A Flow Stress Model of 300M Steel for Isothermal Tension
Abstract
1. Introduction
2. Materials and Experiments
3. Results and Discussion
3.1. Force-Stroke Curve
3.2. Stress and Strain Correction
3.3. Tensile Flow Behavior
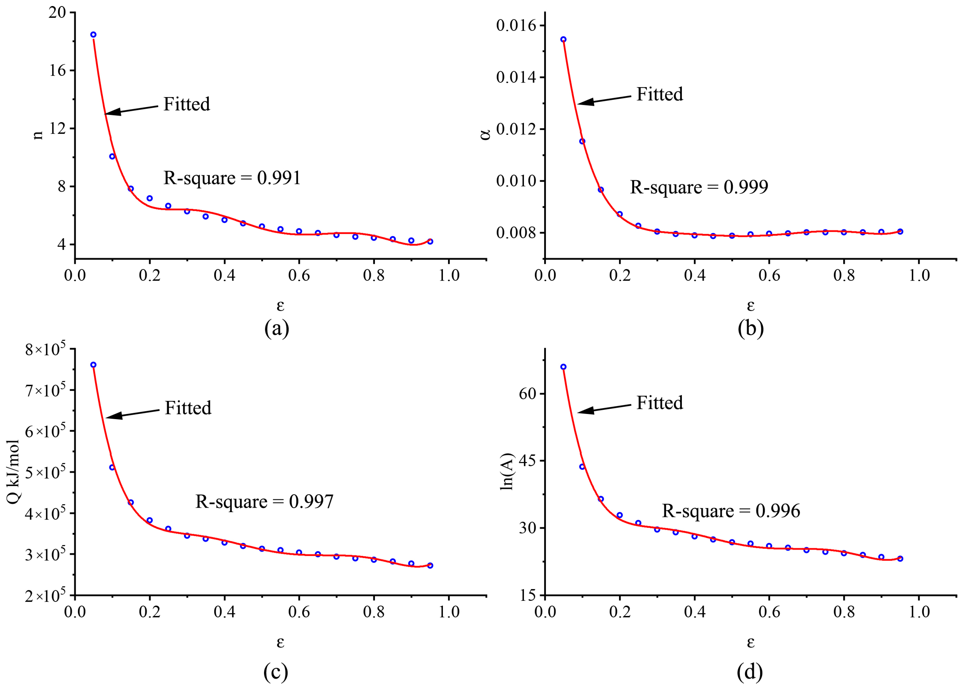
3.4. Constitutive Model
4. Conclusions
- (1)
- Under a higher temperature and a lower strain rate, the tensile force was lower and the ultimate elongation was shorter. The flow stress curve shape gradually transited from single peaked to exponential hardened when the strain rate increased.
- (2)
- The tensile flow stresses were 29.1% (27.8 MPa) greater than the compressive flow stresses. The difference of the flow stress was caused by the difference of the stress state and the microstructure changes in dynamic recrystallization.
- (3)
- The Arrhenius based flow stress model was able to accurately describe both the single peaked curve shape and the exponential hardened curve shape. The average deviation of the model calculation was 6.81 MPa (6.23%), and the value of R was 0.987.
Author Contributions
Funding
Institutional Review Board Statement
Informed Consent Statement
Data Availability Statement
Conflicts of Interest
References
- Ghavam, M.H.; Morakabati, M.; Abbasi, S.M.; Badri, H. Flow behavior modeling of IMI834 titanium alloy during hot tensile deformation. Trans. Nonferr. Met. Soc. China 2015, 25, 748–758. [Google Scholar] [CrossRef]
- Huang, Y.C.; Lin, Y.C.; Deng, J. Hot tensile deformation behaviors and constitutive model of 42CrMo steel. Mater. Des. 2014, 53, 349–356. [Google Scholar] [CrossRef]
- Lin, Y.C.; Ding, Y.; Chen, M.S.; Deng, J. A new phenomenological constitutive model for hot tensile deformation behaviors of a typical Al–Cu–Mg alloy. Mater. Des. 2013, 52, 118–127. [Google Scholar] [CrossRef]
- Yadav, S.D.; Vijayanand, V.D.; Nandgopal, M.; Reddy, G.V.P. On the tensile flow stress response of 304 hcu stainless steel employing a dislocation density based model and electron backscatter diffraction measurements. Philos. Mag. 2019, 100, 1–25. [Google Scholar] [CrossRef]
- Dolzhenko, P.; Tikhonov, M.; Kaibyshev, R.; Belyakov, A. Dynamically Recrystallized Microstructures, Textures, and Tensile Properties of a Hot Worked High-Mn Steel. Metals 2019, 9, 30. [Google Scholar] [CrossRef]
- Murata, M.; Yoshida, Y.; Nishiwaki, T. Stress correction method for flow stress identification by tensile test using notched round bar. J. Mater. Process. Tech. 2018, 251, 65–72. [Google Scholar] [CrossRef]
- Zhao, K.; Wang, L.; Chang, Y. Identification of post-necking stress-strain curve for sheet metals by inverse method. Mech. Mater. 2016, 92, 107–118. [Google Scholar] [CrossRef]
- Gain, S.; Silva, T.E.F.; Jesus, A.M.P. Mechanical characterization of the AlSi9Cu3 cast alloy under distinct stress states and thermal conditions. Eng. Fract. Mech. 2019, 216, 106499. [Google Scholar] [CrossRef]
- Chen, R.; Xiao, H.; Wang, M. Hot Workability of 300M Steel Investigated by In Situ and Ex Situ Compression Tests. Metals 2019, 9, 880. [Google Scholar] [CrossRef]
- Chen, R.; Guo, P.; Zheng, Z. Dislocation Based Flow Stress Model of 300M Steel in Isothermal Compression Process. Materials 2018, 11, 972. [Google Scholar] [CrossRef]
- Zeng, R.; Huang, L.; Li, J. Quantification of multiple softening processes occurring during multi-stage thermoforming of high-strength steel. Int. J. Plast. 2019, 120, 64–87. [Google Scholar] [CrossRef]
- Liu, J.; Liu, Y.G.; Lin, H. The metadynamic recrystallization in the two-stage isothermal compression of 300M steel. Mater. Sci. Eng. A 2013, 565, 126–131. [Google Scholar] [CrossRef]
- Liu, Y.G.; Liu, J.; Li, M.Q. The study on kinetics of static recrystallization in the two-stage isothermal compression of 300M steel. Comp. Mater. Sci. 2014, 84, 115–121. [Google Scholar] [CrossRef]
- Wen, D.X.; Wang, J.K.; Wang, K. Hot tensile deformation and fracture behaviors of a typical ultrahigh strength steel. Vacuum 2019, 169, 108863. [Google Scholar] [CrossRef]
- Chen, R.; Zheng, Z.; Li, N. In-situ investigation of phase transformation behaviors of 300M steel in continuous cooling process. Mater. Charact. 2018, 144, 400–410. [Google Scholar] [CrossRef]
- Feng, F.; Li, J.; Yuan, P. Application of a GTN Damage Model Predicting the Fracture of 5052-O Aluminum Alloy High-Speed Electromagnetic Impaction. Metals 2018, 8, 761. [Google Scholar] [CrossRef]
- Chen, R.; Zheng, Z.; Li, J. Constitutive Modelling and Hot Workability Analysis by Microstructure Examination of GH4169 Alloy. Crystals 2018, 8, 282. [Google Scholar] [CrossRef]
- Chen, R.; Xiao, H.; Wang, M.; Li, J. Flow Behavior and Hot Processing Map of GH4698 for Isothermal Compression Process. Processes 2019, 7, 491. [Google Scholar] [CrossRef]
- Chen, R.; Zheng, Z.; Li, J. In situ investigation of grain evolution of 300M steel in isothermal holding process. Materials 2018, 11, 10. [Google Scholar] [CrossRef]
- Wang, J.; Guo, W.; Li, P. Modified Johnson-Cook description of wide temperature and strain rate measurements made on a nickel-base superalloy. Mater. High Temp. 2017, 34, 157–165. [Google Scholar] [CrossRef]
- Shamsolhodaei, A.; Zarei-Hanzaki, A.; Ghambari, M. The high temperature flow behavior modeling of NiTi shape memory alloy employing phenomenological and physical based constitutive models: A comparative study. Intermetallics 2014, 53, 140–149. [Google Scholar] [CrossRef]
- Quan, G.Z.; Zou, Z.Y.; Wang, T.; Liu, B.; Li, J.C. Modeling the Hot Deformation Behaviors of As-Extruded 7075 Aluminum Alloy by an Artificial Neural Network with Back-Propagation Algorithm. High Temp. Mater. Process. 2016, 36, 1–13. [Google Scholar] [CrossRef]
- Opěla, P.; Kawulok, P.; Schindler, I.; Kawulok, R.; Rusz, S.; Navrátil, H. On the Zener-Hollomon Parameter, Multi-Layer Perceptron and Multivariate Polynomials in the Struggle for the Peak and Steady-State Description. Metals 2020, 10, 1413. [Google Scholar] [CrossRef]
- Prasad, Y.V.R.K.; Gegel, H.L.; Doraivelu, S.M. Modeling of dynamic material behavior in hot deformation: Forging of Ti6242. Metall. Trans. A 1984, 15, 1883–1892. [Google Scholar] [CrossRef]
- Chaoyang, S.; Bing, S.; Chuanbiao, W.; Naiwei, Y.; Tianjun, M.; Wenliang, X.; Jing, Y. Experimental Investigation on High Temperature Creep Deformation Mechanism of BSTMUF601 Superalloy. Acta Metall. Sin. 2015, 51, 349–356. [Google Scholar]
- Yin, F.; Hua, L.; Mao, H.; Han, X. Constitutive modeling for flow behavior of GCr15 steel under hot compression experiments. Mater. Des. 2013, 43, 393–401. [Google Scholar] [CrossRef]
- Zhang, X.; Huang, L.; Li, J.; Li, P. Flow behaviors and constitutive model of 300M high strength steel at elevated temperature. J. Cent. South Univ. 2017, 48, 1439–1447. [Google Scholar]











| Test No. | Temperature(°C) | Strain Rate (s−1) |
|---|---|---|
| 1 | 950 | 0.01 |
| 2 | 950 | 0.1 |
| 3 | 950 | 1 |
| 4 | 950 | 10 |
| 5 | 1000 | 0.01 |
| 6 | 1000 | 0.1 |
| 7 | 1000 | 1 |
| 8 | 1000 | 10 |
| 9 | 1050 | 0.01 |
| 10 | 1050 | 0.1 |
| 11 | 1050 | 1 |
| 12 | 1050 | 10 |
| 13 | 1100 | 0.01 |
| 14 | 1100 | 0.1 |
| 15 | 1100 | 1 |
| 16 | 1100 | 10 |
| 17 | 1150 | 0.01 |
| 18 | 1150 | 0.1 |
| 19 | 1150 | 1 |
| 20 | 1150 | 10 |
| Coefficients | n | α | Q | lnA |
|---|---|---|---|---|
| c0 | 34.414 | 0.022 | 1.167 × 106 | 2.700 |
| c1 | −380.819 | −0.165 | −1.081 × 107 | 64.484 |
| c2 | 2198.841 | 0.809 | 5.820 × 107 | 509.409 |
| c3 | −6344.018 | −2.072 | −1.604 × 108 | 1816.843 |
| c4 | 9592.681 | 2.894 | 2.353 × 108 | 3222.050 |
| c5 | −7269.985 | −2.080 | −1.746 × 108 | 2771.555 |
| c6 | 2177.324 | 0.601 | 5.150 × 107 | 921.238 |
Publisher’s Note: MDPI stays neutral with regard to jurisdictional claims in published maps and institutional affiliations. |
© 2021 by the authors. Licensee MDPI, Basel, Switzerland. This article is an open access article distributed under the terms and conditions of the Creative Commons Attribution (CC BY) license (http://creativecommons.org/licenses/by/4.0/).
Share and Cite
Chen, R.; Zhang, S.; Liu, X.; Feng, F. A Flow Stress Model of 300M Steel for Isothermal Tension. Materials 2021, 14, 252. https://doi.org/10.3390/ma14020252
Chen R, Zhang S, Liu X, Feng F. A Flow Stress Model of 300M Steel for Isothermal Tension. Materials. 2021; 14(2):252. https://doi.org/10.3390/ma14020252
Chicago/Turabian StyleChen, Rongchuang, Shiyang Zhang, Xianlong Liu, and Fei Feng. 2021. "A Flow Stress Model of 300M Steel for Isothermal Tension" Materials 14, no. 2: 252. https://doi.org/10.3390/ma14020252
APA StyleChen, R., Zhang, S., Liu, X., & Feng, F. (2021). A Flow Stress Model of 300M Steel for Isothermal Tension. Materials, 14(2), 252. https://doi.org/10.3390/ma14020252

