. Modulus of elasticity and Poisson’s ratio of fiber-reinforced concrete in Colombia from ultrasonic pulse velocities. J. Build. Eng. 2019, 23, 18–26. [Google Scholar] [CrossRef]
- Ray, S.; Haque, M.; Ahmed, T.; Nahin, T.T. Comparison of artificial neural network (ANN) and response surface methodology (RSM) in predicting the compressive and splitting tensile strength of concrete prepared with glass waste and tin (Sn) can fiber. J. King Saud Univ. Eng. Sci. 2021. [Google Scholar] [CrossRef]
- Tian, Z.; Zhang, Z.; Zhang, K.; Tang, X.; Huang, S. Statistical modeling and multi-objective optimization of road geopolymer grouting material via RSM and MOPSO. Constr. Build. Mater. 2021, 271, 121534. [Google Scholar] [CrossRef]
- Rashad, A.M. Properties of alkali-activated fly ash concrete blended with slag. Iran. J. Mater. Sci. Eng. 2013, 10, 57–64. [Google Scholar]
- Puertas, F.; Martinez-Ramirez, S.; Alonso, S.; Vázquez, T. Alkali-activated fly ash/slag cements: Strength behaviour and hydration products. Cem. Concr. Res. 2000, 30, 1625–1632. [Google Scholar] [CrossRef]
- Huseien, G.F.; Sam, A.R.M.; Shah, K.W.; Asaad, M.A.; Tahir, M.M.; Mirza, J. Properties of ceramic tile waste based alkali-activated mortars incorporating GBFS and fly ash. Constr. Build. Mater. 2019, 214, 355–368. [Google Scholar] [CrossRef]
- Mozgawa, W.; Deja, J. Spectroscopic studies of alkaline activated slag geopolymers. J. Mol. Struct. 2009, 924, 434–441. [Google Scholar] [CrossRef]
- Ravikumar, D.; Peethamparan, S.; Neithalath, N. Structure and strength of NaOH activated concretes containing fly ash or GGBFS as the sole binder. Cem. Concr. Compos. 2010, 32, 399–410. [Google Scholar] [CrossRef]
- Ismail, I.; Bernal, S.A.; Provis, J.L.; San Nicolas, R.; Hamdan, S.; van Deventer, J.S. Modification of phase evolution in alkali-activated blast furnace slag by the incorporation of fly ash. Cem. Concr. Compos. 2014, 45, 125–135. [Google Scholar] [CrossRef]
- Huseiena, G.F.; Ismaila, M.; Tahirb, M.; Mirzac, J.; Husseina, A.; Khalida, N.H.; Sarbinia, N.N. Effect of Binder to Fine Agregate Content on Performance of Sustainable Alkali Activated Mortars Incorporating Solid Waste Materials. Chem. Eng. 2018, 63, 667–672. [Google Scholar]
- Huseien, G.F.; Ismail, M.; Tahir, M.M.; Mirza, J.; Khalid, N.H.A.; Asaad, M.A.; Husein, A.A.; Sarbini, N.N. Synergism between palm oil fuel ash and slag: Production of environmental-friendly alkali activated mortars with enhanced properties. Constr. Build. Mater. 2018, 170, 235–244. [Google Scholar] [CrossRef]
- Mehta, A.; Siddique, R. Sulfuric acid resistance of fly ash based geopolymer concrete. Constr. Build. Mater. 2017, 146, 136–143. [Google Scholar] [CrossRef]
- Ariffin, M.; Bhutta, M.; Hussin, M.; Tahir, M.M.; Aziah, N. Sulfuric acid resistance of blended ash geopolymer concrete. Constr. Build. Mater. 2013, 43, 80–86. [Google Scholar] [CrossRef]
- Zhang, W.; Yao, X.; Yang, T.; Zhang, Z. The degradation mechanisms of alkali-activated fly ash/slag blend cements exposed to sulphuric acid. Constr. Build. Mater. 2018, 186, 1177–1187. [Google Scholar] [CrossRef]
- Allahverdi, A.; Skvara, F. Sulfuric acid attack on hardened paste of geopolymer cements—Part 1. Mechanism of corrosion at relatively high concentrations. Ceram. Silik. 2005, 49, 225. [Google Scholar]
- Gu, L.; Bennett, T.; Visintin, P. Sulphuric acid exposure of conventional concrete and alkali-activated concrete: Assessment of test methodologies. Constr. Build. Mater. 2019, 197, 681–692. [Google Scholar] [CrossRef]










| Run No. | Coded Value | Real Value | FC-CCD Division | |||
|---|---|---|---|---|---|---|
| Model 1 and 2 CWP/GBFS (%) | Model 1 Time (Days) | Model 2 Time (Days) | ||||
| 1 | −1 | −1 | 10 | 3 | 90 | Factorial points (2n) |
| 2 | 1 | −1 | 80 | 3 | 90 | |
| 3 | −1 | 1 | 10 | 56 | 360 | |
| 4 | 1 | 1 | 80 | 56 | 360 | |
| 5 | 1 | 0 | 10 | 29.5 | 225 | Axial points (2n) |
| 6 | −1 | 0 | 80 | 29.5 | 225 | |
| 7 | 0 | −1 | 45 | 3 | 90 | |
| 8 | 0 | 1 | 45 | 56 | 360 | |
| 9 | 0 | 0 | 45 | 29.5 | 225 | Centre points |
| 10 | 0 | 0 | 45 | 29.5 | 225 | |
| 11 | 0 | 0 | 45 | 29.5 | 225 | |
| 12 | 0 | 0 | 45 | 29.5 | 225 | |
| 13 | 0 | 0 | 45 | 29.5 | 225 | |
| Model | Item (MPa) | Predicted Equations and Related Statistics Indicators | |||||
|---|---|---|---|---|---|---|---|
| Model 1 | Compressive strength | R = 0.995 | R2 = 0.992 | 0.987 | 0.931 | Adeq. Precision 47.938 | RMSE 1.337 |
| Tensile strength | R = 0.998 | R2 = 0.997 | 0.995 | 0.971 | Adeq. Precision 74.47 | RMSE 0.0631 | |
| Flexural strength | R = 0.996 | R2 = 0.992 | 0.987 | 0.931 | Adeq. Precision 49.11 | RMSE 0.0349 | |
| Model 2 | Strength loss | R = 0.998 | R2 = 0.997 | 0.995 | 0.974 | Adeq. Precision 83.192 | RMSE 1.022 |
| weight loss | R = 0.9988 | R2 = 0.9978 | 0.996 | 0.977 | Adeq. Precision 88.7 | RMSE 0.0269 | |
| UPVL | R = 0.9999 | R2 = 0.9999 | 0.9998 | 0.9987 | Adeq. Precision 362.72 | RMSE 0.0625 | |
| Model | Type | ANOVA | Term | |||||
|---|---|---|---|---|---|---|---|---|
| Model | d0 | d1 | d0 d1 | d0 2 | d1 2 | |||
| Model 1 | CS | p-value | <0.0001 | <0.0001 | <0.0001 | 0.0085 | 0.2357 | 0.0141 |
| F-value | 185.37 | 730.08 | 165.57 | 13.13 | 1.68 | 10.54 | ||
| Sig. | Y | - | - | - | - | - | ||
| TS | p-value | <0.0001 | <0.0001 | <0.0001 | 0.0131 | 0.0007 | <0.0001 | |
| F-value | 491.75 | 1930.24 | 325.15 | 10.90 | 32.73 | 90.37 | ||
| Sig. | Y | - | - | - | - | - | ||
| FS | p-value | <0.0001 | <0.0001 | <0.0001 | 0.0335 | 0.0089 | <0.0001 | |
| F-value | 186.05 | 542.72 | 308.71 | 6.96 | 12.86 | 71.70 | ||
| Sig. | Y | - | - | - | - | - | ||
| Model 2 | SL | p-value | <0.0001 | <0.0001 | <0.0001 | <0.0001 | 0.0003 | 0.9992 |
| F-value | 564.82 | 1042.85 | 1363.63 | 366.61 | 43.58 | 1.1E-06 | ||
| Sig. | Y | - | - | - | - | - | ||
| WL | p-value | <0.0001 | <0.0001 | <0.0001 | <0.0001 | 0.0067 | 0.9941 | |
| F-value | 635.05 | 1324.13 | 1399.85 | 434.40 | 14.44 | 0.0001 | ||
| Sig. | Y | - | - | - | - | - | ||
| UPVL | p-value | <0.0001 | <0.0001 | <0.0001 | <0.0001 | 0.0002 | 1.0 | |
| F-value | 10641.2 | 26589.5 | 19250.2 | 7308.08 | 50.0 | 0.0 | ||
| Sig. | Y | - | - | - | - | - | ||
Publisher’s Note: MDPI stays neutral with regard to jurisdictional claims in published maps and institutional affiliations. |
© 2021 by the authors. Licensee MDPI, Basel, Switzerland. This article is an open access article distributed under the terms and conditions of the Creative Commons Attribution (CC BY) license (https://creativecommons.org/licenses/by/4.0/).
Share and Cite
Algaifi, H.A.; Khan, M.I.; Shahidan, S.; Fares, G.; Abbas, Y.M.; Huseien, G.F.; Salami, B.A.; Alabduljabbar, H. Strength and Acid Resistance of Ceramic-Based Self-Compacting Alkali-Activated Concrete: Optimizing and Predicting Assessment. Materials 2021, 14, 6208. https://doi.org/10.3390/ma14206208
Algaifi HA, Khan MI, Shahidan S, Fares G, Abbas YM, Huseien GF, Salami BA, Alabduljabbar H. Strength and Acid Resistance of Ceramic-Based Self-Compacting Alkali-Activated Concrete: Optimizing and Predicting Assessment. Materials. 2021; 14(20):6208. https://doi.org/10.3390/ma14206208
Chicago/Turabian StyleAlgaifi, Hassan Amer, Mohammad Iqbal Khan, Shahiron Shahidan, Galal Fares, Yassir M. Abbas, Ghasan Fahim Huseien, Babatunde Abiodun Salami, and Hisham Alabduljabbar. 2021. "Strength and Acid Resistance of Ceramic-Based Self-Compacting Alkali-Activated Concrete: Optimizing and Predicting Assessment" Materials 14, no. 20: 6208. https://doi.org/10.3390/ma14206208
APA StyleAlgaifi, H. A., Khan, M. I., Shahidan, S., Fares, G., Abbas, Y. M., Huseien, G. F., Salami, B. A., & Alabduljabbar, H. (2021). Strength and Acid Resistance of Ceramic-Based Self-Compacting Alkali-Activated Concrete: Optimizing and Predicting Assessment. Materials, 14(20), 6208. https://doi.org/10.3390/ma14206208

