Nanocarbon Type Xerogel Materials Designed for Water Desalination
Abstract
:1. Introduction
2. Materials and Methods
2.1. Synthesis of the Initial RF Solution
2.2. Preparing the CX Sheets Electrodes—Design of the RF Components/Electrodes for the CDI Experimental Module
2.3. Characterisation of the CX Electrodes—Equipment
3. Results
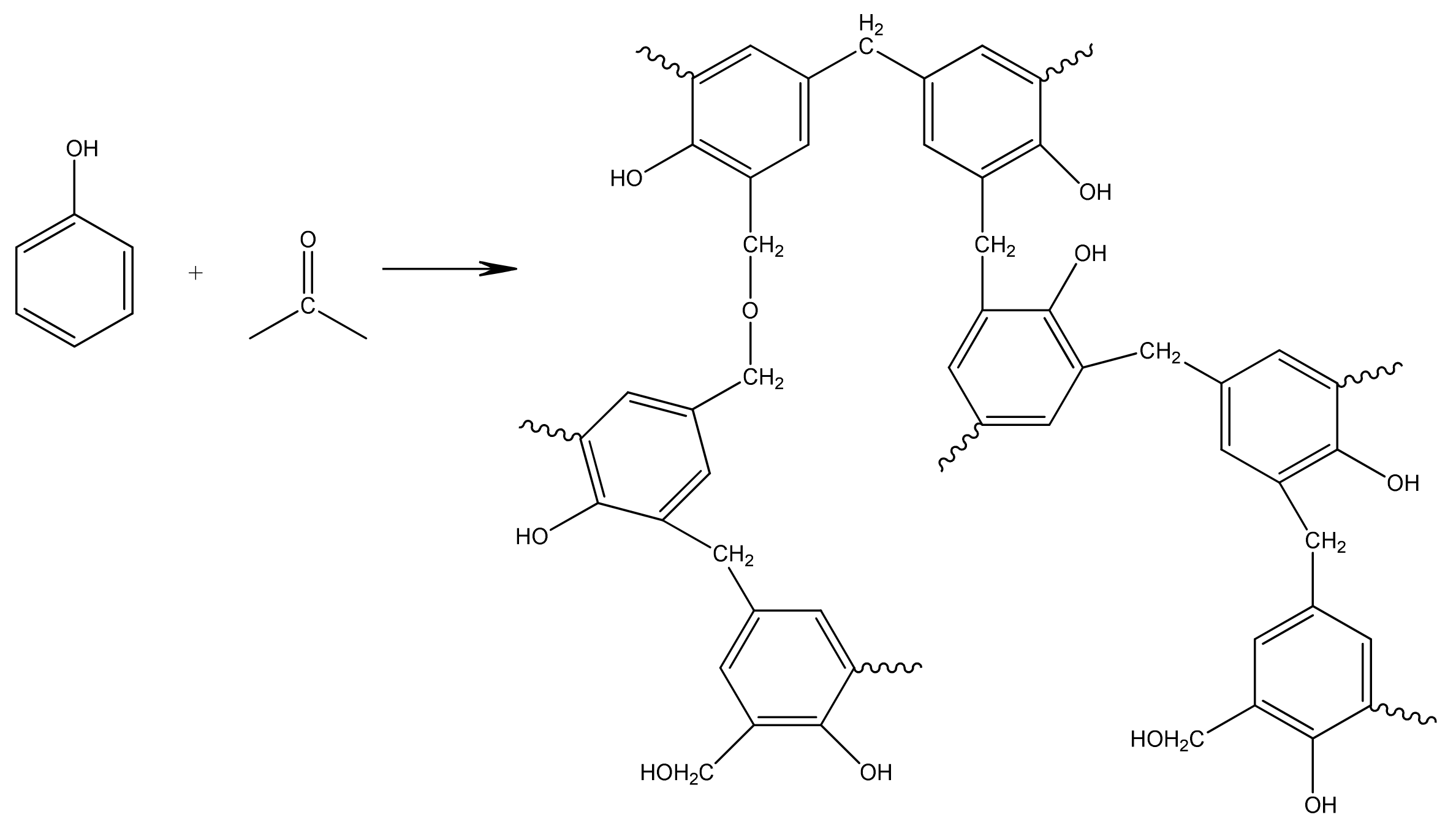
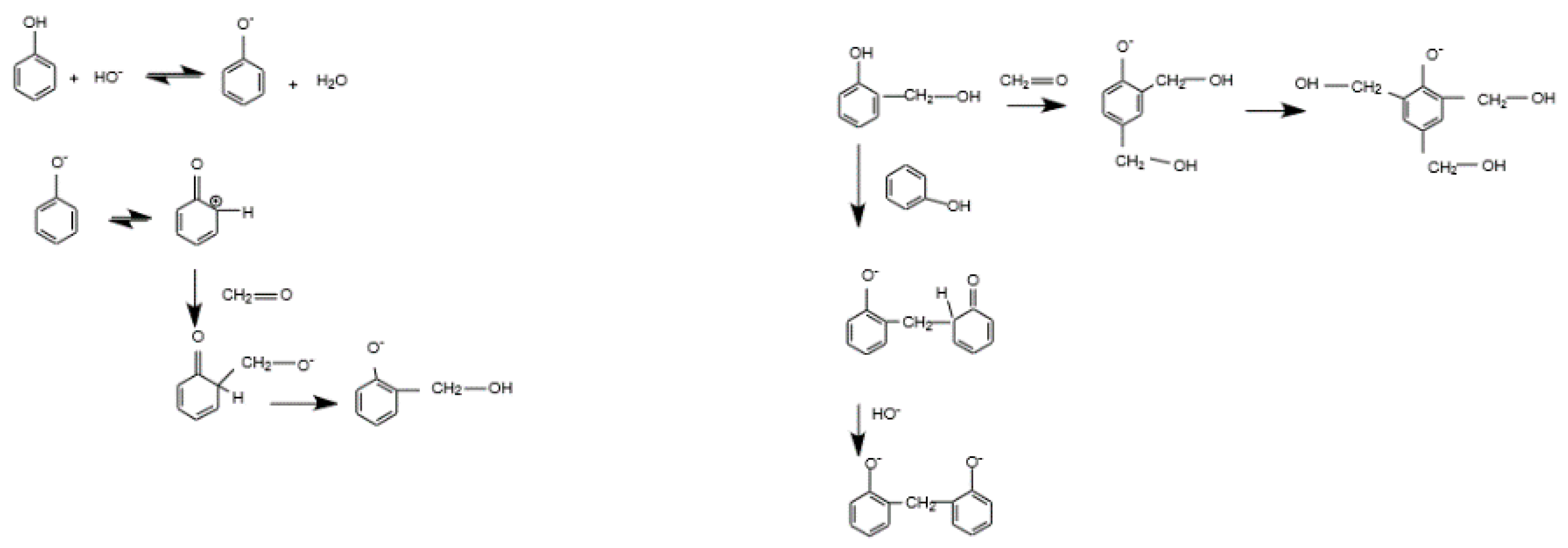
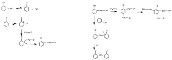
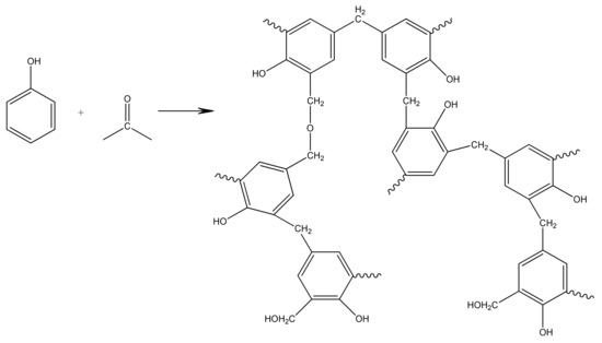
3.1. Synthesis of RF Gels
- the synthesis of hydroxymetyl derivates from resorcinol anions via hydrogen abstraction (increased by OH-) and formaldehyde addition;
- condensation of hydroxymetyl derivates and cluster growth. These two sections demonstrate how the final texture is influenced by the RF gels’ synthesis parameters at the start (e.g., pH and dilution ratio). The first addition reaction is favored when the pH rises, resulting in very branched and unstable aggregates and smaller, more connected polymer particles. In Figure 3 is illustrated the general mechanism of RF gel networks development including formation and condensation of hydroxymethyl derivates.
3.2. Characterizations of CX
3.3. Appearance of the RF Gels
3.4. Morphology of the RF Gels after Pyrolysis
3.5. Electrochemical Characterization of CX-Based Electrodes
3.6. Performance Evaluation of CX-Based Electrodes for Capacitive Desalination
3.6.1. CDI Operating Principle
3.6.2. Design of Laboratory Scale CDI Module
- —desalination yield.
- —initial conductivity of the feed stream.
- —conductivity at the output of the CDI module.
- energy consumption, Wh
- voltage, V
- recorded electrical current, mA: = 290 mA
- time, h
4. Conclusions
5. Patents
Author Contributions
Funding
Institutional Review Board Statement
Informed Consent Statement
Data Availability Statement
Acknowledgments
Conflicts of Interest
References
- Zhang, X.; Zuo, K.; Zhang, X.; Zhang, C.; Liang, P. Selective ion separation by capacitive deionization (CDI) based technologies: A state-of-the-art review. Environ. Sci. Water Res. Technol. 2020, 6, 243–257. [Google Scholar] [CrossRef]
- Zhang, C.; He, D.; Ma, J.; Tang, W.; Waite, T. Faradaic reactions in capacitive deionization (CDI)–problems and possibilities: A review. Water Res. 2018, 128, 314–330. [Google Scholar] [CrossRef]
- Tang, W.; Liang, J.; He, D.; Gong, J.; Tang, L.; Liu, Z.; Wang, D.; Zeng, G. Various cell architectures of capacitive deionization: Recent advances and future trends. Water Res. 2019, 150, 225–251. [Google Scholar] [CrossRef]
- Biesheuvel, P.M. Thermodynamic cycle analysis for capacitive deionization. J. Colloid Interface Sci. 2009, 332, 258–264. [Google Scholar] [CrossRef] [PubMed]
- Suss, M.E.; Baumann, T.F.; Bourcier, W.L.; Spadaccini, C.M.; Rose, K.A.; Santiago, J.G.; Staderman, M. Capacitive desalination with flow-through electrodes. Energy Environ. Sci. 2012, 5, 9511–9519. [Google Scholar] [CrossRef]
- Xu, P.; Drewes, J.E.; Heil, D.; Wang, G. Treatment of brackish produced water using carbon aerogel-based capacitive deionization technology. Water Res. 2008, 42, 2605–2617. [Google Scholar] [CrossRef] [PubMed]
- Pekala, R.W.; Farmer, J.C.; Alviso, C.V.; Tran, T.D.; Mayer, S.T.; Miller, J.M.; Dunn, B. Carbon aerogels for electrochemical applications. J. Non-Cryst. Solids 1998, 225, 74–80. [Google Scholar] [CrossRef]
- Gabelich, C.J.; Tran, T.D.; Suffet, I.H.M. Electrosorption of inorganic salts from aqueous solution using carbon aerogels. Environ. Sci. Technol. 2002, 36, 3010–3019. [Google Scholar] [CrossRef]
- Yang, C.-M.; Choi, W.-H.; Na, B.-K.; Cho, B.W.; Cho, W.I. Capacitive deionization of NaCl solution with carbon aerogel-silica gel composite electrodes. Desalination 2005, 174, 125–133. [Google Scholar] [CrossRef]
- Hou, C.-H.; Liang, C.; Yiacoumi, S.; Dai, S.; Tsouris, C. Electrosorption capacitance of nanostructured carbon-based materials. J. Colloid Interface Sci. 2006, 302, 54–61. [Google Scholar] [CrossRef]
- Chen, Z.; Zhang, H.; Wu, C.; Luo, L.; Wang, C.; Huang, S.; Xu, H. A study of the effect of carbon characteristics on capacitive deionization (CDI) performance. Desalination 2018, 433, 68–74. [Google Scholar] [CrossRef]
- Tong, Y.; Zhou, S.; Zhou, J.; Zhang, G.; Li, X.; Zhao, C.; Liu, P. Advances in efficient desalination technology of capacitive deionization for water recycling. Water Reuse 2021, 11, 189–200. [Google Scholar]
- Tang, L.; Wang, Y.; Li, Y.; Feng, H.; Lu, J.; Li, J. Preparation, structure, and electrochemical properties of reduced graphene sheet films. Adv. Funct. Mater. 2009, 19, 2782–2789. [Google Scholar] [CrossRef]
- Zhang, D.; Wen, X.; Shi, L.; Yan, T.; Zhang, J. Enhanced capacitive deionization of graphene/mesoporous carbon composites. Nanoscale 2012, 4, 5440–5446. [Google Scholar] [CrossRef]
- Sui, Z.; Meng, Q.; Zhang, X.; Ma, R.; Cao, B. Green synthesis of carbon nanotube-graphene hybrid aerogels and their use as versatile agents for water purification. J. Mater. Chem. 2012, 22, 8767–8771. [Google Scholar] [CrossRef]
- Yin, H.; Zhao, S.; Wan, J.; Tang, H.; Chang, L.; He, L.; Zhao, H.; Gao, Y.; Tang, Z. Three-dimensional graphene/metal oxide nanoparticle hybrids for high-performance capacitive deionization of saline water. Adv. Mater. 2013, 25, 6270–6276. [Google Scholar] [CrossRef]
- Alam, M.; Seyed, A.S.; Ghaani, M.R. Performance evaluation of optimized carbon xerogel electrode in desalination through flow-electrode capacitive deionization: Capacitance optimization by response surface methodology. Desalination Water Treat. 2019, 145, 57–69. [Google Scholar] [CrossRef]
- Zou, L.; Morris, G.; Qi, D. Using activated carbon electrode in electrosorptive deionisation of brackish water. Desalination 2008, 225, 329–340. [Google Scholar] [CrossRef]
- Li, L.; Song, H.; Chen, X. Ordered mesoporous carbons from the carbonization of sulfuric-acid-treated silica/triblock copolymer/sucrose composites. J. Micropor. Mesopor. Mater. 2006, 94, 9–14. [Google Scholar] [CrossRef]
- Li, Y.; Chen, N.; Li, Z.; Shao, H.; Qu, L. Frontiers of carbon materials as capacitive deionization electrodes. Dalton Trans. 2020, 49, 5006–5014. [Google Scholar] [CrossRef]
- Cao, Z.; Zhang, C.; Yang, Z.; Qin, Q.; Zhang, Z.; Wang, X.; Shen, J. Preparation of Carbon Aerogel Electrode for Electrosorption of Copper Ions in Aqueous Solution. Materials 2019, 12, 1864. [Google Scholar] [CrossRef] [PubMed] [Green Version]
- Xue, H.; Fu, Y.J.; Luo, A.Y.; Shen, J.; Wu, G.M.; Zhou, B. Research Progress of Carbon Aerogels and Their Application in Deionization. Mater. Rev. 2006, 20, 137–139. [Google Scholar]
- Liu, D.; Shen, J.; Li, Y.J. Pore Structures of Carbon Aerogels and Their Effects on Electrochemical Supercapacitor Performance. Acta Phys.-Chim. Sin. 2012, 28, 843–849. [Google Scholar]
- Farmer, J.F.; Fix, D.V.; Mack, G.V.; Pekala, R.W.; Poco, J.F. Capacitive, deionization with carbon aerogel electrodes: Carbonate, sulfate, and phosphate. In Proceedings of the International Technical Conference of the Society for the Advancement of Material and Process Engineering (SAMPE): Diversity into the Next Century, Albuquerque, NM, USA, 9–12 October 1995. [Google Scholar]
- Kim, S.J.; Hwang, S.W.; Hyun, S.H. Preparation of carbon aerogel electrodes for supercapacitor and their electrochemical characteristics. J. Mater. Sci. 2005, 40, 725–731. [Google Scholar] [CrossRef]
- Hwang, S.W.; Hyun, S.H. Capacitance control of carbon aerogel electrodes. J. Non-Cryst. Solids 2004, 347, 238–245. [Google Scholar] [CrossRef]
- Son, M.; Cho, K.H.; Jeong, K.; Park, J. Membrane and Electrochemical Processes for Water Desalination: A Short Perspective and the Role of Nanotechnology. Membranes 2020, 10, 280. [Google Scholar] [CrossRef]
- Gao, X.; Omosebi, A.; Landon, J.; Liu, K. Enhanced salt removal in an inverted capacitive deionization cell using amine modified microporous carbon cathodes. Environ. Sci. Technol. 2015, 49, 10920–10926. [Google Scholar] [CrossRef]
- Cohen, I.; Avraham, E.; Noked, M.; Soffer, A.; Aurbach, D. Surface-treated carbon electrodes with modified potential of zero charge for capacitive deionization. J. Phys. Chem. C 2011, 115, 19856. [Google Scholar] [CrossRef]
- Wu, T.; Wang, G.; Dong, Q.; Qian, J.; Meng, Y.; Qiu, J. Asymmetric capacitive deionization utilizing nitric acid treated activated carbon fiber as the cathode. Electrochim. Acta 2015, 176, 426–433. [Google Scholar] [CrossRef]
- Omosebi, A.; Gao, X.; Rentschler, J.; Landon, J.; Liu, K. Continuous operation of membrane capacitive deionization cells assembled with dissimilar potential of zero charge electrode pairs. Colloid Interface Sci. 2015, 446, 345–351. [Google Scholar] [CrossRef]
- Qian, B.; Wang, G.; Ling, Z.; Dong, Q.; Wu, T.; Zhang, X.; Qiu, J. Sulfonated graphene as cation-selective coating: A new strategy for high-performance membrane capacitive deionization. Adv. Mater. Interfaces 2015, 2, 1500372. [Google Scholar] [CrossRef]
- Gao, X.; Porada, S.; Omosebi, A.; Liu, K.L.; Biesheuvel, P.M.; Landon, J. Complementary surface charge for enhanced capacitive deionization. Water Res. 2016, 92, 275–282. [Google Scholar] [CrossRef] [Green Version]
- Su, X.; Kulik, H.J.; Jamison, T.F.; Hatton, T.A. Anion-Selective Redox Electrodes: Electrochemically Mediated Separation with Heterogeneous Organometallic Interfaces. Adv. Funct. Mater. 2016, 26, 3394–3404. [Google Scholar] [CrossRef]
- Liu, P.; Wang, H.; Yan, T.; Zhang, J.; Shi, L.; Zhang, D. Grafting sulfonic and amine functional groups on 3D graphene for improved capacitive deionization. J. Mater. Chem. A 2016, 4, 5303–5313. [Google Scholar] [CrossRef]
- Yang, Z.Y.; Jin, L.J.; Lu, G.Q.; Xiao, Q.Q.; Zhang, Y.X.; Jing, L.; Zhang, X.X.; Yan, Y.M.; Sun, K.N. Sponge-templated preparation of high surface area graphene with ultrahigh capacitive deionization performance. Adv. Funct. Mater. 2014, 24, 3917–3925. [Google Scholar] [CrossRef]
- Arulrajan, A.C.; Ramasamy, D.L.; Sillanpää, M.; van der Wal, A.; Biesheuvel, P.M.; Porada, S.; Dykstra, J.E. Exceptional Water Desalination Performance with Anion-Selective Electrodes. Adv. Mater. 2019, 31, 1806937. [Google Scholar] [CrossRef]
- Kliestik, T.; Nica, E.; Musa, H.; Poliak, M.; Mihai, E.-A. Networked, Smart, and Responsive Devices in Industry 4.0 Manufacturing Systems, Economics. Manag. Financ. Mark. 2020, 15, 23–29. [Google Scholar]
- Nefzi, N. Fear of Failure and Entrepreneurial Risk Perception. Int. J. Entrep. Knowl. 2018, 6, 45–58. [Google Scholar] [CrossRef]
- Maroušek, J.; Maroušková, A.; Zoubek, T.; Bartoš, P. Economic impacts of soil fertility degradation by traces of iron from drinking water treatment. Environ. Dev. Sustain. 2021, 1–10. [Google Scholar] [CrossRef]
- Stávková, J.; Maroušek, J. Novel sorbent shows promising financial results on P recovery from sludge water. Chemosphere 2021, 276, 130097. [Google Scholar] [CrossRef]
- Choi, D.; Yeom, H.J.; You, K.H.; Kim, J.H.; Seong, D.J.; Yoon, E.; Lee, H.-C. Generation of carbon nanowhiskers, nanotips, and nanodots by controlling plasma environment: Ion energy and radical effects. Carbon 2020, 162, 423–430. [Google Scholar] [CrossRef]
- Lee, J.; Kim, S.; Kim, N.; Kim, C.; Yoon, J. Enhancing the Desalination Performance of Capacitive Deionization Using a Layered Double Hydroxide Coated Activated Carbon Electrode. Appl. Sci. 2020, 10, 403. [Google Scholar] [CrossRef] [Green Version]
- Al-Muhtaseb, S.A.; Ritter, J.A. Preparation and properties of resorcinol–formaldehyde organic and carbon gels. Adv. Mater. 2003, 15, 101–114. [Google Scholar] [CrossRef]
- Tamon, H.; Ishizaka, H.; Mikami, M.; Okazaki, M. Porous structure of organic and carbon aerogels synthesized by sol–gel polycondensation of resorcinol with formaldehyde. Carbon 1997, 35, 791–796. [Google Scholar] [CrossRef]
- Tamon, H.; Ishizaka, H.; Yamamoto, T.; Suzuki, T. Preparation of mesoporous carbon by freeze drying. Carbon 1999, 37, 2049–2055. [Google Scholar] [CrossRef]
- Yamamoto, T.; Nishimura, T.; Suzuki, T.; Tamon, H. Control of mesoporosity of carbon gels prepared by sol-gel polycondensation and freeze drying. J. Non. Cryst. Solids 2001, 288, 46–55. [Google Scholar] [CrossRef]
- Feng, J.; Zhang, C. Shrinkage and pore structure in preparation of carbon aerogels. J. Sol-Gel Sci. Technol. 2011, 59, 371–380. [Google Scholar] [CrossRef]
- Feng, Y.; Ge, L.; Jiang, B.; Miao, L.; Masaki, T. Reactant Concentration and Carbonization to the Controllable Fabrication of Carbon Aerogels. Mater. Sci. Forum 2013, 744, 20–23. [Google Scholar] [CrossRef]
- Mulik, S.; Sotiriou-Leventis, C.; Leventis, N. Time-Efficient Acid-Catalyzed Synthesis of Resorcinol—Formaldehyde Aerogels. Chem. Mater. 2007, 19, 6138–6144. [Google Scholar] [CrossRef]
- Li, J.; Wang, X.; Li, J.; Huang, Q.; Wang, X.; Gamboa, S.; Huang, Q.; Gamboa, S.; Sebastian, P.J. Studies on preparation and performances of carbon aerogel electrodes for the application of supercapacitor. J. Power Sources 2006, 158, 784. [Google Scholar] [CrossRef]
- Macías, C.; Lavela, P.; Rasines, G.; Zafra, M.C.; Tirado, J.L.; Ania, C.O. On the correlation between the porous structure and the electrochemical response of powdered and monolithic carbon aerogels as electrodes for capacitive deionization. J. Solid State Chem. 2016, 242, 21–28. [Google Scholar] [CrossRef]
- Lu, S.; Guo, H.; Zhou, Y.; Liu, Y.; Jin, Z.; Liu, B.; Zhao, Y. The monolithic carbon aerogels and aerogel composites for electronics and thermal protection applications. AIP Conf. Proc. Am. Inst. Phys. 2017, 1884, 030004. [Google Scholar]
- Thommes, M.; Cychosz, K.A. Physical adsorption characterization of nanoporous materials: Progress and challenges. Adsorption 2014, 20, 233–250. [Google Scholar] [CrossRef]
- Leu, I.-C.; Hon, M.-H. Nucleation behavior of silicon carbide whiskers grown by chemical vapor deposition. J. Cryst. Growth 2002, 236, 171–175. [Google Scholar] [CrossRef]
- Bacon, R. Growth, Structure, and Properties of Graphite Whiskers. J. Appl. Phys. 1960, 31, 283. [Google Scholar] [CrossRef]
- Fonseca, A.; Hernadi, K.; Piedigrosso, P.; Colomer, J.-F.; Mukhopadhyay, K.; Doome, R.; Lazarescu, S.; Biró, L.P.; Lambin, P.; Thiry, P.; et al. Synthesis of single- and multi-wall carbon nanotubes over supported catalysts. Appl. Phys. A 1998, 67, 11–22. [Google Scholar] [CrossRef]
- Suss, M.E.; Porada, S.; Sun, X.; Biesheuvel, P.M.; Yoon, J.; Presser, V. Water desalination via capacitive deionization: What is it and what can we expect from it. Energy Environ. Sci. 2015, 8, 2296–2319. [Google Scholar] [CrossRef] [Green Version]
- Anderson, M.; Cudero, L.; Jesus, A.; Jesus, P. Capacitive deionization as an electrochemical means of saving energy and delivering clean water. Comparison to present desalination practices: Will it compete? Electrochim. Acta 2010, 55, 3845–3856. [Google Scholar] [CrossRef]























| Reagents Molar Ratio | Temperature of Pyrolysis Process, (°C) | Organic Gel/ Carbon Xerogel | SBET (m2·g−1) |
|---|---|---|---|
| R/C = 20 R/F = 0.5 | 800 | RF gel CX | 7.25 × 10 1.03 × 102 |
| R/C = 200 R/F = 0.5 | 800 | RF gel CX | 4.23 × 10 1.55 × 102 |
| R/C = 20 R/F = 0.5 | 950 | RF gel CX | 7.25 × 10 2.45 × 102 |
| R/C = 200 R/F = 0.5 | 950 | RF gel CX | 2.85 × 10 3.85 × 102 |
| Variant | pH | R/C | D (Dilution Ratio) | Na2CO3 (g) | SBET (m2·g−1) RF Gels after Pyrolysis | SBET (m2·g−1)) Carbon Felt Impregnated with RF Gels after Pyrolysis |
|---|---|---|---|---|---|---|
| X1 | 5.5 | 1000 | 0.91 | 0.035 | 290 | 310 |
| X2 | 6.04 | 500 | 0.95 | 0.077 | 267 | 595 |
| X3 | 7.55 | 20 | 0.96 | 0.773 | 209 | 485 |
| X4 | 6.85 | 1000 | 1.80 | 0.031 | 315 | 887 |
| Variant | Electrolyte | Rel, kΩ·cm2 | Rp, kΩ·cm2 | Cdl, μF/cm2 |
|---|---|---|---|---|
| X1 | NaCl 0.5M | 1.54 × 10−3 | 100.5 | 158.3 |
| NaCl 0.25M | 86.9 × 10−3 | 460.4 | 69.13 | |
| NaCl 0.1M | 39.9 × 10−3 | 851.5 | 11.81 | |
| X2 | NaCl 0.5M | 8.93 × 10−3 | 41.65 | 603.6 |
| NaCl 0.25M | 215 × 10−3 | 140.6 | 226.3 | |
| NaCl 0.1M | 8.76 × 10−3 | 111.4 | 71.39 | |
| X3 | NaCl 0.5M | 13.4 × 10−3 | 44.44 | 716.1 |
| NaCl 0.25M | 42.19 × 10−3 | 377.2 | 84.38 | |
| NaCl 0.1M | 56.9 × 10−3 | 461.3 | 69 | |
| X4 | NaCl 0.5M | 5.57 × 10−3 | 32 × 10−3 | 777.9 |
| NaCl 0.25M | 28.1 × 10−3 | 72.68 | 437.9 | |
| NaCl 0.1M | 3.71 × 10−3 | 1 | 158.8 |
| Component | Molecular Weight | g/L | |
|---|---|---|---|
| NaCl | 58.44 | 23.936 | |
| Na2SO4 | 142.04 | 4.008 | |
| KCl | 74.56 | 0.677 | |
| NaHCO3 | 84 | 0.196 | |
| KBr | 119.01 | 0.098 | |
| H3BO3 | 61.83 | 0.026 | |
| NaF | 41.99 | 0.003 | |
| Molecular weight | Mol/L solution | Concentration | |
| MgCl2 × 6H2O | 203.33 | 0.05327 | 1.0 M |
| CaCl2 × 2H2O | 147.03 | 0.01033 | 1.0 M |
| SrCl × 6H2O | 266.64 | 0.00009 | 0.1 M |
| NaCl Solution | Artificial Sea Water | ||
|---|---|---|---|
| Voltage, V | Desalination Yield, % | Voltage, V | Desalination Yield, % |
| 1.2 | 63.63 | 1.2 | 99.09 |
| 1. | 76.47 | 1. | 96.12 |
| 0.8 | 84.85 | 0.8 | 86.65 |
| 0.6 | 79.31 | 0.6 | 85.62 |
Publisher’s Note: MDPI stays neutral with regard to jurisdictional claims in published maps and institutional affiliations. |
© 2021 by the authors. Licensee MDPI, Basel, Switzerland. This article is an open access article distributed under the terms and conditions of the Creative Commons Attribution (CC BY) license (https://creativecommons.org/licenses/by/4.0/).
Share and Cite
Hristea, G.; Iordoc, M.; Culcea, A. Nanocarbon Type Xerogel Materials Designed for Water Desalination. Materials 2021, 14, 4932. https://doi.org/10.3390/ma14174932
Hristea G, Iordoc M, Culcea A. Nanocarbon Type Xerogel Materials Designed for Water Desalination. Materials. 2021; 14(17):4932. https://doi.org/10.3390/ma14174932
Chicago/Turabian StyleHristea, Gabriela, Mihai Iordoc, and Andreea Culcea. 2021. "Nanocarbon Type Xerogel Materials Designed for Water Desalination" Materials 14, no. 17: 4932. https://doi.org/10.3390/ma14174932
APA StyleHristea, G., Iordoc, M., & Culcea, A. (2021). Nanocarbon Type Xerogel Materials Designed for Water Desalination. Materials, 14(17), 4932. https://doi.org/10.3390/ma14174932
