Incorporation of Barium Ions into Biomaterials: Dangerous Liaison or Potential Revolution?
Abstract
1. Introduction
2. Barium within the Human and Animal Body
3. Barium Comprising Biomaterials and Their Biological Performance
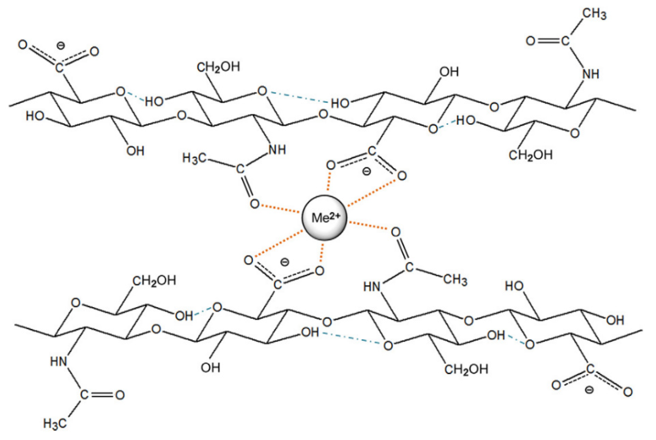
3.1. Barium Loaded Hydrogels
3.2. Synthesis of Calcium Phosphates Containing Barium
4. Biological Influence of Barium
5. Barium Toxicity
6. Future Directions and Conclusions
Author Contributions
Funding
Conflicts of Interest
References
- Bendtsen, S.T.; Wei, M. Synthesis and characterization of a novel injectable alginate–collagen–hydroxyapatite hydrogel for bone tissue regeneration. J. Mater. Chem. B 2015, 3, 3081–3090. [Google Scholar] [CrossRef] [PubMed]
- Dorozhkin, S.V. Calcium orthophosphates (CaPO4): Occurrence and properties. Prog. Biomater. 2016, 5, 9–70. [Google Scholar] [CrossRef]
- Dorozhkin, S.; Epple, M. Biological and Medical Significance of Calcium Phosphates. Angew. Chem. Int. Ed. 2002, 41, 3130–3146. [Google Scholar] [CrossRef]
- Dorozhkin, S.V. A review on the dissolution models of calcium apatites. Prog. Cryst. Growth Charact. Mater. 2002, 44, 45–61. [Google Scholar] [CrossRef]
- Habraken, W.; Habibovic, P.; Epple, M.; Bohner, M. Calcium phosphates in biomedical applications: Materials for the future? Mater. Today 2016, 19, 69–87. [Google Scholar] [CrossRef]
- Dorozhkin, S.V. Calcium orthophosphates and human beings. Biomatter 2012, 2, 53–70. [Google Scholar] [CrossRef]
- Dorozhkin, S.V. A hierarchical structure for apatite crystals. J. Mater. Sci. Mater. Electron. 2007, 18, 363–366. [Google Scholar] [CrossRef]
- Habraken, W.J.E.M.; Tao, J.; Brylka, L.J.; Friedrich, H.; Bertinetti, L.; Schenk, A.; Verch, A.; Dmitrovic, V.; Bomans, P.H.H.; Frederik, P.M.; et al. Ion-association complexes unite classical and non-classical theories for the biomimetic nucleation of calcium phosphate. Nat. Commun. 2013, 4, 1507. [Google Scholar] [CrossRef]
- Tung, M.S. Calcium Phosphates: Structure, Composition, Solubility, and Stability. Calcium Phosphates Biol. Ind. Syst. 1998, 1–19. [Google Scholar] [CrossRef]
- Garbo, C.; Locs, J.; D’Este, M.; Demazeau, G.; Mocanu, A.; Roman, C.; Horovitz, O.; Tomoaia-Cotisel, M. Advanced Mg, Zn, Sr, Si Multi-Substituted Hydroxyapatites for Bone Regeneration. Int. J. Nanomed. 2020, 15, 1037–1058. [Google Scholar] [CrossRef]
- Mouriño, V.; Cattalini, J.P.; Boccaccini, A.R. Metallic ions as therapeutic agents in tissue engineering scaffolds: An overview of their biological applications and strategies for new developments. J. R. Soc. Interface 2011, 9, 401–419. [Google Scholar] [CrossRef] [PubMed]
- Dubnika, A.; Loca, D.; Rudovica, V.; Parekh, M.B.; Berzina-Cimdina, L. Functionalized silver doped hydroxyapatite scaffolds for controlled simultaneous silver ion and drug delivery. Ceram. Int. 2017, 43, 3698–3705. [Google Scholar] [CrossRef]
- Glenske, K.; Donkiewicz, P.; Köwitsch, A.; Milosevic-Oljaca, N.; Rider, P.; Rofall, S.; Franke, J.; Jung, O.; Smeets, R.; Schnettler, R.; et al. Applications of Metals for Bone Regeneration. Int. J. Mol. Sci. 2018, 19, 826. [Google Scholar] [CrossRef]
- Lin, S.H.; Zhang, W.J.; Jiang, X.Q. Applications of Bioactive Ions in Bone Regeneration. Chin. J. Dent. Res. Off. J. Sci. Sect. Chin. Stomatol. Assoc. (CSA) 2019, 22, 93–104. [Google Scholar]
- Laskus, A.; Kolmas, J. Ionic Substitutions in Non-Apatitic Calcium Phosphates. Int. J. Mol. Sci. 2017, 18, 2542. [Google Scholar] [CrossRef] [PubMed]
- Boanini, E.; Gazzano, M.; Bigi, A. Ionic substitutions in calcium phosphates synthesized at low temperature. Acta Biomater. 2010, 6, 1882–1894. [Google Scholar] [CrossRef]
- O’Neill, E.; Awale, G.; Daneshmandi, L.; Umerah, O.; Lo, K.W.-H. The roles of ions on bone regeneration. Drug Discov. Today 2018, 23, 879–890. [Google Scholar] [CrossRef]
- Shi, H.; Ye, X.; Wu, T.; Zhang, J.; Ye, J. Regulating the physicochemical and biological properties in vitro of octacalcium phosphate by substitution with strontium in a large doping range. Mater. Today Chem. 2017, 5, 81–91. [Google Scholar] [CrossRef]
- Shi, H.; He, F.; Ye, J. Synthesis and structure of iron- and strontium-substituted octacalcium phosphate: Effects of ionic charge and radius. J. Mater. Chem. B 2016, 4, 1712–1719. [Google Scholar] [CrossRef] [PubMed]
- Sarker, A.I.; Izadifar, M.; Schreyer, D.; Chen, X. Influence of ionic crosslinkers (Ca2+/Ba2+/Zn2+) on the mechanical and biological properties of 3D Bioplotted Hydrogel Scaffolds. J. Biomater. Sci. Polym. Ed. 2018, 29, 1126–1154. [Google Scholar] [CrossRef]
- Hu, W.; Wang, Z.; Xiao, Y.; Zhang, S.; Wang, J. Advances in crosslinking strategies of biomedical hydrogels. Biomater. Sci. 2019, 7, 843–855. [Google Scholar] [CrossRef] [PubMed]
- Akbar, I.; Kim, S. Characteristic of magnesium substituted octacalcium phosphate prepared by precipitation method. AIP Conf. Proc. 2019, 2092, 020009. [Google Scholar] [CrossRef]
- Stipniece, L.; Salma-Ancane, K.; Loca, D.; Pastare, S. Synthesis of Strontium Substituted Hydroxyapatite through Different Precipitation Routes. Key Eng. Mater. 2016, 674, 3–8. [Google Scholar] [CrossRef]
- Strutynska, N.; Livitska, O.; Prylutska, S.; Yumyna, Y.; Zelena, P.; Skivka, L.; Malyshenko, A.; Vovchenko, L.; Strelchuk, V.; Prylutskyy, Y.; et al. New nanostructured apatite-type (Na+,Zn2+,CO32−)-doped calcium phosphates: Preparation, mechanical properties and antibacterial activity. J. Mol. Struct. 2020, 1222, 128932. [Google Scholar] [CrossRef]
- Kravchenko, J.; Darrah, T.H.; Miller, R.K.; Lyerly, H.; Vengosh, A. A review of the health impacts of barium from natural and anthropogenic exposure. Environ. Geochem. Health 2014, 36, 797–814. [Google Scholar] [CrossRef]
- Colman, J.; Ingerman, L.; Robbins, P. Toxicological Review of Barium and Compounds. In Support of Summary Information on the Integrated Risk Information System; EPA: Washington, DC, USA, 2005. [Google Scholar]
- Harring, T.R.; Deal, N.S.; Kuo, D.C. Disorders of Sodium and Water Balance. Emerg. Med. Clin. N. Am. 2014, 32, 379–401. [Google Scholar] [CrossRef]
- Kaur, G.; Kaur, N. Estimation of sodium ions using easily engineered organic nanoparticles-based turn-on fluorescent sensor: Application in biological and environmental samples. Sens. Actuators B Chem. 2018, 265, 134–141. [Google Scholar] [CrossRef]
- Vašák, M.; Schnabl, J. Sodium and Potassium Ions in Proteins and Enzyme Catalysis. In The Alkali Metal Ions: Their Role for Life; Springer: Berlin/Heidelberg, Germany, 2016; pp. 259–290. [Google Scholar] [CrossRef]
- Sakai, H.; Fujii, T.; Takeguchi, N. Proton-Potassium (H +/K +) ATPases: Properties and Roles in Health and Diseases. In The Alkali Metal Ions: Their Role for Life; Springer: Berlin/Heidelberg, Germany, 2016; pp. 459–483. [Google Scholar] [CrossRef]
- Pang, X.; Lin, L.; Tang, B. Unraveling the role of Calcium ions in the mechanical properties of individual collagen fibrils. Sci. Rep. 2017, 7, srep46042. [Google Scholar] [CrossRef]
- Beto, J.A. The Role of Calcium in Human Aging. Clin. Nutr. Res. 2015, 4, 1–8. [Google Scholar] [CrossRef]
- Choi, S.; Kim, K.-J.; Cheon, S.; Kim, E.-M.; Kim, Y.-A.; Park, C.; Kim, K.K. Biochemical activity of magnesium ions on human osteoblast migration. Biochem. Biophys. Res. Commun. 2020, 531, 588–594. [Google Scholar] [CrossRef]
- Qi, T.; Weng, J.; Yu, F.; Zhang, W.; Li, G.; Qin, H.; Tan, Z.; Zeng, H. Insights into the Role of Magnesium Ions in Affecting Osteogenic Differentiation of Mesenchymal Stem Cells. Biol. Trace Elem. Res. 2021, 199, 559–567. [Google Scholar] [CrossRef]
- Loca, D.; Smirnova, A.; Locs, J.; Dubnika, A.; Vecstaudza, J.; Stipniece, L.; Makarova, E.; Dambrova, M. Development of local strontium ranelate delivery systems and long term in vitro drug release studies in osteogenic medium. Sci. Rep. 2018, 8, 16754. [Google Scholar] [CrossRef]
- Pilmane, M.; Salma-Ancane, K.; Loca, D.; Locs, J.; Berzina-Cimdina, L. Strontium and strontium ranelate: Historical review of some of their functions. Mater. Sci. Eng. C 2017, 78, 1222–1230. [Google Scholar] [CrossRef] [PubMed]
- Chan, W.Y.; Rennert, O.M. The role of copper in iron metabolism. Ann. Clin. Lab. Sci. 1980, 10, 338–344. [Google Scholar] [PubMed]
- Osredkar, J.; Sustar, N. Copper and Zinc, Biological Role and Significance of Copper/Zinc Imbalance. J. Clin. Toxicol. 2011, 3, 495. [Google Scholar] [CrossRef]
- Cummings, J.E.; Kovacic, J.P. The ubiquitous role of zinc in health and disease. J. Vet. Emerg. Crit. Care 2009, 19, 215–240. [Google Scholar] [CrossRef]
- Van Swelm, R.P.L.; Wetzels, J.F.M.; Swinkels, D.W. The multifaceted role of iron in renal health and disease. Nat. Rev. Nephrol. 2020, 16, 77–98. [Google Scholar] [CrossRef] [PubMed]
- Gupta, C.P. Role of Iron (Fe) in Body. IOSR J. Appl. Chem. 2014, 7, 38–46. [Google Scholar] [CrossRef]
- Williams, R.J.P. Metal ions in biological systems. Biol. Rev. 1953, 28, 381–412. [Google Scholar] [CrossRef]
- Padan, E.; Landau, M. Sodium-Proton (Na+/H+) Antiporters: Properties and Roles in Health and Disease. Alkali Met. Ions Role Life 2016, 16, 391–458. [Google Scholar]
- Schroeder, H.A.; Tipton, I.H.; Nason, A.P. Trace metals in man: Strontium and barium. J. Chronic Dis. 1972, 25, 491–517. [Google Scholar] [CrossRef]
- Fischer, A.; Malara, P.; Wiechuła, D. The Study of Barium Concentration in Deciduous Teeth, Impacted Teeth, and Facial Bones of Polish Residents. Biol. Trace Element Res. 2014, 161, 32–37. [Google Scholar] [CrossRef]
- Austin, C.; Smith, T.M.; Bradman, A.; Hinde, K.; Joannes-Boyau, R.; Bishop, D.; Hare, D.; Doble, P.; Eskenazi, B.; Arora, M. Barium distributions in teeth reveal early-life dietary transitions in primates. Nat. Cell Biol. 2013, 498, 216–219. [Google Scholar] [CrossRef]
- Sowden, E.M.; Stitch, S.R. Trace elements in human tissue. 2. Estimation of the concentrations of stable strontium and barium in human bone. Biochem. J. 1957, 67, 104–109. [Google Scholar] [CrossRef]
- Panahifar, A.; Chapman, L.D.; Weber, L.; Samadi, N.; Cooper, D.M.L. Biodistribution of strontium and barium in the developing and mature skeleton of rats. J. Bone Miner. Metab. 2019, 37, 385–398. [Google Scholar] [CrossRef] [PubMed]
- Bligh, P.H.; Taylor, D.M. Comparative studies of the metabolism of strontium and barium in the rat. Biochem. J. 1963, 87, 612–618. [Google Scholar] [CrossRef]
- Moffet, D.; Smith, C.; Stevens, Y.; Ingerman, L.; Swarts, S.; Chappell, L. Toxicological Profile for Barium and Barium Compounds; Agency for Toxic Substances and Disease Registry: Atlanta, GA, USA, 2007; pp. 1–231. Available online: https://www.atsdr.cdc.gov/ToxProfiles/tp24-p.pdf (accessed on 14 September 2021).
- Peana, M.; Medici, S.; Dadar, M.; Zoroddu, M.A.; Pelucelli, A.; Chasapis, C.T.; Bjørklund, G. Environmental barium: Potential exposure and health-hazards. Arch. Toxicol. 2021, 1–8. [Google Scholar] [CrossRef]
- Panahifar, A.; Swanston, T.M.; Pushie, M.J.; Belev, G.; Chapman, D.; Weber, L.; Cooper, D.M. Three-dimensional labeling of newly formed bone using synchrotron radiation barium K-edge subtraction imaging. Phys. Med. Biol. 2016, 61, 5077–5088. [Google Scholar] [CrossRef]
- Foster, A.D. The impact of bipedal mechanical loading history on longitudinal long bone growth. PLoS ONE 2019, 14, e0211692. [Google Scholar] [CrossRef]
- Hennink, W.; van Nostrum, C. Novel crosslinking methods to design hydrogels. Adv. Drug Deliv. Rev. 2012, 64, 223–236. [Google Scholar] [CrossRef]
- Maitra, J.; Shukla, V.K. Cross-linking in Hydrogels—A Review. Am. J. Polym. Sci. 2014, 4, 25–31. [Google Scholar] [CrossRef]
- Andrade, J. Hydrogels in medicine and pharmacy: N.A. Peppas (Editor), CRC Press, Boca Raton, FL, 1987: Vol. III, Properties and Applications, 208 pages, $110.00. J. Control. Release 1989, 10, 225–226. [Google Scholar] [CrossRef]
- Li, H.; Yang, P.; Pageni, P.; Tang, C. Recent Advances in Metal-Containing Polymer Hydrogels. Macromol. Rapid Commun. 2017, 38, 1–9. [Google Scholar] [CrossRef] [PubMed]
- Gasa, J.V.; Weiss, R.; Shaw, M.T. Ionic crosslinking of ionomer polymer electrolyte membranes using barium cations. J. Membr. Sci. 2007, 304, 173–180. [Google Scholar] [CrossRef]
- Zellermann, A.-M.; Bergmann, D.; Mayer, C. Cation induced conformation changes in hyaluronate solution. Eur. Polym. J. 2013, 49, 70–79. [Google Scholar] [CrossRef]
- Dodero, A.; Pianella, L.; Vicini, S.; Alloisio, M.; Ottonelli, M.; Castellano, M. Alginate-based hydrogels prepared via ionic gelation: An experimental design approach to predict the crosslinking degree. Eur. Polym. J. 2019, 118, 586–594. [Google Scholar] [CrossRef]
- Thimma, R.T.; Tammishetti, S. Barium chloride crosslinked carboxymethyl guar gum beads for gastrointestinal drug delivery. J. Appl. Polym. Sci. 2001, 82, 3084–3090. [Google Scholar] [CrossRef]
- Bierhalz, A.C.; da Silva, M.A.; Braga, M.E.; Sousa, H.J.; Kieckbusch, T.G. Effect of calcium and/or barium crosslinking on the physical and antimicrobial properties of natamycin-loaded alginate films. LWT Food Sci. Technol. 2014, 57, 494–501. [Google Scholar] [CrossRef]
- Li, G.; Zhang, G.; Sun, R.; Wong, C.-P. Mechanical strengthened alginate/polyacrylamide hydrogel crosslinked by barium and ferric dual ions. J. Mater. Sci. 2017, 52, 8538–8545. [Google Scholar] [CrossRef]
- de Vos, P.; Faas, M.M.; Strand, B.; Calafiore, R. Alginate-based microcapsules for immunoisolation of pancreatic islets. Biomater. 2006, 27, 5603–5617. [Google Scholar] [CrossRef] [PubMed]
- Luca, G.; Calvitti, M.; Nastruzzi, C.; Bilancetti, L.; Becchetti, E.; Angeletti, G.; Mancuso, F.; Calafiore, R. Encapsulation, In Vitro Characterization, and In Vivo Biocompatibility of Sertoli Cells in Alginate-Based Microcapsules. Tissue Eng. 2007, 13, 641–648. [Google Scholar] [CrossRef]
- Bajpai, S.; Sharma, S. Investigation of swelling/degradation behaviour of alginate beads crosslinked with Ca2+ and Ba2+ ions. React. Funct. Polym. 2004, 59, 129–140. [Google Scholar] [CrossRef]
- Sardroud, H.A.; Nemati, S.; Khoshfetrat, A.B.; Nabavinia, M.; Khosrowshahi, Y.B. Barium-cross-linked alginate-gelatine microcapsule as a potential platform for stem cell production and modular tissue formation. J. Microencapsul. 2017, 34, 488–497. [Google Scholar] [CrossRef]
- Machida-Sano, I.; Hirakawa, M.; Namiki, H. Cell Compatibility of Three-Dimensional Porous Barium-Cross-Linked Alginate Hydrogels. J. Sci. Res. Rep. 2014, 3, 2611–2621. [Google Scholar] [CrossRef]
- Smidsrød, O. Molecular basis for some physical properties of alginates in the gel state. Faraday Discuss. Chem. Soc. 1974, 57, 263–274. [Google Scholar] [CrossRef]
- Mørch, Ý.A.; Donati, I.; Strand, B.L.; Skjåk-BraeK, G. Effect of Ca2+, Ba2+, and Sr2+ on Alginate Microbeads. Biomacromolecules 2006, 7, 1471–1480. [Google Scholar] [CrossRef] [PubMed]
- Lee, K.Y.; Mooney, D.J. Alginate: Properties and biomedical applications. Prog. Polym. Sci. 2012, 37, 106–126. [Google Scholar] [CrossRef]
- Bajpai, S.; Saxena, S.K.; Sharma, S. Swelling behavior of barium ions-crosslinked bipolymeric sodium alginate–carboxymethyl guar gum blend beads. React. Funct. Polym. 2006, 66, 659–666. [Google Scholar] [CrossRef]
- Duvivier-Kali, V.F.; Omer, A.; Parent, R.J.; O’Neil, J.J.; Weir, G.C. Complete protection of islets against allorejection and autoimmunity by a simple barium-alginate membrane. Diabetes 2001, 50, 1698–1705. [Google Scholar] [CrossRef]
- Gröhn, P.; Klöck, G.; Schmitt, J.; Zimmermann, U.; Horcher, A.; Bretzel, R.G.; Hering, B.J.; Brandhorst, D.; Zekorn, T.; Federlin, K. Large-scale production of Ba2+-alginate-coated islets of Langerhans for immunoisolation. Exp. Clin. Endocrinol. Diabetes 1994, 102, 380–387. [Google Scholar] [CrossRef]
- Gröhn, P.; Klöck, G.; Zimmermann, U. Collagen-Coated Ba2+-Alginate Microcarriers for the Culture of Anchorage-Dependent Mammalian Cells. Biotechniques 1997, 22, 970–975. [Google Scholar] [CrossRef]
- Duan, C.-J.; Wu, X.-Y.; Liu, W.; Chen, H.-H.; Yang, X.-X.; Zhao, J.-T. X-ray excited luminescent properties of apatitic compounds Ba5(PO4)3X (X: OH−, Cl−, Br−); structure and hydroxyl ion conductivity of barium hydroxylapatite. J. Alloys Compd. 2005, 396, 86–91. [Google Scholar] [CrossRef]
- Yoder, C.H.; Pasteris, J.D.; Krol, K.A.; Weidner, V.L.; Schaeffer, R.W. Synthesis, structure, and solubility of carbonated barium chlor- and hydroxylapatites. Polyhedron 2012, 44, 143–149. [Google Scholar] [CrossRef]
- Yasukawa, A.; Ueda, E.; Kandori, K.; Ishikawa, T. Preparation and characterization of carbonated barium–calcium hydroxyapatite solid solutions. J. Colloid Interface Sci. 2005, 288, 468–474. [Google Scholar] [CrossRef] [PubMed]
- Liu, H.; Zhang, Z.; Gao, C.; Bai, Y.; Liu, B.; Wang, W.; Ma, Y.; Yang, H.; Li, Y.; Chan, A.; et al. Enhancing effects of radiopaque agent BaSO4 on mechanical and biocompatibility properties of injectable calcium phosphate composite cement. Mater. Sci. Eng. C 2020, 116, 110904. [Google Scholar] [CrossRef]
- Flora, N.J.; Hamilton, K.W.; Schaeffer, R.W.; Yoder, C.H. A Comparative Study of the Synthesis of Calcium, Strontium, Barium, Cadmium, and Lead Apatites in Aqueous Solution. Synth. React. Inorg. Met. Chem. 2004, 34, 503–521. [Google Scholar] [CrossRef]
- Bigi, A.; Foresti, E.; Marchetti, F.; Ripamonti, A.; Roveri, N. Barium calcium hydroxyapatite solid solutions. J. Chem. Soc. Dalton Trans. 1984, 5, 1091–1093. [Google Scholar] [CrossRef]
- Yashima, M.; Kawaike, Y. Crystal Structure and Site Preference of Ba-Doped r -Tricalcium Phosphate (Ca 1 − x Ba x)3 (PO4)2 through High-Resolution Synchrotron Powder Diffraction (x) 0.05 to 0.15). Chem. Mater. 2007, 3, 3973–3979. [Google Scholar] [CrossRef]
- Myat-Htun, M.; Noor, A.-F.M.; Kawashita, M.; Ismail, Y.M.B. Enhanced sinterability and in vitro bioactivity of barium-doped akermanite ceramic. Ceram. Int. 2020, 46, 19062–19068. [Google Scholar] [CrossRef]
- Arepalli, S.K.; Tripathi, H.; Vyas, V.K.; Jain, S.; Suman, S.K.; Pyare, R.; Singh, S. Influence of barium substitution on bioactivity, thermal and physico-mechanical properties of bioactive glass. Mater. Sci. Eng. C 2015, 49, 549–559. [Google Scholar] [CrossRef]
- Acarturk, O.; Lehmicke, M.; Aberman, H.; Toms, D.; Hollinger, J.O.; Fulmer, M. Bone healing response to an injectable calcium phosphate cement with enhanced radiopacity. J. Biomed. Mater. Res. Part B Appl. Biomater. 2008, 86B, 56–62. [Google Scholar] [CrossRef]
- Bajpai, S.K.; Sharma, S. Investigation of pH-Sensitive Swelling and Drug Release Behavior of Barium Alginate/Carboxymethyl Guar Gum Hydrogel Beads. J. Macromol. Sci. Part A 2006, 43, 1513–1521. [Google Scholar] [CrossRef]
- Mørch, Y.A.; Qi, M.; Gundersen, P.O.M.; Formo, K.; Lacik, I.; Skjåk-Braek, G.; Oberholzer, J.; Strand, B.L. Binding and leakage of barium in alginate microbeads. J. Biomed. Mater. Res. Part A 2012, 100A, 2939–2947. [Google Scholar] [CrossRef]
- Gallantt, B.Y.E.M. Barium-treated mammalian skeletal muscle: Similarities to hypokalaemic periodic paralysis. J. Physiol. 1983, 335, 577–590. [Google Scholar] [CrossRef] [PubMed]
- Walz, W.; Shargool, M.; Hertz, L. Barium-induced inhibition of K+ transport mechanisms in cortical astrocytes—Its possible contribution to the large Ba2+-evoked extracellular K+ signal in brain. Neuroscience 1984, 13, 945–949. [Google Scholar] [CrossRef]
- Honorio-França, A.; Mores, L.; Silva, N.; Suchara, E.; França, E. Nanoparticles of barium induce apoptosis in human phagocytes. Int. J. Nanomed. 2015, 10, 6021–6026. [Google Scholar] [CrossRef] [PubMed]






| Characteristics | Barium | Barium Acetate | Barium Carbonate | Barium Chloride | Barium Hydroxide | Barium Oxide | Barium Sulfate |
|---|---|---|---|---|---|---|---|
| Molecular formula | Ba | Ba(C2H3O2)2 | BaCO3 | BaCl2 | Ba(OH)2x8H2O | BaO | BaSO4 |
| Molecular weight | 137.34 | 255.43 | 197.35 | 208.25 | 315.48 | 153.34 | 233.4 |
| Melting point, °C | 725 | 41 | 1740 (α form, at 90 atm) | 963 | 78 | 1923 | 1580 |
| Boiling point, °C | 1640 | No data | Decomposes | 1560 | 550 | 2000 | 1149 |
| Water solubility | Forms barium hydroxide | No data | 0.02 at 20 °C, 0.06 at 100 °C | 375 at 20 °C | 56 at 20 °C, 947 at 78 °C | 38 at 20 °C, 908 at 100 °C | 0.00222 at 0 °C, 0.00413 at 100 °C |
| Specific gravity | 3.5 at 20 °C | No data | 4.43 | 3.856 at 24 °C | 2.18 at 16 °C | 5.72 | 4.5 at 15 °C |
| Biomaterial | Exhibited Effect | |
|---|---|---|
| Swelling and Thermal Stability | Mechanical Stability | |
| Alginate barium beads (600 kD) [64] | No data | Stability of alginate beads increased by replacing calcium for barium. With low concentrations and intensive rinsing of barium beads, no barium leakage was observed |
| Sodium-Alginate-based hydrogels [60] | Swelling degree (ϕ) (13–19% in deionized water and 12–17% in NaCl 0.15 mol/L) lower than with Ca2+ and Sr2+ Crosslinking agent and the effective crosslinking degree have not significantly influenced the thermal behavior of sodium-alginate hydrogels | Compressive modulus (G) substantially higher than with Ca2+ and Sr2+ (53.8–121 kPa in deionized water and in NaCl 17.9–85.4 kPa) Effective crosslinking degree considerably higher than with Ca2+ and Sr2+ (outer, fast crosslinking obstructed ion diffusion and presented a step to a homogenous structure) |
| Alginate-based films containing natamycin [62] | Significant decrease in the water uptake for barium crosslinked films was observed. Ca-Ba films were more hydrophobic than Ba-Ca films | Ba2+ ion crosslinked films were brittle and revealed a wrinkly, whitish appearance, rougher to the touch |
| Alginate/polyacrylamide [63] | Swelling ratio was reduced | Stronger gel network was formed. BaFe-1/8-w (original weight ratio of sodium alginate to acrylamide of 1/8 equilibrated with water solution) showed a slight decrease in the tensile strength and the stiffness compared with BaFe-1/8-s (equilibrated with salt solution) Semi-crosslinked Ba-Alg network, due to weak interaction between Ba2+ and COO− on the M blocks and unpaired G blocks, contributing to the weaker strength and tensile stress |
| Alginate-Based Microcapsules [65] | No data | Microcapsules (crosslinked with 0.5% BaCl2) were imperfectly spherical, mainly elliptical, moderately broken, with an irregular surface, demonstrating many exposed cells in the outer part of the structure 1% or 1.5% BaCl2 gelling solutions displayed significantly better morphological characteristics |
Publisher’s Note: MDPI stays neutral with regard to jurisdictional claims in published maps and institutional affiliations. |
© 2021 by the authors. Licensee MDPI, Basel, Switzerland. This article is an open access article distributed under the terms and conditions of the Creative Commons Attribution (CC BY) license (https://creativecommons.org/licenses/by/4.0/).
Share and Cite
Kovrlija, I.; Locs, J.; Loca, D. Incorporation of Barium Ions into Biomaterials: Dangerous Liaison or Potential Revolution? Materials 2021, 14, 5772. https://doi.org/10.3390/ma14195772
Kovrlija I, Locs J, Loca D. Incorporation of Barium Ions into Biomaterials: Dangerous Liaison or Potential Revolution? Materials. 2021; 14(19):5772. https://doi.org/10.3390/ma14195772
Chicago/Turabian StyleKovrlija, Ilijana, Janis Locs, and Dagnija Loca. 2021. "Incorporation of Barium Ions into Biomaterials: Dangerous Liaison or Potential Revolution?" Materials 14, no. 19: 5772. https://doi.org/10.3390/ma14195772
APA StyleKovrlija, I., Locs, J., & Loca, D. (2021). Incorporation of Barium Ions into Biomaterials: Dangerous Liaison or Potential Revolution? Materials, 14(19), 5772. https://doi.org/10.3390/ma14195772

