Porous Composite Granules with Potential Function of Bone Substitute and Simvastatin Releasing System: A Preliminary Study
Abstract
:1. Introduction
2. Materials and Methods
2.1. Preparation of CaPs Powders
2.2. Characterization of the Powders
2.3. Preparation of Porous Granules
2.4. Characterization of the Granules
3. Results and Discussion
3.1. Characterization of the Obtained CaPs
3.2. Biological Properties of CaPs In Vitro
3.3. Morphology of the Granules
3.4. Porosity of the Granules
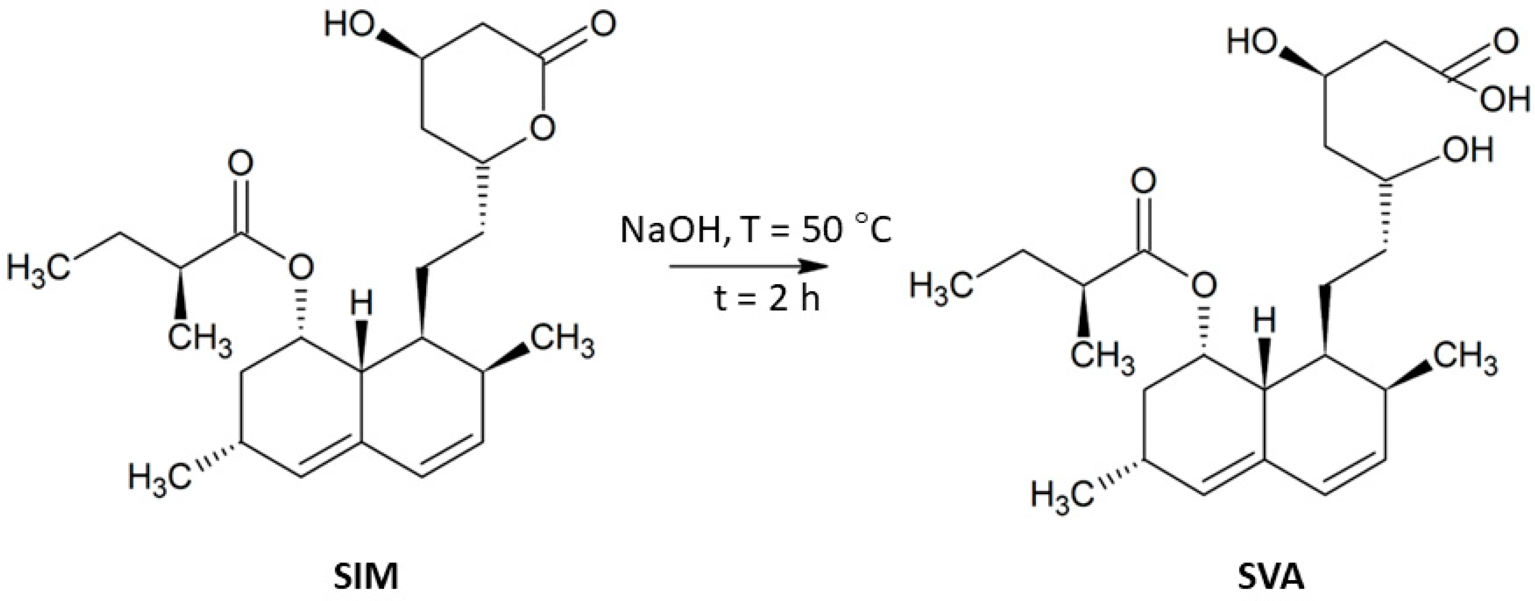
3.5. SIM and SVA Release Profiles
4. Conclusions
Author Contributions
Funding
Institutional Review Board Statement
Informed Consent Statement
Data Availability Statement
Acknowledgments
Conflicts of Interest
References
- Habraken, W.; Habibovic, P.; Epple, M.; Bohner, M. Calcium phosphates in biomedical applications: Materials for the future? Mater. Today 2016, 19, 69–87. [Google Scholar] [CrossRef]
- Lu, Y.; Yu, H.; Chen, C. Biological properties of calcium phosphate biomaterials for bone repair: A review. RSC Adv. 2018, 8, 2015–2033. [Google Scholar] [CrossRef] [Green Version]
- Dorozhkin, S.V.; Epple, M. Biological and Medical Significance of Calcium Phosphates. Angew. Chem. Int. Ed. 2002, 41, 3130–3146. [Google Scholar] [CrossRef]
- Vallet-Regi, M.; Gonzalez-Calbet, J.M. Calcium phosphates as substitution of bone tissue. Prog. Solid State Chem. 2004, 32, 1–32. [Google Scholar] [CrossRef]
- Chahkandi, M.; Mirzaei, M. Structural and particle size evolution of sol-gel derived nanocrystalline hydroxyapatite. J. Iran. Chem. Soc. 2017, 14, 567–575. [Google Scholar] [CrossRef]
- Kolmas, J.; Krukowski, S.; Laskus, A.; Jurkitewicz, M. Synthetic hydroxyapatite in pharmaceutical applications. Ceram. Int. 2016, 42, 2472–2487. [Google Scholar] [CrossRef]
- Ginebra, M.-P.; Canal, C.; Espanol, M. Calcium phosphate cements as drug delivery materials. Adv. Drug Deliv. Rev. 2012, 64, 1090–1110. [Google Scholar] [CrossRef]
- Supova, M. Substituted hydroxyapatites for biomedical applications: A review. Ceram. Int. 2015, 41, 9203–9231. [Google Scholar] [CrossRef]
- Laskus, A.; Kolmas, J. Ionic substitution in non-apatitic calcium phosphates. Int. J. Mol. Sci. 2017, 18, 2542. [Google Scholar] [CrossRef] [PubMed] [Green Version]
- Bernhardt, A.; Despang, F.; Lode, A.; Demmler, A.; Hänke, T.; Gelinsky, M. Proliferation and osteogenic differentiation of human bone marrow stromal cells on alginate–gelatine–hydroxyapatite scaffolds with anisotropic pore structure. J. Tissue Eng. Regen. Med. 2009, 3, 54–62. [Google Scholar] [CrossRef]
- Li, H.; Jiang, F.; Ye, S.; Wu, Y.; Zhu, K.; Wang, D. Bioactive apatite incorporated alginate microspheres with sustained drug-delivery for bone regeneration application. Mat. Sci. Eng. C 2016, 62, 779–786. [Google Scholar] [CrossRef]
- Ferreira Almeida, P.; Almeida, A.J. Cross-linked alginate-gelatin beads: A new matrix for controlled release of pindolol. J. Control. Release 2004, 97, 431–439. [Google Scholar] [CrossRef] [PubMed]
- Levingstone, T.J.; Herbaj, S.; Dunne, N.J. Calcium phosphate nanoparticles for therapeutic applications in bone regeneration. Nanomaterials 2019, 9, 1570. [Google Scholar] [CrossRef] [PubMed] [Green Version]
- Canal, C.; Khurana, K.; Gallinetti, S.; Bhatt, S.; Pulpytel, J.; Arefi-Khonsari, F.; Ginebra, M.-P. Design of calcium phosphate scaffolds with controlled simvastatin release by plasma polymerisation. Polymer 2016, 92, 170–178. [Google Scholar] [CrossRef]
- Mestres, G.; Kugiejko, K.; Pastorino, D.; Unosson, J.; Öhman, C.; Ott, M.K.; Ginebra, M.-P.; Persson, C. Changes in the drug release pattern of fresh and set simvastatin-loaded brushite cement. Mat. Sci. Eng. C 2016, 58, 88–96. [Google Scholar] [CrossRef]
- Kheirallah, M.; Almeshally, H. Simvastatin, dosage and delivery system for supporting bone regeneration, an update review. J. Oral Maxillofac. Surg. Med. Pathol. 2016, 28, 205–209. [Google Scholar] [CrossRef]
- Oryan, A.; Kamali, A.; Moshiri, A. Potential mechanisms and applications of statins on osteogenesis: Current modalities, conflicts and future directions. J. Control. Release 2015, 215, 12–14. [Google Scholar] [CrossRef] [PubMed]
- Kaesemeyer, W.H.; Caldwell, R.B.; Huang, J.; Caldwell, R.W. Pravastatin Sodium Activates Endothelial Nitric Oxide Synthase Independent of Its Cholesterol-Lowering Actions. JACC 1999, 33, 234–241. [Google Scholar] [CrossRef] [Green Version]
- Lau, C.P.Y.; Fung, C.S.H.; Wong, K.C.; Wang, Y.; Huang, L.; Tsui, S.K.W.; Lee, O.K.; Kumta, S.M. Simvastatin possesses antitumor and differentiation-promoting properties that affect stromal cells in giant cell tumor of bone. J. Orthop. Res. 2020, 38, 297–2310. [Google Scholar] [CrossRef]
- Kany, S.; Woschek, M.; Kneip, N.; Sturm, R.; Kalbitz, M.; Hanschen, M.; Relja, B. Simvastatin exerts anticancer effects in osteosarcoma cell lines via geranylgeranylation and c-Jun activation. Int. J. Oncol. 2018, 52, 1285–1294. [Google Scholar] [CrossRef] [Green Version]
- Di Bello, E.; Zwergel, C.; Mai, A.; Valente, S. The innovative potential of statins in cancer: New targets for new therapies. Front. Chem. 2020, 8, 516. [Google Scholar] [CrossRef]
- Mandal, C.C.; Ghosh-Choudhury, N.; Yoneda, T.; Choudhury, G.G.; Ghosh-Choudhury, N. Simvastatin prevents skeletal metastasis of breast cancer by an antagonistic interplay between p53 and CD44. J. Biol. Chem. 2011, 286, 11314–11327. [Google Scholar] [CrossRef] [PubMed] [Green Version]
- Cuozzo, R.C.; Miguez da Rocha Leao, M.H. Zinc alginate-hydroxyapatite composite microspheres for bone repair. Ceram. Int. 2014, 40, 11369–11375. [Google Scholar] [CrossRef]
- Shepherd, D. Zinc-substituted hydroxyapatite for the inhibition of osteoporosis. In Hydroxyapatite (Hap) for Biomedical Applications; Mucalo, M., Ed.; Woodhead Publishing: Shaxton, UK, 2015; pp. 107–126. [Google Scholar]
- Uskokovic, V.; Iyer, M.A.; Vu, V.M. One ion to rule them all: Combined antibacterial, osteoinductive and anticancer properties of selenite-incorporated hydroxyapatite. J. Mater. Chem. B 2017, 5, 1430–1445. [Google Scholar] [CrossRef] [PubMed]
- Laskus, A.; Zgadzaj, A.; Kolmas, J. Synthesis and physicochemical characterization of Zn-doped brushite. Ceram. Int. 2021, 47, 7798–77804. [Google Scholar] [CrossRef]
- Laskus, A.; Zgadzaj, A.; Kolmas, J. Zn2+ and SeO32− co-substituted hydroxyapatite: Physicochemical properties and biological usefulness. Ceram. Int. 2019, 45, 22707–22715. [Google Scholar] [CrossRef]
- Kolmas, J.; Oledzka, E.; Sobczak, M.; Nałecz-Jawecki, G. Nanocrystalline hydroxyapatite doped with selenium oxyanions: A new material for potential biomedical applications. Mater. Sci. Eng. C 2014, 39, 134–142. [Google Scholar] [CrossRef]
- Kolmas, J.; Pajor, K.; Pajchel, L.; Przekora, A.; Ginalska, G.; Oledzka, E.; Sobczak, M. Fabrication and physicochemical characterization of porous composite microgranules with selenium oxyanions and risedronate sodium for potential applications in bone tumours. Int. J. Nanomed. 2017, 12, 5633–5642. [Google Scholar] [CrossRef] [Green Version]
- ISO 10993-5 Biological Evaluation of Medical Devices—Part 5: Tests for In Vitro Cytotoxicity; International Organization for Standardization: Geneva, Switzerland, 2009.
- Przekora, A.; Czechowska, J.; Pijocha, D.; Ślósarczyk, A.; Ginalska, G. Do novel cement-type biomaterials reveal ion reactivity that affects cell viability in vitro? Centr. Eur. J. Biol. 2014, 9, 277–289. [Google Scholar] [CrossRef]
- Bouropoulos, N.; Stampolakis, A.; Mouzakis, D.E. Dynamic mechanical properties of calcium-alginate- hydroxyapatite nanocomposite hydrogels. Sci. Adv. Mater. 2010, 2, 1–4. [Google Scholar] [CrossRef]
- Pajchel, Ł.; Kowalska, V.; Smoleń, D.; Kedzierska, A.; Pietrzykowska, E.; Lojkowski, W.; Kolodziejski, W. Comprehensive structural studies of ultra-fine nanocrystalline calcium hydroxyapatite using MAS NMR and FT-IR spectroscopic methods. Mater. Res. Bull. 2013, 48, 4818–4825. [Google Scholar] [CrossRef]
- Boanini, E.; Silingardi, F.; Gazzano, M.; Bigi, A. Synthesis and hydrolysis of brushite (DCPD): The role of ionic substitution. Cryst. Growth Des. 2021, 21, 1689–1697. [Google Scholar] [CrossRef]
- Kumar, M.; Xie, J.; Chittur, K.; Riley, C. Transformation of modified brushite to hydroxyapatite in aqueous solution: Effects of potassium solution. Biomaterials 1999, 20, 1389–1399. [Google Scholar] [CrossRef]
- Gustavsson, J.; Ginebra, M.P.; Engel, E.; Planell, J. Ion reactivity of calcium-deficient hydroxyapatite in standard cell culture media. Acta Biomater. 2011, 7, 4242–4252. [Google Scholar] [CrossRef]
- Malafaya, P.B.; Reis, R.L. Bilayered chitosan-based scaffolds for osteochondral tissue engineering: Influence of hydroxyapatite on in vitro cytotoxicity and dynamic bioactivity studies in a specific double-chamber bioreactor. Acta Biomater. 2009, 5, 644–660. [Google Scholar] [CrossRef] [PubMed] [Green Version]
- Bao, P.; Chen, Z.; Tai, R.-Z.; Shen, H.-M.; Martin, F.L.; Zhu, Y.-G. Selenite-induced toxicity in cancer cells is mediated by metabolic generation of endogenous selenium nanoparticles. J. Proteome Res. 2015, 14, 1127–1136. [Google Scholar] [CrossRef]
- Zhou, Z.-F.; Sun, T.-W.; Qin, Y.-H.; Zhu, Y.J.; Jiang, Y.Y.; Zhang, Y.; Liu, J.; Wu, J.; He, S.; Chen, F. Selenium-doped hydroxyapatite biopapers with an anti-bone tumor effect by inducing apoptosis. Biomater. Sci. 2019, 7, 5044–5053. [Google Scholar] [CrossRef]
- Barbanente, A.; Palazzo, B.; Esposti, L.D.; Adamiano, A.; Iafisco, M.; Ditaranto, N.; Migoni, D.; Gervaso, F.; Nadar, R.; Ivanchenko, P.; et al. Selenium-doped hydroxyapatite nanoparticles for potential application in bone tumour therapy. J. Inorg. Biochem. 2021, 215, 111. [Google Scholar] [CrossRef]
- Zhang, J.; Wang, Q.; Wang, A. In situ generation of sodium alginate/hydroxyapatite nanocomposite beads as drug-controlled release matrices. Acta Biomater. 2010, 6, 445–454. [Google Scholar] [CrossRef]
- Venkatesan, J.; Bhatnagar, I.; Manivasagan, P.; Kang, K.H.; Kim, S.K. Alginate composites for bone tissue engineering: A review. Int. J. Biol. Macrobiol. 2015, 72, 269–281. [Google Scholar] [CrossRef]





| Components Granules | Se-HA (w/v %) | Zn-DCPD (w/v %) | SA (w/v %) | GEL (w/v %) | Cross−Linking Agent | |
|---|---|---|---|---|---|---|
| 1.5% Zn2+ (aq.) | 0.5% GAH (et.) | |||||
| SIM A | 4.0 | 4.0 | 4.0 | − | + | − |
| SIM AG | 4.0 | 4.0 | 2.0 | 2.0 | + | − |
| SIM AGG | 4.0 | 4.0 | 2.0 | 2.0 | + | + |
| SVA A | 4.0 | 4.0 | 4.0 | − | + | − |
| SVA AG | 4.0 | 4.0 | 2.0 | 2.0 | + | − |
| SVA AGG | 4.0 | 4.0 | 2.0 | 2.0 | + | + |
| Granules | Specific Surface [m2/g] | Pores’ Surface [m2/g] | Total X56-p[s0poporosity [%] | Total Pores’ Volume [cm3/g] | Mesopores’ Percentage [%] | Average Pores’ Diameter [nm] |
|---|---|---|---|---|---|---|
| SIM/SVA A | 13.8 | 51 | 43 | 0.46 | 37 | 36 |
| SIM/SVA AG | 6.2 | 51 | 39 | 0.34 | 43 | 27 |
| SIM/SVA AGG | 7.0 | 44 | 43 | 0.42 | 33 | 38 |
Publisher’s Note: MDPI stays neutral with regard to jurisdictional claims in published maps and institutional affiliations. |
© 2021 by the authors. Licensee MDPI, Basel, Switzerland. This article is an open access article distributed under the terms and conditions of the Creative Commons Attribution (CC BY) license (https://creativecommons.org/licenses/by/4.0/).
Share and Cite
Laskus-Zakrzewska, A.; Kazimierczak, P.; Kolmas, J. Porous Composite Granules with Potential Function of Bone Substitute and Simvastatin Releasing System: A Preliminary Study. Materials 2021, 14, 5068. https://doi.org/10.3390/ma14175068
Laskus-Zakrzewska A, Kazimierczak P, Kolmas J. Porous Composite Granules with Potential Function of Bone Substitute and Simvastatin Releasing System: A Preliminary Study. Materials. 2021; 14(17):5068. https://doi.org/10.3390/ma14175068
Chicago/Turabian StyleLaskus-Zakrzewska, Aleksandra, Paulina Kazimierczak, and Joanna Kolmas. 2021. "Porous Composite Granules with Potential Function of Bone Substitute and Simvastatin Releasing System: A Preliminary Study" Materials 14, no. 17: 5068. https://doi.org/10.3390/ma14175068
APA StyleLaskus-Zakrzewska, A., Kazimierczak, P., & Kolmas, J. (2021). Porous Composite Granules with Potential Function of Bone Substitute and Simvastatin Releasing System: A Preliminary Study. Materials, 14(17), 5068. https://doi.org/10.3390/ma14175068

