Sign in to use this feature.

Years

Between: -

Subjects

remove_circle_outline
remove_circle_outline
remove_circle_outline
remove_circle_outline
remove_circle_outline
remove_circle_outline
remove_circle_outline
remove_circle_outline
remove_circle_outline

Journals

remove_circle_outline
remove_circle_outline
remove_circle_outline
remove_circle_outline
remove_circle_outline
remove_circle_outline
remove_circle_outline
remove_circle_outline
remove_circle_outline
remove_circle_outline
remove_circle_outline
remove_circle_outline

Article Types

Countries / Regions

remove_circle_outline
remove_circle_outline
remove_circle_outline
remove_circle_outline
remove_circle_outline

Search Results (1,553)

Search Parameters:
Keywords = water desalination

Order results
Result details
Results per page
Select all
Export citation of selected articles as:
19 pages, 3315 KB  
Article
Effects of Deep Ploughing Combined with Subsurface Drainage on Soil Water–Salt Dynamics and Physical Properties in Arid Regions
by Miao Wu, Yingjie Ma, Pengrui Ai, Zhenghu Ma and Changjiang Liu
Sustainability 2026, 18(2), 862; https://doi.org/10.3390/su18020862 - 14 Jan 2026
Abstract
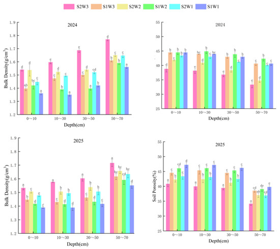
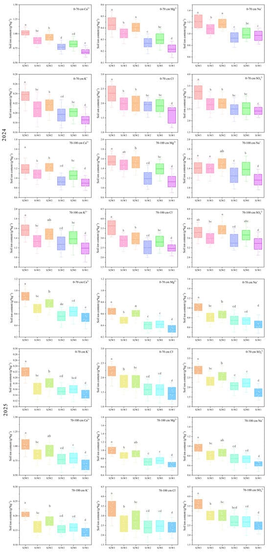
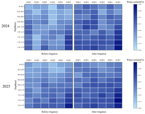
A two-year (2024–2025) field experiment was conducted in southern Xinjiang to alleviate soil compaction and severe salinization in saline–alkali soils and to evaluate the combined effects of tillage depth and subsurface drain spacing on soil improvement. Six treatments were established with three deep [...] Read more.
A two-year (2024–2025) field experiment was conducted in southern Xinjiang to alleviate soil compaction and severe salinization in saline–alkali soils and to evaluate the combined effects of tillage depth and subsurface drain spacing on soil improvement. Six treatments were established with three deep tillage depths, 70 cm (W1), 50 cm (W2), and 30 cm (W3), and two subsurface drain spacings, 20 m (S1) and 40 m (S2). Treatment effects on soil water–salt dynamics, soil physical properties and structure, ionic composition, and subsurface drainage and salt removal were analyzed. This study provides mechanistic and practical evidence that coupling deep tillage with subsurface drainage creates a more effective leaching–drainage pathway than either measure alone and enables robust optimization of design parameters (drain spacing × tillage depth) for saline–alkali land improvement in arid regions. Deep tillage in combination with subsurface drainage significantly increased soil profile water content, total porosity, and cumulative subsurface drainage and salt export, all of which reached their maxima under S1W1; it also significantly reduced bulk density, total salinity, and the concentrations of Na+, K+, Mg2+, Ca2+, Cl, and SO42−, which reached their minima under S1W1. After two spring irrigation–leaching events (in 2024 and 2025), surface salt accumulation in the soil profile was markedly alleviated, and the mean salinity in the 0–20 cm layer decreased by 45.68% across treatments. The S1W1 treatment achieved the best desalinization performance in both leaching events, with reductions of 41.36% and 44.68%, respectively. Pearson correlation analysis indicated that the desalinization effect was significantly negatively correlated with porosity and significantly positively correlated with bulk density and ionic concentrations. Overall, coupling deep tillage with subsurface drainage effectively reduced soil salinity and harmful ions, improved soil structure, and enhanced drainage-mediated salt removal, with the 70 cm tillage depth combined with a 20 cm drain spacing delivering the best performance. Full article
Show Figures

Figure 1

38 pages, 1508 KB  
Review
Renewable Energy-Driven Pumping Systems and Application for Desalination: A Review of Technologies and Future Directions
by Levon Gevorkov, Ehsan Saebnoori, José Luis Domínguez-García and Lluis Trilla
Appl. Sci. 2026, 16(2), 862; https://doi.org/10.3390/app16020862 - 14 Jan 2026
Abstract
Desalination is a vital solution to global water scarcity, yet its substantial energy demand persists as a major challenge. As the core energy-consuming components, pumps are fundamental to both membrane and thermal desalination processes. This review provides a comprehensive analysis of renewable energy [...] Read more.
Desalination is a vital solution to global water scarcity, yet its substantial energy demand persists as a major challenge. As the core energy-consuming components, pumps are fundamental to both membrane and thermal desalination processes. This review provides a comprehensive analysis of renewable energy source (RES)-driven pumping systems for desalination, focusing on the integration of solar photovoltaic and wind technologies. It examines the operational principles and efficiency of key pump types, such as high-pressure feed pumps for reverse osmosis, and underscores the critical role of energy recovery devices (ERDs) in minimizing net energy consumption. Furthermore, the paper highlights the importance of advanced control and energy management systems (EMS) in mitigating the intermittency of renewable sources. It details essential control strategies, including maximum power point tracking (MPPT), motor drive control, and supervisory EMS, that optimize the synergy between pumps, ERDs, and variable power inputs. By synthesizing current technologies and control methodologies, this review aims to identify pathways for designing more resilient, energy-efficient, and cost-effective desalination plants, supporting a sustainable water future. Full article
(This article belongs to the Section Energy Science and Technology)
22 pages, 8822 KB  
Article
Potential Recovery and Recycling of Condensate Water from Atlas Copco ZR315 FF Industrial Air Compressors
by Ali Benmoussa, Zakaria Chalhe, Benaissa Elfahime and Mohammed Radouani
Inventions 2026, 11(1), 10; https://doi.org/10.3390/inventions11010010 - 14 Jan 2026
Abstract
This research examines the feasibility of recovering and recycling condensate water, a waste byproduct generated by Atlas Copco ZR315 FF industrial air compressors utilizing oil-free rotary screw technology with integrated dryers. Given the growing severity of global water scarcity, finding alternative water sources [...] Read more.
This research examines the feasibility of recovering and recycling condensate water, a waste byproduct generated by Atlas Copco ZR315 FF industrial air compressors utilizing oil-free rotary screw technology with integrated dryers. Given the growing severity of global water scarcity, finding alternative water sources is essential for sustainable industrial practices. This study specifically evaluates the potential of capturing and treating compressed air condensate as a viable method for water recovery. The investigation analyzes both the quantity and quality of condensate water produced by the ZR315 FF unit. It contrasts this recovery approach with traditional water production methods, such as desalination and atmospheric water generation (AWG) via dehumidification. The findings demonstrate that recovering condensate water from industrial air compressors is a cost-effective and energy-efficient substitute for conventional water production, especially in water-stressed areas like Morocco. The results show a significant opportunity to reduce industrial water usage and provide a sustainable source of process water. This research therefore supports the application of circular economy principles in industrial water management and offers practical solutions for overcoming water scarcity challenges within manufacturing environments. Full article
Show Figures

Figure 1

18 pages, 2932 KB  
Article
Novel Glue-Stabilized Sorbent Layers for Adsorption Chillers: Thermal and Sorption Characteristics
by Tomasz Bujok, Karol Sztekler, Wojciech Kalawa, Ewelina Radomska, Agata Mlonka-Mędrala, Łukasz Mika and Piotr Boruta
Energies 2026, 19(2), 400; https://doi.org/10.3390/en19020400 - 14 Jan 2026
Abstract
Adsorption chillers can produce chilled and desalinated water using low-grade heat, but their performance is limited by low coefficient of performance (COP) and large system mass. Enhancing heat and mass transfer in the sorbent bed is key to improving efficiency. This work introduces [...] Read more.
Adsorption chillers can produce chilled and desalinated water using low-grade heat, but their performance is limited by low coefficient of performance (COP) and large system mass. Enhancing heat and mass transfer in the sorbent bed is key to improving efficiency. This work introduces and systematically evaluates binder-stabilized silica gel composites as a structural and thermal enhancement strategy for adsorption chillers. Silica gel composites bonded with epoxy resin and polyvinyl alcohol (PVA) were evaluated for adsorption chiller applications. Thermal stability, conductivity, microstructure, equilibrium sorption, and sorption hysteresis were assessed. The results indicate that PVA-based composites were thermally unstable and discarded, whereas epoxy-bonded silica gel showed high thermal stability and mechanically robust granules with preserved pore connectivity. The epoxy composite exhibited 109% higher thermal conductivity than loose silica gel, improving internal heat transfer. This improvement is accompanied by a reduction in sorption capacity of approximately 58%, attributable to the inert resin fraction. Notably, the composite exhibits a reduced and locally negative sorption hysteresis, indicating facilitated desorption and lowered internal diffusion resistance. The epoxy-bonded silica gel therefore provides a promising combination of thermal stability, improved heat transfer, and enhanced sorption–desorption behaviour, supporting its potential to increase the efficiency of next-generation adsorption chillers. Full article
Show Figures

Figure 1

20 pages, 1991 KB  
Article
Application of Artificial Intelligence in Mathematical Modeling and Numerical Investigation of Transport Processes in Electromembrane Systems
by Ekaterina Kazakovtseva, Evgenia Kirillova, Anna Kovalenko and Mahamet Urtenov
Membranes 2026, 16(1), 41; https://doi.org/10.3390/membranes16010041 - 12 Jan 2026
Viewed by 23
Abstract
To enhance desalination efficiency and reduce experimental costs, the development of advanced mathematical models for EMS is essential. In this study, we propose a novel hybrid approach that integrates neural networks with high-accuracy numerical simulations of electroconvection. Based on dimensionless similarity criteria (Reynolds, [...] Read more.
To enhance desalination efficiency and reduce experimental costs, the development of advanced mathematical models for EMS is essential. In this study, we propose a novel hybrid approach that integrates neural networks with high-accuracy numerical simulations of electroconvection. Based on dimensionless similarity criteria (Reynolds, Péclet numbers, etc.), we establish functional relationships between critical parameters, such as the dimensionless electroconvective vortex diameter and the plateau length of current–voltage curves. Training datasets were generated through extensive numerical experiments using our in-house developed mathematical model, while multilayer feedforward neural networks with backpropagation optimization were employed for regression tasks. The resulting AI (artificial intelligence)-driven hybrid models enable rapid prediction and optimization of EMS design and operating parameters, reducing computational and experimental costs. This research is situated at the intersection of membrane science, artificial intelligence, and computational modeling, forming part of a broader foresight agenda aimed at developing next-generation intelligent membranes and adaptive control strategies for sustainable water treatment. The methodology provides a scalable framework for integrating physically based modeling and machine learning into the design of high-performance electromembrane systems. Full article
Show Figures

Figure 1

30 pages, 1761 KB  
Review
Harnessing Optical Energy for Thermal Applications: Innovations and Integrations in Nanoparticle-Mediated Energy Conversion
by José Rubén Morones-Ramírez
Processes 2026, 14(2), 236; https://doi.org/10.3390/pr14020236 - 9 Jan 2026
Viewed by 169
Abstract
Nanoparticle-mediated photothermal conversion exploits the unique light-to-heat transduction properties of engineered nanomaterials to address challenges in energy, water, and healthcare. This review first examines fundamental mechanisms—localized surface plasmon resonance (LSPR) in plasmonic metals and broadband interband transitions in semiconductors—demonstrating how tailored nanoparticle compositions [...] Read more.
Nanoparticle-mediated photothermal conversion exploits the unique light-to-heat transduction properties of engineered nanomaterials to address challenges in energy, water, and healthcare. This review first examines fundamental mechanisms—localized surface plasmon resonance (LSPR) in plasmonic metals and broadband interband transitions in semiconductors—demonstrating how tailored nanoparticle compositions can achieve >96% absorption across 250–2500 nm and photothermal efficiencies exceeding 98% under one-sun illumination (1000 W·m−2, AM 1.5G). Next, we highlight advances in solar steam generation and desalination: floating photothermal receivers on carbonized wood or hydrogels reach >95% efficiency in solar-to-vapor conversion and >2 kg·m−2·h−1 evaporation rates; three-dimensional architectures recapture diffuse flux and ambient heat; and full-spectrum nanofluids (LaB6, Au colloids) extend photothermal harvesting into portable, scalable designs. We then survey photothermal-enhanced thermal energy storage: metal-oxide–paraffin composites, core–shell phase-change material (PCM) nanocapsules, and MXene– polyethylene glycol—PEG—aerogels deliver >85% solar charging efficiencies, reduce supercooling, and improve thermal conductivity. In biomedicine, gold nanoshells, nanorods, and transition-metal dichalcogenide (TMDC) nanosheets enable deep-tissue photothermal therapy (PTT) with imaging guidance, achieving >94% tumor ablation in preclinical and pilot clinical studies. Multifunctional constructs combine PTT with chemotherapy, immunotherapy, or gene regulation, yielding synergistic tumor eradication and durable immune responses. Finally, we explore emerging opto-thermal nanobiosystems—light-triggered gene silencing in microalgae and poly(N-isopropylacrylamide) (PNIPAM)–gold nanoparticle (AuNP) membranes for microfluidic photothermal filtration and control—demonstrating how nanoscale heating enables remote, reversible biological and fluidic functions. We conclude by discussing challenges in scalable nanoparticle synthesis, stability, and integration, and outline future directions: multicomponent high-entropy alloys, modular photothermal–PCM devices, and opto-thermal control in synthetic biology. These interdisciplinary innovations promise sustainable solutions for global energy, water, and healthcare demands. Full article
(This article belongs to the Special Issue Transport and Energy Conversion at the Nanoscale and Molecular Scale)
Show Figures

Figure 1

19 pages, 2498 KB  
Article
Nano-Enhanced Binary Eutectic PCM with SiC for Solar HDH Desalination Systems
by Rahul Agrawal, Kashif Mushtaq, Daniel López Pedrajas, Iqra Irfan and Breogán Pato-Doldán
Nanoenergy Adv. 2026, 6(1), 4; https://doi.org/10.3390/nanoenergyadv6010004 - 9 Jan 2026
Viewed by 82
Abstract
Freshwater scarcity is increasing day by day and has already reached a threatening level, especially in remotely populated areas. One of the technological solutions to this rising concern could be the use of the solar-based humidification–dehumidification (SHDH) method for water desalination. This technology [...] Read more.
Freshwater scarcity is increasing day by day and has already reached a threatening level, especially in remotely populated areas. One of the technological solutions to this rising concern could be the use of the solar-based humidification–dehumidification (SHDH) method for water desalination. This technology is a promising solution but has challenges such as solar intermittency. This challenge can be solved by integrating SHDH with the phase change material as a solar energy storage medium. Therefore, a novel nano-enhanced binary eutectic phase change material (NEPCM) was developed in this project. PCM consisting of 70 wt.% stearic acid (ST) and 30 wt.% suberic acid (SBU) with a varying concentration of silicon carbide (SiC) nanoparticles (NPs) (0.1 to 3 wt.%) was synthesized specifically considering the need of SHDH application. The systematic thermophysical characterization was conducted to investigate their energy storage capacity, thermal durability, and performance consistency over repeated cycles. DSC analysis revealed that the addition of SiC NPs preserved the thermal stability of the NEPCM, while the phase transition temperature remained nearly unchanged with a variation of less than 0.74%. The value of latent heat is inversely related to the nanoparticle concentration, i.e., from 142.75 kJ/kg for the base PCM to 131.24 kJ/kg at 3 wt.% loading. This corresponds to reductions in latent heat ranging between 0.98% and 8.06%. The FTIR measurement confirms that no chemical reactions or no new functional groups were formed. All original functional groups of ST and SBU remained intact, showing that incorporating the SiC NP to the PCM lead to physical interactions (e.g., hydrogen bonding or surface adsorption). The TGA analysis showed that the SiC NPs in the NEPCM act as supporting material, and its nano-doping enhanced the final degradation temperature and thermal stability. There was negligible change in thermal conductivity for nanoparticle loadings of 0.1% and 0.4%; however, it increased progressively by 5.2%, 10.8%, 23.12%, and 25.8% at nanoparticle loadings of 0.7%, 1%, 2%, and 3%, respectively, at 25 °C. Thermal reliability was analyzed through a DSC thermal cycling test which confirmed the suitability of the material for the desired applications. Full article
(This article belongs to the Special Issue Innovative Materials for Renewable and Sustainable Energy Systems)
Show Figures

Figure 1

16 pages, 1049 KB  
Article
Modeling the Influence of Ionic Strength on Mineral Solubility in Concentrated Brine Solutions
by H. Al-Sairfi, M. A. Salman, Y. Al-Foudari and M. Ahmed
Processes 2026, 14(1), 172; https://doi.org/10.3390/pr14010172 - 4 Jan 2026
Viewed by 172
Abstract
Mineral extraction from brine solutions is a vital issue for resource recovery in many fields of industry, especially in desalination processes. Usually, the solubility limit is viewed as a key factor that plays a determinant role in the efficiency of a prescribed process. [...] Read more.
Mineral extraction from brine solutions is a vital issue for resource recovery in many fields of industry, especially in desalination processes. Usually, the solubility limit is viewed as a key factor that plays a determinant role in the efficiency of a prescribed process. This paper suggests the investigation of the influence of ionic strength, which is a measure of the total concentration of all dissolved ions, on the solubility limits in brines that are extracted from desalination facilities in Kuwait before discharging them into the Persian Gulf. For this purpose, the solubility of two main minerals (CaSO4 and Mg(OH)2) was measured for several values of ionic strength achieved by adjusting the concentration of the brine solutions. Brine samples were characterized and concentrated to achieve ionic strength values that are in the range of 1.1–2.0 mol/L. An adapted supersaturation-equilibration method was applied to determine solubility limits. Results show a non-linear relationship between ionic strength and the solubility limit of the target minerals, with behavior similar to that which could be found in the literature. In the case of CaSO4, it was found that the solubility exhibits an increase (salting in effect) at low ionic strength, followed by a decrease at higher ionic strength (>1.1 M) (salting-out effect). On the other hand, the solubility of Mg(OH)2 in Kuwait brine water was shown to decrease as the ionic strength increased. These trends, validated against literature data, are attributed to non-ideal solution behavior and specific ion interactions in the complex brine matrix. The findings of this work provide crucial insights for process design, enabling more precise control over precipitation steps and enhancing the overall yield and economic viability of mineral extraction from complex brine resources. Full article
(This article belongs to the Special Issue Modeling in Mineral and Coal Processing)
Show Figures

Figure 1

14 pages, 3081 KB  
Article
Silicalite Nanosheet Laminated Membranes: Effects of Layered Structure on the Performance in Pervaporation Desalination
by Xinhui Sun, Yukta Sharma, Landysh Iskhakova, Zishu Cao and Junhang Dong
Membranes 2026, 16(1), 32; https://doi.org/10.3390/membranes16010032 - 4 Jan 2026
Viewed by 200
Abstract
Silicalite nanosheet (SN) laminated membranes are promising for pervaporation (PV) desalination of concentrated brines for water purification and critical material concentration and recovery. However, scaling up the SN-based membranes is limited by inefficient synthesis of monodispersed open-pore SN single crystals (SNS). Here, we [...] Read more.
Silicalite nanosheet (SN) laminated membranes are promising for pervaporation (PV) desalination of concentrated brines for water purification and critical material concentration and recovery. However, scaling up the SN-based membranes is limited by inefficient synthesis of monodispersed open-pore SN single crystals (SNS). Here, we report a scalable approach to fabricate multilayered silicalite nanosheet plate (SNP) laminated membranes on porous alumina and PVDF substrates and demonstrate their excellent PV desalination performance for simulated brines containing lithium and high total dissolved salts (TDS). At 73 ± 3 °C, the SNP laminated membrane on alumina support achieved a remarkable water flux (Jw) of nearly 20 L/m2·h, significantly outperforming the alumina-supported SNS laminated membrane (Jw = 9.56 L/m2·h), while both provided near-complete salt rejection (ri ~99.9%) when operating with vacuum pressure on the permeate side. The PVDF-supported SNS and SNP laminated membranes exhibited excellent Jw (14.0 L/m2·h) and near-complete ri (>99.9%), surpassing the alumina-support SNP laminated membranes when operating by air sweep on the permeate side. However, the ri of the PVDF-supported membranes was found to decline when operating with vacuum pressure on the permeate side that was apparently caused by minimal liquid permeation through the inter-SNP spaces driven by the transmembrane pressure. With scalable SNP production, SNP-A membranes show potential for PV desalination of high-TDS solutions, especially in harsh environments unsuitable for polymer membranes. Full article
Show Figures

Figure 1

14 pages, 1612 KB  
Article
Nanotube Alignment and Surface Chemistry in Altering Water and Salt Permeabilities for Imogolite-Polyamide Membranes
by Savannah Bachmann and Jonathan Brant
Membranes 2026, 16(1), 20; https://doi.org/10.3390/membranes16010020 - 1 Jan 2026
Viewed by 180
Abstract
Reducing the specific energy consumption of reverse osmosis (RO) processes motivates the development of new membrane materials that have enhanced water permeability while maintaining low salt permeability (high rejection). Nanocomposite membranes have shown great promise in achieving these goals, particularly those using nanotubes [...] Read more.
Reducing the specific energy consumption of reverse osmosis (RO) processes motivates the development of new membrane materials that have enhanced water permeability while maintaining low salt permeability (high rejection). Nanocomposite membranes have shown great promise in achieving these goals, particularly those using nanotubes as fillers. Here, we report on the relationships between the orientations and surface functionalities of imogolite nanotubes (INTs) with water and salt permeabilities for polyamide nanocomposite membranes. An external electric field was used to manipulate the INT orientation within the polyamide active layer. The INT interior and exterior chemistries, respectively, were made hydrophobic using methyl triethoxysilane as a precursor during INT synthesis and post-synthesis modification with alkali-phosphate groups. Irrespective of nanotube orientation or surface chemistry, membrane permeance increased from 0.3 to ≥1.0 L m−2 h−1 bar−1. A salt permeability comparable to the conventional polyamide membrane was maintained by making the INT pore throat hydrophobic. These findings indicated that salt rejection could be tailored by manipulating the INT interior surface chemistry without sacrificing water permeability. Full article
(This article belongs to the Section Membrane Fabrication and Characterization)
Show Figures

Figure 1

24 pages, 646 KB  
Review
Stress-Testing Food Security in a Socio-Ecological System: Qatar’s Adaptive Responses to Sequential Shocks
by Hussein Al-Dobashi and Steven Wright
Systems 2026, 14(1), 46; https://doi.org/10.3390/systems14010046 - 31 Dec 2025
Viewed by 297
Abstract
Food systems operate as socio-ecological systems (SES) in which governance, markets, and biophysical constraints interact through feedback. However, how resilience capacities accumulate across sequential shocks, particularly in hyper-arid, import-dependent rentier states, remains under-traced. We analyze Qatar’s food-system SES across three distinct stress tests: [...] Read more.
Food systems operate as socio-ecological systems (SES) in which governance, markets, and biophysical constraints interact through feedback. However, how resilience capacities accumulate across sequential shocks, particularly in hyper-arid, import-dependent rentier states, remains under-traced. We analyze Qatar’s food-system SES across three distinct stress tests: the 2017–2021 blockade, the COVID-19 pandemic (multi-node logistics and labor shock), and the post-2022 Russia–Ukraine war (global price and agricultural input-cost shock). Using a qualitative longitudinal case-study design, we combine documentary review with process tracing and a two-layer coding scheme that maps interventions to SES components (actors, governance system, resource systems/units, interactions, outcomes/feedback) and to predominant resilience capacities (absorptive, adaptive, transformative). The results indicate path-dependent capability building: the blockade activated rapid buffering and rerouting alongside early adaptive investments; COVID-19 accelerated adaptive reconfiguration via digitized logistics, e-commerce scaling, and targeted controlled-environment agriculture; and the Russia–Ukraine shock validated an institutionalized portfolio (fiscal buffering, reserves, procurement diversification, and upstream linkages). Across episodes, supply continuity was maintained, but resilience gains also generated water–energy–food tradeoffs, shifting pressures toward energy-intensive cooling/desalination and upstream water demands linked to domestic buffers. We conclude that durable resilience in eco-constrained, import-dependent systems requires explicit governance of these tradeoffs through measurable performance criteria, rather than crisis-driven expansion alone. Full article
(This article belongs to the Section Systems Practice in Social Science)
Show Figures

Figure 1

20 pages, 4269 KB  
Article
Feasibility of Multi-Use Ocean Thermal Energy Conversion (OTEC) Platforms
by Andrea Copping, Hayley Farr, Christopher Rumple, Kyungmin Park and Zhaoqing Yang
J. Mar. Sci. Eng. 2026, 14(1), 64; https://doi.org/10.3390/jmse14010064 - 30 Dec 2025
Viewed by 243
Abstract
Many tropical islands and coastal communities suffer from high energy costs, unreliable electrical supplies, poverty, and underemployment, which are all exacerbated by climate change. Multi-use Ocean Thermal Energy Conversion (OTEC) systems could align with the goals and values of these underserved and remote [...] Read more.
Many tropical islands and coastal communities suffer from high energy costs, unreliable electrical supplies, poverty, and underemployment, which are all exacerbated by climate change. Multi-use Ocean Thermal Energy Conversion (OTEC) systems could align with the goals and values of these underserved and remote communities. Developing multi-use OTEC systems could help meet the United Nations’ Sustainable Development Goals #7 (Affordable and Clean Energy) and #13 (Climate Action). Multiple uses of OTEC water and power are explored in this study, including seawater air conditioning, desalination, support for aquaculture in tropical regions, and other uses. A use case for an onshore OTEC plant at the location of the existing OTEC plant in Kona, Hawaii, is examined to determine if sufficient thermal resources exist for OTEC power generation year-round, and to determine the potential for each value-added use. Potential environmental effects are evaluated using a new open-source numerical model for determining the risk from the discharge of large volumes of cold deep seawater in the ocean. Companies currently using the cold deep seawater pumped ashore at the Kona location were surveyed to determine their dependence on and interest in expanded OTEC and cold-water availability at the site. The analysis indicates that multi-use OTEC is feasible, with seawater air conditioning (SWAC), aquaculture, and desalination being the most compatible immediate additions, while future potential exists for adding extraction of critical minerals from seawater and e-fuel generation. Full article
(This article belongs to the Special Issue Ocean Thermal Energy Conversion and Utilization)
Show Figures

Figure 1

25 pages, 4000 KB  
Article
Development and Performance of a Vacuum-Based Seawater Desalination System Driven by a Solar Water Heater
by Wichean Singmai, Pichet Janpla, Suparat Jamsawang, Kittiwoot Sutthivirode and Tongchana Thongtip
Thermo 2026, 6(1), 3; https://doi.org/10.3390/thermo6010003 - 26 Dec 2025
Viewed by 302
Abstract
This work proposes the design, construction, and field test of a vacuum seawater desalination system (VSDS) driven by an evacuated tube solar collector (with a total absorption area of 1.86 m2) under tropical climatic condition (Thailand ambient at latitude 13°43′06.0″ N, [...] Read more.
This work proposes the design, construction, and field test of a vacuum seawater desalination system (VSDS) driven by an evacuated tube solar collector (with a total absorption area of 1.86 m2) under tropical climatic condition (Thailand ambient at latitude 13°43′06.0″ N, longitude 100°32′25.4″ E). The VSDS prototype was designed and constructed to be driven by hot water, which is produced by two heat source conditions: (1) an electric heater for laboratory tests and (2) an evacuated tube solar collector for field tests under real climatic conditions. A comparative experimental study to assess the ability to produce fresh water between a conventional dripping/pipe feed column and spray falling film column is proposed in the first part of the discussion. This is to demonstrate the advantage of the spray falling film distillation column. The experimental method is implemented based on the batch system, in which the cycle time (distillation time) considered is 10–20 min so that heat loss via the concentrated seawater blow down is minimized. Later, the field test with solar irradiance under real climatic conditions is demonstrated to assess the freshwater yield and the system performance. The aim is to provide evidence of the proposed vacuum desalination system in real operation. It is found experimentally that the VSDS working with spray falling film provides better performance than the dripping/pipe feed column under the specified working conditions. The spray falling film column can increase the distillated freshwater volume from 1.33 to 2.16 L under identical cycle time and working conditions. The improvement potential is up to 62.4%. The overall thermal efficiency can be increased from 33.7 to 70.8% (improvement of 110.1%). Therefore, the VSDS working with spray falling film is selected for implementing field tests based on real solar irradiance powered by an evacuated tube solar collector. The ability to produce fresh water is assessed, and the overall performance via the average distillation rate and the thermal efficiency (or Gain Output Ratio) is discussed with the real solar irradiance. It is found from the field test with solar time (8.00–16.00) that the VSDS can produce a daily freshwater yield of up to 4.5 L with a thermal efficiency of up to 19%. The freshwater production meets the requirement for international standard drinking water criteria, indicating suitability for household/community use in tropical regions. This work demonstrates the feasibility of VSDS working under real solar irradiance as an alternative technology for sustainable fresh water. Full article
Show Figures

Figure 1

21 pages, 4915 KB  
Article
Performance Analysis of Seawater Desalination Using Reverse Osmosis and Energy Recovery Devices in Nouadhibou
by Ahmed Ghadhy, Amine Lilane, Hamza Faraji, Said Ettami, Abdelkader Boulezhar and Dennoun Saifaoui
Liquids 2026, 6(1), 2; https://doi.org/10.3390/liquids6010002 - 24 Dec 2025
Viewed by 618
Abstract
Arid zones, such as the MENA regions and the Sahara countries, are experiencing significant water stress. To address this global challenge, desalination technologies provide a crucial solution, particularly the reverse osmosis (RO) technique, which is widely used to treat Seawater or Brackish water. [...] Read more.
Arid zones, such as the MENA regions and the Sahara countries, are experiencing significant water stress. To address this global challenge, desalination technologies provide a crucial solution, particularly the reverse osmosis (RO) technique, which is widely used to treat Seawater or Brackish water. Mauritania is among the countries facing a scarcity of potable water resources and relies on desalination technologies to meet its water demand. In this work, a numerical and experimental study was carried out on the functional and productive parameters of the Nouadhibou desalination plant in Mauritania using MATLAB/Simulink (R2016a). The study considered two operating scenarios: with and without the energy recovery unit. The objective of this paper is to perform an analytical study of the operating procedures of the Nouadhibou RO desalination plant by varying several parameters, such as the pressure exchanger, and the feed water mixing ratio in the pressure exchanger unit, etc., in order to determine the system’s optimal operating point. This paper analyzes the system’s performance under different conditions, including recovery rate, feed water temperature, and PEX splitter ratio. In Case No. 1 (without a pressure recovery unit), and with a recovery rate of 20%, doubling the plant’s productivity from 400 to 800 m3/d requires 400 kW of power. In contrast, in Case No. 2 (with a pressure recovery unit), achieving the same productivity requires only 100 kW, with a 75% of energy saving. When the desalination plant operates at a productivity of 400 m3/d@40%, the SPC decreases from 6 kWh/m3 (Case No. 1) to 2.7 kWh/m3 (Case No. 2), resulting in a 55% specific power consumption saving. The results also indicate that power consumption increases with both feed water temperature and PEX splitter ratio, while variations in these parameters have a negligible effect on permeate salinity. Full article
(This article belongs to the Special Issue Energy Transfer in Liquids)
Show Figures

Figure 1

21 pages, 10584 KB  
Article
Effect of Natural Seawater Salinity on Stainless Steel Corrosion: Enhanced Resistance in Seawater Bittern
by Senka Gudić, Mislav Ćorić, Ladislav Vrsalović, Aleš Nagode, Jure Krolo and Jelena Jakić
Appl. Sci. 2026, 16(1), 109; https://doi.org/10.3390/app16010109 - 22 Dec 2025
Viewed by 228
Abstract
Stainless steels are commonly used in coastal structures and in seawater desalination and treatment systems, so understanding their corrosion behaviour under different salinity conditions is important to ensure the durability and reliability of the material. In this study, the behaviour of AISI 304L, [...] Read more.
Stainless steels are commonly used in coastal structures and in seawater desalination and treatment systems, so understanding their corrosion behaviour under different salinity conditions is important to ensure the durability and reliability of the material. In this study, the behaviour of AISI 304L, AISI 316L, and 2205 duplex stainless steels (DSS) was tested in three media with different salinities: brackish water (BSW), seawater (SW), and concentrated seawater bittern (CSW). Testing was conducted using classical electrochemical methods (open circuit potential, linear, and potentiodynamic polarization) supplemented by surface analyses (optical microscopy, SEM/EDS, and optical profilometry). Corrosion resistance increased in the order AISI 304L < AISI 316L < 2205 DSS. Duplex steel 2205 performed best in all media: it exhibited the most positive open circuit potential, the highest polarization resistance, the lowest corrosion current density, and the widest passive range. Unexpectedly, CSW showed improved corrosion resistance compared to SW, which is explained by the reduced chloride content characteristic of seawater bittern after NaCl crystallisation and the presence of magnesium, calcium, and sulphate ions that promote the formation of protective deposits on the metal surface. Pronounced pitting was observed on AISI 304L steel in seawater, while surface degradation in brackish and concentrated seawater was significantly less, and 2205 DSS remained almost unchanged. The results obtained can serve as guidelines for the design and selection of materials for equipment and structures in industries operating in aggressive marine and coastal environments, such as desalination plants, shipbuilding, and energy systems. Full article
(This article belongs to the Section Chemical and Molecular Sciences)
Show Figures

Figure 1

Back to TopTop