Tensile Strength of Artificially Cemented Sandstone Generated via Microbially Induced Carbonate Precipitation
Abstract
:1. Introduction
2. Experimental Work and Methodology
2.1. Preparation of MICP-Treated Specimens
2.2. Calcium Carbonate Measurements
2.3. Brazilian Tests
2.4. Reconstruction of the Surfaces
2.5. Surface Analysis
2.5.1. Amplitude Parameters
- arithmetic average height or CLA, ;
- root mean square (RMS) roughness, ;
- maximum height of peak defined as the maximum height above the mean line within a predefined length;
- maximum depth of valleys defined as the maximum height below the mean line within a predefined length;
- largest peak to valley height defined as the vertical distance between the highest peak and the lowest valley within a predefined profile length;
- skewness, ;
- kurtosis, .
2.5.2. Analysis in the Frequency Domain
2.5.3. Wavelet Analysis and Decomposition
3. Results and Discussion
3.1. Tensile Strength
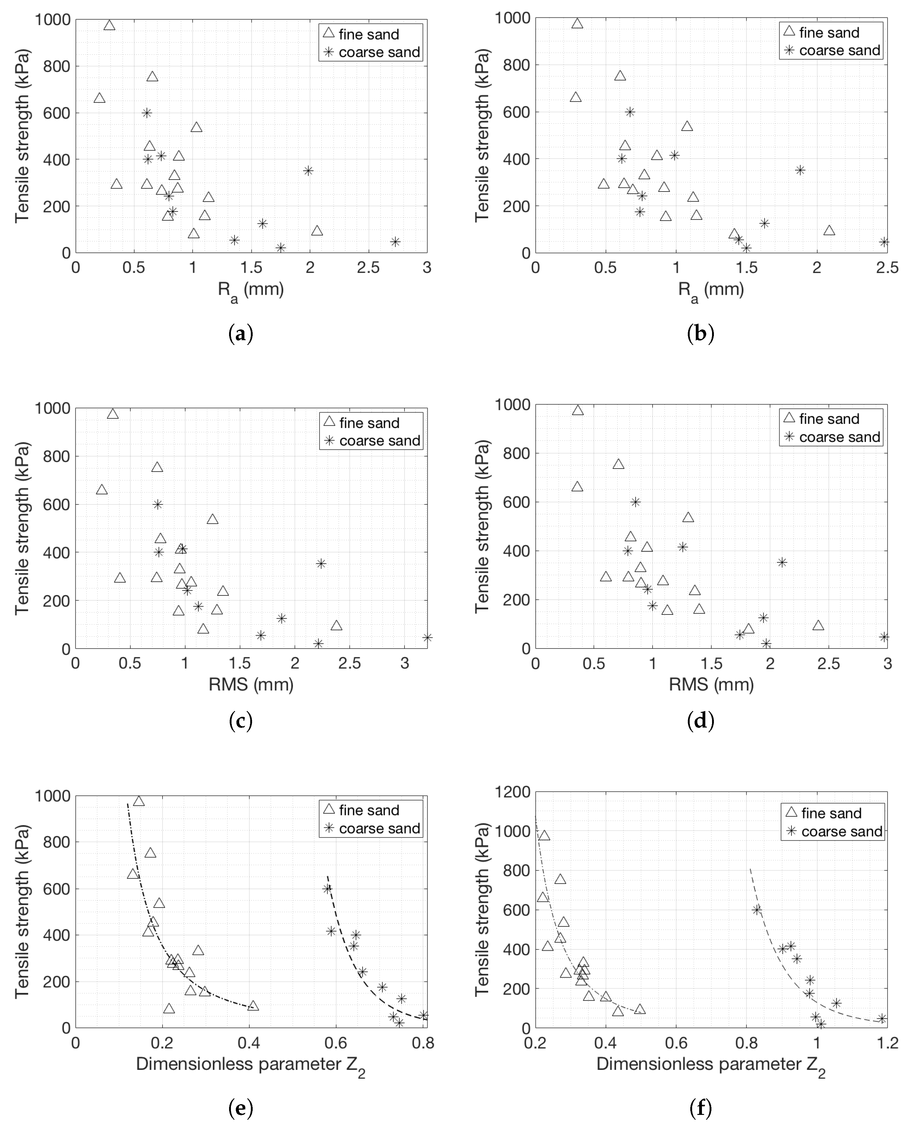
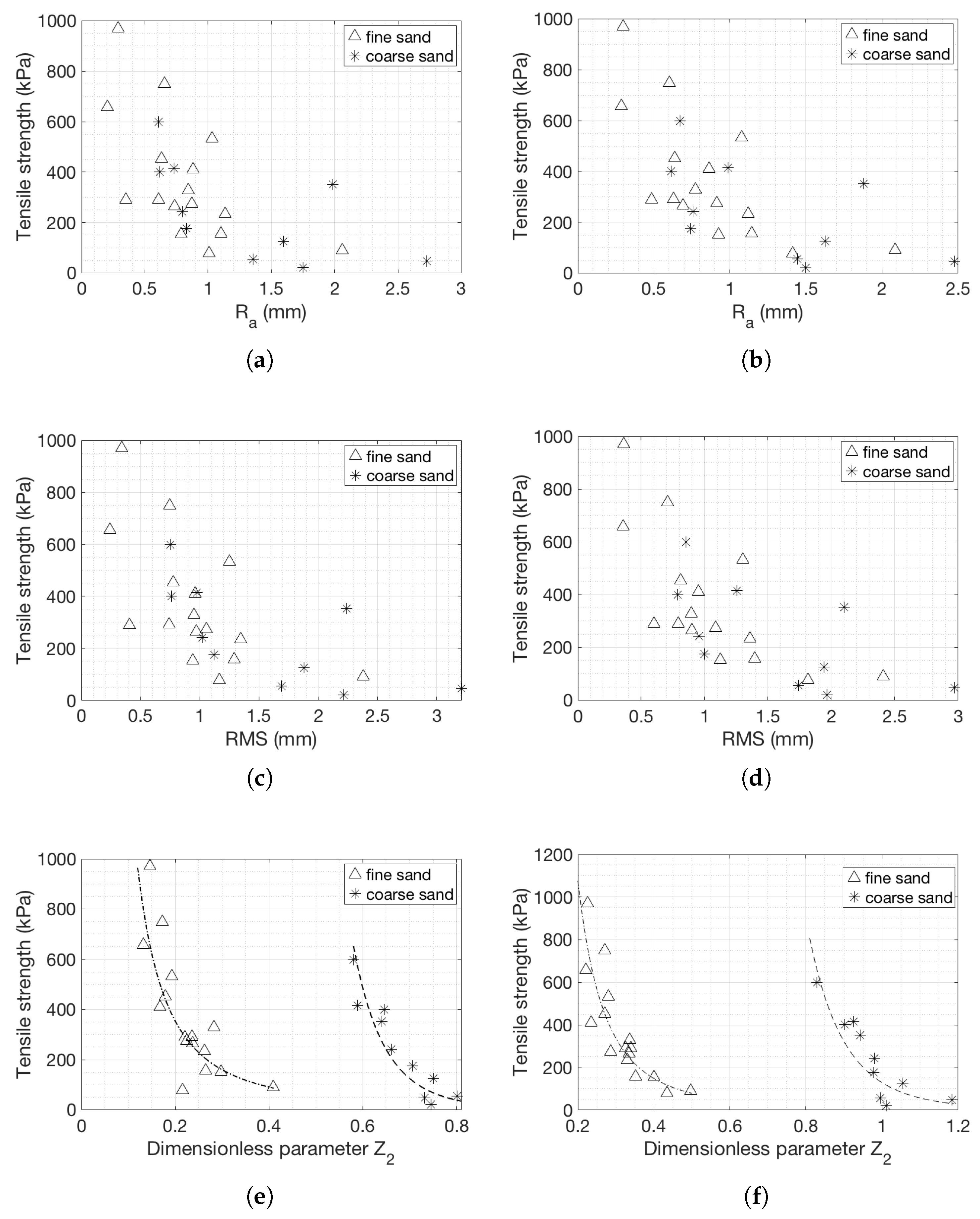
3.2. Fracture Surfaces and Their Roughness Characteristics
3.3. Wavelet Decomposition for Elimination of Particle Size Effects
3.4. Correlations with the Carbonate Content
4. Conclusions
Author Contributions
Funding
Institutional Review Board Statement
Informed Consent Statement
Data Availability Statement
Acknowledgments
Conflicts of Interest
References
- Maccarini, M. Laboratory Studies of a Weakly Bonded Artificial Soil. Ph.D. Thesis, Imperial College of Science and Technology, London, UK, 1987. [Google Scholar]
- Wygal, R.J. Construction of Models that Simulate Oil Reservoirs. Soc. Pet. Eng. J. 1963, 3, 281–286. [Google Scholar] [CrossRef]
- Vogler, D.; Walsh, S.D.; Dombrovski, E.; Perras, M.A. A comparison of tensile failure in 3D-printed and natural sandstone. Eng. Geol. 2017, 226, 221–235. [Google Scholar] [CrossRef]
- Whiffin, V.S. Microbial CaCO3 Precipitation for the Production of Biocement. Ph.D. Thesis, Murdor University, Perth, Australia, 2004. [Google Scholar]
- Saidi, F.; Bernabé, Y.; Reuschlé, T. Uniaxial compression of synthetic, poorly consolidated granular rock with a bimodal grain-size distribution. Rock Mech. Rock Eng. 2005, 38, 129–144. [Google Scholar] [CrossRef]
- DeJong, J.T.; Fritzges, M.B.; Nüsslein, K. Microbially induced cementation to control sand response to undrained shear. J. Geotech. Geoenviron. Eng. 2006, 132, 1381–1392. [Google Scholar] [CrossRef]
- Wang, Y.; Soga, K.; Dejong, J.T.; Kabla, A.J. A microfluidic chip and its use in characterising the particle-scale behaviour of microbial-induced calcium carbonate precipitation (MICP). Geotechnique 2019, 69, 1086–1094. [Google Scholar] [CrossRef] [Green Version]
- Wang, Y.; Soga, K.; Dejong, J.T.; Kabla, A.J. Micro-Scale Visualization of Microbial-Induced Calcium Carbonate Precipitation Processes. J. Geotech. Geoenviron. Eng. 2019, 145, 04019045. [Google Scholar] [CrossRef]
- Cheng, L.; Cord-Ruwisch, R.; Shahin, M.A. Cementation of sand soil by microbially induced calcite precipitation at various degrees of saturation. Can. Geotech. J. 2013, 50, 81–90. [Google Scholar] [CrossRef]
- Collins, B.D.; Sitar, N. Geotechnical Properties of Cemented Sands in Steep Slopes. J. Geotech. Geoenviron. Eng. 2009, 135, 1359–1366. [Google Scholar] [CrossRef]
- Sitar, N.; Clough, G.W.; Bachus, R.G. Behavior of Weakly Cemented Soil Slopes under Static and Seismic Loading Conditions; Technical Report; Geological Survey: Stanford, CA, USA, 1980. [Google Scholar]
- Nakagawa, S.; Myer, L.R. Mechanical and acoustic properties of weakly cemented granular rocks. In Proceedings of the 38th U.S. Symposium on Rock Mechanics (USRMS), Washington, DC, USA, 7 July 2001; pp. 1–8. [Google Scholar]
- Konstantinou, C.; Biscontin, G.; Jiang, N.J.; Soga, K. Application of microbially induced carbonate precipitation (MICP) to form bio-cemented artificial sandstone. J. Rock Mech. Geotech. Eng. 2021, 13, 579–592. [Google Scholar] [CrossRef]
- Cheng, L.; Cord-Ruwisch, R. Upscaling Effects of Soil Improvement by Microbially Induced Calcite Precipitation by Surface Percolation. Geomicrobiol. J. 2014, 31, 396–406. [Google Scholar] [CrossRef] [Green Version]
- Van Paassen, L. Biogrout: Ground Improvement by Microbially Induced Carbonate Precipitation. Ph.D. Thesis, Delft University of Technology, Delft, The Netherlands, 2009. [Google Scholar]
- Al Qabany, A.; Soga, K.; Santamarina, C. Factors Affecting Efficiency of Microbially Induced Calcite Precipitation. J. Geotech. Geoenviron. Eng. 2012, 138, 992–1001. [Google Scholar] [CrossRef]
- Dawoud, O. The Applicability of Microbially Induced Calcite Precipitation (MICP) for Soil Treatment. Ph.D. Thesis, University of Cambridge, Cambridge, UK, 2015. [Google Scholar]
- Terzis, D.; Laloui, L. 3-D micro-architecture and mechanical response of soil cemented via microbial-induced calcite precipitation. Sci. Rep. 2018, 8, 1–11. [Google Scholar] [CrossRef] [Green Version]
- Terzis, D.; Laloui, L. Cell-free soil bio-cementation with strength, dilatancy and fabric characterization. Acta Geotech. 2019, 14, 639–656. [Google Scholar] [CrossRef]
- Van Paassen, L.A.; Ghose, R.; van der Linden, T.J.M.; van der Star, W.R.L.; van Loosdrecht, M.C.M. Quantifying Biomediated Ground Improvement by Ureolysis: Large-Scale Biogrout Experiment. J. Geotech. Geoenviron. Eng. 2010, 136, 1721–1728. [Google Scholar] [CrossRef]
- Zhao, Q.; Li, L.; Li, C.; Li, M.; Amini, F.; Zhang, H. Factors Affecting Improvement of Engineering Properties of MICP-Treated Soil Catalyzed by Bacteria and Urease. J. Mater. Civ. Eng. 2014, 26, 04014094. [Google Scholar] [CrossRef]
- Al Qabany, A.; Soga, K. Effect of chemical treatment used in MICP on engineering properties of cemented soils. Geotechnique 2013, 63, 331–339. [Google Scholar] [CrossRef]
- Cheng, L.; Shahin, M.A.; Mujah, D. Influence of Key Environmental Conditions on Microbially Induced Cementation for Soil Stabilization. J. Geotech. Geoenviron. Eng. 2017, 143, 04016083. [Google Scholar] [CrossRef] [Green Version]
- Lin, H.; Suleiman, M.T.; Brown, D.G.; Kavazanjian, E. Mechanical Behavior of Sands Treated by Microbially Induced Carbonate Precipitation. J. Geotech. Geoenviron. Eng. 2015, 142, 04015066. [Google Scholar] [CrossRef]
- Montoya, B.M.; DeJong, J.T.; Boulanger, R.W. Dynamic response of liquefiable sand improved by microbial-induced calcite precipitation. Geotechnique 2013, 63, 302–312. [Google Scholar] [CrossRef]
- Feng, K.; Montoya, B.M. Influence of confinement and cementation level on the behavior of microbial-induced calcite precipitated Sands under monotonic drained loading. J. Geotech. Geoenviron. Eng. 2015, 142, 04015057. [Google Scholar] [CrossRef]
- Cui, M.J.; Zheng, J.J.; Zhang, R.J.; Lai, H.J.; Zhang, J. Influence of cementation level on the strength behaviour of bio-cemented sand. Acta Geotech. 2017, 12, 971–986. [Google Scholar] [CrossRef]
- Choi, S.G.; Hoang, T.; Alleman, E.J.; Chu, J. Splitting Tensile Strength of Fiber-Reinforced and Biocemented Sand. J. Mater. Civ. Eng. 2019, 31, 06019007. [Google Scholar] [CrossRef]
- Xiao, Y.; He, X.; Evans, T.M.; Stuedlein, A.W.; Liu, H. Unconfined Compressive and Splitting Tensile Strength of Basalt Fiber-Reinforced Biocemented Sand. J. Geotech. Geoenviron. Eng. 2019, 145, 04019048. [Google Scholar] [CrossRef]
- Mahabadi, O.K.; Tatone, B.S.A.; Grasselli, G. Influence of microscale heterogeneity and microstructure on the tensile behavior of crystalline rocks. J. Geophys. Res. Solid Earth 2014, 119, 5324–5341. [Google Scholar] [CrossRef]
- Yong, R.; Ye, J.; Liang, Q.F.; Huang, M.; Du, S.G. Estimation of the joint roughness coefficient (JRC) of rock joints by vector similarity measures. Bull. Eng. Geol. Environ. 2018, 77, 735–749. [Google Scholar] [CrossRef]
- Barton, N.; Choubey, V. The shear strength of rock joints in theory and practice. arXiv 1977, arXiv:1011.1669v3. [Google Scholar] [CrossRef]
- Gadelmawla, E.; Koura, M.; Maksoud, T.; Elewa, I.; Soliman, H. Roughness parameters. J. Mater. Process. Technol. 2002, 123, 133–145. [Google Scholar] [CrossRef]
- Deltombe, R.; Kubiak, K.J.; Bigerelle, M. How to select the most relevant 3D roughness parameters of a surface. Scanning 2014, 36, 150–160. [Google Scholar] [CrossRef] [Green Version]
- Hoła, J.; Sadowski, Ł.; Reiner, J.; Stach, S. Usefulness of 3D surface roughness parameters for nondestructive evaluation of pull-off adhesion of concrete layers. Constr. Build. Mater. 2015, 84, 111–120. [Google Scholar] [CrossRef]
- Belem, T.; Homand-Etienne, F.; Souley, M. Quantitative parameters for rock joint surface roughness. Rock Mech. Rock Eng. 2000, 33, 217–242. [Google Scholar] [CrossRef]
- Myers, N. Characterization of surface roughness. Wear 1962, 5, 182–189. [Google Scholar] [CrossRef]
- Tse, R.; Cruden, D.M. Estimating joint roughness coefficients. Int. J. Rock Mech. Min. Sci. 1979, 16, 303–307. [Google Scholar] [CrossRef]
- Zhang, P.; Li, N.; Yang, X. Surface roughness analysis of rock joints based on a 3D surface model. In Boundaries of Rock Mechanics: Recent Advances and Challenges for the 21st Century, 1st ed.; Cai, M., Wang, J., Eds.; Taylor & Francis Group: London, UK, 2008; pp. 243–247. [Google Scholar]
- Ray, S.; Chowdhury, S.K.R. Experimental investigation into the effect of 3D surface roughness parameters on flash temperature. Ind. Lubr. Tribol. 2011, 63, 90–102. [Google Scholar] [CrossRef]
- Yang, H.; Baudet, B.A.; Yao, T. Characterization of the surface roughness of sand particles using an advanced fractal approach. Proc. R. Soc. A Math. Phys. Eng. Sci. 2016, 472, 20160524. [Google Scholar] [CrossRef] [PubMed] [Green Version]
- Onesto, V.; Cancedda, L.; Coluccio, M.L.; Nanni, M.; Pesce, M.; Malara, N.; Cesarelli, M.; DI Fabrizio, E.; Amato, F.; Gentile, F. Nano-topography Enhances Communication in Neural Cells Networks. Sci. Rep. 2017, 7, 1–13. [Google Scholar] [CrossRef] [PubMed] [Green Version]
- Panda, S.; Panzade, A.; Sarangi, M.; Roy Chowdhury, S.K. Spectral Approach on Multiscale Roughness Characterization of Nominally Rough Surfaces. J. Tribol. 2016, 139, 031402. [Google Scholar] [CrossRef]
- Jardim, P.L.; Horowitz, F.; Felde, N.; Schröder, S.; Coriand, L.; Duparré, A. Determination of the Wenzel roughness parameter by the Power Spectral Density of functional Alumina surfaces. Thin Solid Films 2016, 606, 57–62. [Google Scholar] [CrossRef]
- Iwano, M.; Einstein, H.H. Stochastic analysis of surface roughness, aperture and flow in a single fracture. In Proceedings of the ISRM International Symposium-EUROCK 93, Lisboa, Portugal, 21–24 June 1993; pp. 135–141. [Google Scholar]
- Lehmann, P. Surface-roughness measurement based on the intensity correlation function of scattered light under speckle-pattern illumination. Appl. Opt. 1999, 38, 1144–1152. [Google Scholar] [CrossRef]
- Wang, M.; Chen, Y.F.; Ma, G.W.; Zhou, J.Q.; Zhou, C.B. Influence of surface roughness on nonlinear flow behaviors in 3D self-affine rough fractures: Lattice Boltzmann simulations. Adv. Water Resour. 2016, 96, 373–388. [Google Scholar] [CrossRef]
- Zou, L.; Jing, L.; Cvetkovic, V. Roughness decomposition and nonlinear fluid flow in a single rock fracture. Int. J. Rock Mech. Min. Sci. 2015, 75, 102–118. [Google Scholar] [CrossRef]
- Lee, T.L.D.; Yamamoto, A. Wavelet Analysis: Theory and Applications. Hewlett-Packard J. 1994, 45, 44. [Google Scholar] [CrossRef] [Green Version]
- Konstantinou, C.; Wang, Y.; Biscontin, G.; Soga, K. The role of bacterial urease activity on the uniformity of carbonate precipitation profiles of bio-treated coarse sand specimens. Sci. Rep. 2021, 11, 1–17. [Google Scholar] [CrossRef] [PubMed]
- Konstantinou, C.; Biscontin, G. Soil enhancement via microbially induced calcite precipitation. In Proceedings of the 10th International Symposium on Geotechnical Aspects of Underground Construction in Soft Ground, Cambridge, UK, 28–30 June 2021; Taylor & Francis: Cambridge, UK, 2021. [Google Scholar]
- Konstantinou, C. Hydraulic Fracturing of Artificially Generated Soft Sandstones. Ph.D. Thesis, University of Cambridge, Cambridge, UK, 2020. [Google Scholar] [CrossRef]
- Wang, Y.; Konstantinou, C.; Soga, K.; Dejong, J.T.; Kabla, A.J. Enhancing strength of MICP-treated sandy soils: From micro to macro scale. arXiv 2020, arXiv:2006.15760. [Google Scholar]
- Miquel, P. Etude sur la fermantation ammoniacale et sur les ferments de l’uree. Ann. Microgr. 1889, 1, 506–519. [Google Scholar]
- Yoon, J.H.; Lee, K.C.; Weiss, N.; Kho, Y.H.; Kang, K.H.; Park, Y.H. Sporosarcina aquimarina sp. nov., a bacterium isolated from seawater in Korea, and transfer of Bacillus globisporus (Larkin and Stokes 1967), Bacillus psychrophilus (Nakamura 1984) and Bacillus pasteurii (Chester 1898) to the genus Sporosarcina as Sporosa. Int. J. Syst. Evol. Microbiol. 2001, 51, 1079–1086. [Google Scholar] [CrossRef]
- ASTM. Standard Test Method for Rapid Determination of Carbonate Content of Soils. ASTM Int. 2014, 1–5. [Google Scholar] [CrossRef]
- ASTM. Standard Test Method for Direct Tensile Strength of Intact Rock Core Specimens. ASTM Int. 2008, 1–11. [Google Scholar] [CrossRef]
- Mecca, R.; Quéau, Y.; Logothetis, F.; Cipolla, R. A Single-Lobe Photometric Stereo Approach for Heterogeneous Material. SIAM J. Imaging Sci. 2016, 9, 1858–1888. [Google Scholar] [CrossRef] [Green Version]
- Logothetis, F.; Mecca, R.; Cipolla, R. Semi-calibrated near field Photometric Stereo. In Proceedings of the 30th IEEE Conference on Computer Vision and Pattern Recognition, CVPR 2017, Honolulu, HI, USA, 21–26 July 2017; pp. 4521–4530. [Google Scholar] [CrossRef] [Green Version]
- Errico, J.R.D. Understanding Gridfit: The Mechanical and Philosophical Underpinning; Technical Report; 2006; Available online: https://svn.oss.deltares.nl/repos/openearthtools/trunk/matlab/general/grid_fun/private/gridfit/doc/gridfit.pdf (accessed on 21 July 2021).
- Wiener, N. Generalized Harmonic Analysis. Acta Math. 1961, 55, 117–258. [Google Scholar] [CrossRef]
- Khintchine, A. Korrelationstheorie der stationären stochastischen Prozesse. Math. Ann. 1934, 109, 604–615. [Google Scholar] [CrossRef]
- Mallat, S. A Wavelet Tour of Signal Processing, 3rd ed.; Academic Press: Cambridge, MA, USA, 2009. [Google Scholar] [CrossRef]
- Newland, D.E. Harmonic wavelets in vibrations and acoustics. Philos. Trans. R. Soc. A Math. Phys. Eng. Sci. 1999, 357, 2607–2625. [Google Scholar] [CrossRef]
- Zou, Y.; Li, Y.; Kaestner, M.; Reithmeier, E. Low-coherence interferometry based roughness measurement on turbine blade surfaces using wavelet analysis. Opt. Lasers Eng. 2016, 82, 113–121. [Google Scholar] [CrossRef]
- Johnson, R.B.; DeGraff, J.V. Principles of Engineering Geology; Wiley: Hoboken, NJ, USA, 1988; p. 512. [Google Scholar]
- Gavrila, R.; Dinescu, A.; Mardare, D. A Power Spectral Density Study of Thin Films Morphology Based on AFM Profiling. Rom. J. Inf. Sci. Technol. 2007, 10, 291–300. [Google Scholar]
















| Average Particle Size (mm) | Cementation Level Range (%) | No of Tensile Strength Tests | No of Fracture Surfaces Being Analysed | |
|---|---|---|---|---|
| Fine sands | 0.18 | 3.1–10.9 | 30 | 16 |
| Coarse sands | 1.82 | 3.55–10.78 | 22 | 10 |
Publisher’s Note: MDPI stays neutral with regard to jurisdictional claims in published maps and institutional affiliations. |
© 2021 by the authors. Licensee MDPI, Basel, Switzerland. This article is an open access article distributed under the terms and conditions of the Creative Commons Attribution (CC BY) license (https://creativecommons.org/licenses/by/4.0/).
Share and Cite
Konstantinou, C.; Biscontin, G.; Logothetis, F. Tensile Strength of Artificially Cemented Sandstone Generated via Microbially Induced Carbonate Precipitation. Materials 2021, 14, 4735. https://doi.org/10.3390/ma14164735
Konstantinou C, Biscontin G, Logothetis F. Tensile Strength of Artificially Cemented Sandstone Generated via Microbially Induced Carbonate Precipitation. Materials. 2021; 14(16):4735. https://doi.org/10.3390/ma14164735
Chicago/Turabian StyleKonstantinou, Charalampos, Giovanna Biscontin, and Fotios Logothetis. 2021. "Tensile Strength of Artificially Cemented Sandstone Generated via Microbially Induced Carbonate Precipitation" Materials 14, no. 16: 4735. https://doi.org/10.3390/ma14164735
APA StyleKonstantinou, C., Biscontin, G., & Logothetis, F. (2021). Tensile Strength of Artificially Cemented Sandstone Generated via Microbially Induced Carbonate Precipitation. Materials, 14(16), 4735. https://doi.org/10.3390/ma14164735

