Interfacial Friction Anisotropy in Few-Layer Van der Waals Crystals
Abstract
:1. Introduction
2. Methods
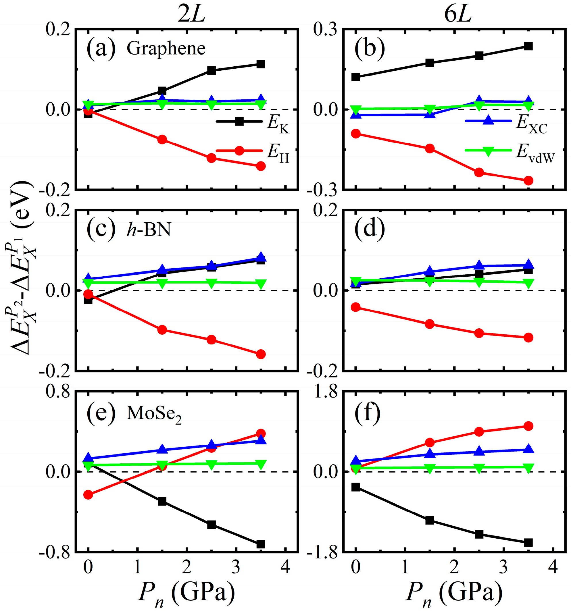
3. Results and Discussion
4. Conclusions
Author Contributions
Funding
Institutional Review Board Statement
Informed Consent Statement
Data Availability Statement
Conflicts of Interest
References
- Lee, C.; Li, Q.; Kalb, W.; Liu, X.-Z.; Berger, H.; Carpick, R.W.; Hone, J. Frictional characteristics of atomically thin sheets. Science 2010, 328, 76–80. [Google Scholar] [CrossRef] [Green Version]
- Zhang, H.; Guo, Z.; Gao, H.; Chang, T. Stiffness-dependent interlayer friction of graphene. Carbon 2015, 94, 60–66. [Google Scholar] [CrossRef]
- Lin, X.; Zhang, H.; Guo, Z.; Chang, T. Strain engineering of friction between graphene layers. Tribol. Int. 2019, 131, 686–693. [Google Scholar] [CrossRef]
- Huo, Z.; Chen, Y.; Guo, Z.; Chang, T. Energy dissipation mechanism of commensurate graphene layers. Sci. China Technol. Sci. 2021, 64, 635–640. [Google Scholar] [CrossRef]
- Zhang, H.; Chang, T. Edge orientation dependent nanoscale friction. Nanoscale 2018, 10, 2447–2453. [Google Scholar] [CrossRef] [PubMed]
- Guo, Y.; Guo, W.; Chen, C. Modifying atomic-scale friction between two graphene sheets: A molecular-force-field study. Phys. Rev. B 2007, 76, 155429. [Google Scholar] [CrossRef]
- Wang, G.; Dai, Z.; Wang, Y.; Tan, P.; Liu, L.; Xu, Z.; Wei, Y.; Huang, R.; Zhang, Z. Measuring interlayer shear stress in bilayer graphene. Phys. Rev. Lett. 2017, 119, 036101. [Google Scholar] [CrossRef]
- Mandelli, D.; Ouyang, W.; Hod, O.; Urbakh, M. Negative friction coefficients in superlubric graphite–hexagonal boron nitride heterojunctions. Phys. Rev. Lett. 2019, 122, 076102. [Google Scholar] [CrossRef] [Green Version]
- Deng, Z.; Smolyanitsky, A.; Li, Q.; Feng, X.-Q.; Cannara, R.J. Adhesion-dependent negative friction coefficient on chemically modified graphite at the nanoscale. Nat. Mater. 2012, 11, 1032–1037. [Google Scholar] [CrossRef]
- Smolyanitsky, A.; Killgore, J.P. Anomalous friction in suspended graphene. Phys. Rev. B 2012, 86, 125432. [Google Scholar] [CrossRef] [Green Version]
- Xu, L.; Ma, T.-B.; Hu, Y.-Z.; Wang, H. Molecular dynamics simulation of the interlayer sliding behavior in few-layer graphene. Carbon 2012, 50, 1025–1032. [Google Scholar] [CrossRef]
- Zheng, Q.; Liu, Z. Experimental advances in superlubricity. Friction 2014, 2, 182–192. [Google Scholar] [CrossRef] [Green Version]
- Kim, D.-I.; Park, S.-M.; Hong, S.W.; Jeong, M.Y.; Kim, K.H. The periodicity in interfacial friction of graphene. Carbon 2015, 85, 328–334. [Google Scholar] [CrossRef]
- Filleter, T.; McChesney, J.L.; Bostwick, A.; Rotenberg, E.; Emtsev, K.V.; Seyller, T.; Horn, K.; Bennewitz, R. Friction and dissipation in epitaxial graphene films. Phys. Rev. Lett. 2009, 102, 086102. [Google Scholar] [CrossRef] [PubMed] [Green Version]
- Büch, H.; Rossi, A.; Forti, S.; Convertino, D.; Tozzini, V.; Coletti, C. Superlubricity of epitaxial monolayer WS2 on graphene. Nano Res. 2018, 11, 5946–5956. [Google Scholar] [CrossRef] [Green Version]
- Kobayashi, Y.; Taniguchi, T.; Watanabe, K.; Maniwa, Y.; Miyata, Y. Slidable atomic layers in van der Waals heterostructures. Appl. Phys. Express 2017, 10, 045201. [Google Scholar] [CrossRef]
- Zheng, X.; Gao, L.; Yao, Q.; Li, Q.; Zhang, M.; Xie, X.; Qiao, S.; Wang, G.; Ma, T.; Di, Z. Robust ultra-low-friction state of graphene via moiré superlattice confinement. Nat. Commun. 2016, 7, 1–7. [Google Scholar] [CrossRef] [Green Version]
- Li, H.; Shi, W.; Guo, Y.; Guo, W. Nonmonotonic interfacial friction with normal force in two-dimensional crystals. Phys. Rev. B 2020, 102, 085427. [Google Scholar] [CrossRef]
- Hod, O.; Meyer, E.; Zheng, Q.; Urbakh, M. Structural superlubricity and ultralow friction across the length scales. Nature 2018, 563, 485–492. [Google Scholar] [CrossRef]
- Guo, W.; Yin, J.; Qiu, H.; Guo, Y.; Wu, H.; Xue, M. Friction of low-dimensional nanomaterial systems. Friction 2014, 2, 209–225. [Google Scholar] [CrossRef] [Green Version]
- Cai, H.; Guo, Y.; Gao, H.; Guo, W. Tribo-piezoelectricity in Janus transition metal dichalcogenide bilayers: A first-principles study. Nano Energy 2019, 56, 33–39. [Google Scholar] [CrossRef]
- Yang, J.; Liu, Z.; Grey, F.; Xu, Z.; Li, X.; Liu, Y.; Urbakh, M.; Cheng, Y.; Zheng, Q. Observation of high-speed microscale superlubricity in graphite. Phys. Rev. Lett. 2013, 110, 255504. [Google Scholar] [CrossRef] [PubMed] [Green Version]
- Zhang, S.; Ma, T.; Erdemir, A.; Li, Q. Tribology of two-dimensional materials: From mechanisms to modulating strategies. Mater. Today 2019, 26, 67–86. [Google Scholar] [CrossRef]
- Liu, J.; Qi, Y.; Li, Q.; Duan, T.; Yue, W.; Vadakkepatt, A.; Ye, C.; Dong, Y. Vacancy-controlled friction on 2D materials: Roughness, flexibility, and chemical reactions. Carbon 2019, 142, 363–372. [Google Scholar] [CrossRef]
- Liu, J.; Zhang, S.; Li, Q.; Feng, X.-Q.; Di, Z.; Ye, C.; Dong, Y. Lateral force modulation by moiré superlattice structure: Surfing on periodically undulated graphene sheets. Carbon 2017, 125, 76–83. [Google Scholar] [CrossRef]
- Xu, L.; Ma, T.-B.; Hu, Y.-Z.; Wang, H. Vanishing stick–slip friction in few-layer graphenes: The thickness effect. Nanotechnology 2011, 22, 285708. [Google Scholar] [CrossRef] [PubMed]
- Reguzzoni, M.; Fasolino, A.; Molinari, E.; Righi, M.C. Friction by shear deformations in multilayer graphene. J. Phys. Chem. C 2012, 116, 21104–21108. [Google Scholar] [CrossRef] [Green Version]
- Miura, K.; Kamiya, S. Observation of the Amontons-Coulomb law on the nanoscale: Frictional forces between MoS2 flakes and MoS2 surfaces. EPL 2002, 58, 610. [Google Scholar] [CrossRef]
- Feng, X.; Kwon, S.; Park, J.Y.; Salmeron, M. Superlubric sliding of graphene nanoflakes on graphene. ACS Nano 2013, 7, 1718–1724. [Google Scholar] [CrossRef]
- Wang, L.-F.; Ma, T.-B.; Hu, Y.-Z.; Zheng, Q.; Wang, H.; Luo, J. Superlubricity of two-dimensional fluorographene/MoS2 heterostructure: A first-principles study. Nanotechnology 2014, 25, 385701. [Google Scholar] [CrossRef]
- Song, Y.; Mandelli, D.; Hod, O.; Urbakh, M.; Ma, M.; Zheng, Q. Robust microscale superlubricity in graphite/hexagonal boron nitride layered heterojunctions. Nat. Mater. 2018, 17, 894–899. [Google Scholar] [CrossRef]
- Choi, J.S.; Kim, J.-S.; Byun, I.-S.; Lee, D.H.; Lee, M.J.; Park, B.H.; Lee, C.; Yoon, D.; Cheong, H.; Lee, K.H. Friction anisotropy–driven domain imaging on exfoliated monolayer graphene. Science 2011, 333, 607–610. [Google Scholar] [CrossRef] [PubMed]
- Miura, K.; Sasaki, N.; Kamiya, S. Friction mechanisms of graphite from a single-atomic tip to a large-area flake tip. Phys. Rev. B 2004, 69, 075420. [Google Scholar] [CrossRef]
- Dienwiebel, M.; Verhoeven, G.S.; Pradeep, N.; Frenken, J.W.; Heimberg, J.A.; Zandbergen, H.W. Superlubricity of graphite. Phys. Rev. Lett. 2004, 92, 126101. [Google Scholar] [CrossRef] [Green Version]
- Vazirisereshk, M.R.; Hasz, K.; Carpick, R.W.; Martini, A. Friction Anisotropy of MoS2: Effect of Tip–Sample Contact Quality. J. Phys. Chem. Lett. 2020, 11, 6900–6906. [Google Scholar] [CrossRef] [PubMed]
- Verhoeven, G.S.; Dienwiebel, M.; Frenken, J.W. Model calculations of superlubricity of graphite. Phys. Rev. B 2004, 70, 165418. [Google Scholar] [CrossRef] [Green Version]
- Liu, S.-W.; Wang, H.-P.; Xu, Q.; Ma, T.-B.; Yu, G.; Zhang, C.; Geng, D.; Yu, Z.; Zhang, S.; Wang, W. Robust microscale superlubricity under high contact pressure enabled by graphene-coated microsphere. Nat. Commun. 2017, 8, 1–8. [Google Scholar] [CrossRef]
- Liu, Y.; Song, A.; Xu, Z.; Zong, R.; Zhang, J.; Yang, W.; Wang, R.; Hu, Y.; Luo, J.; Ma, T. Interlayer friction and superlubricity in single-crystalline contact enabled by two-dimensional flake-wrapped atomic force microscope tips. ACS Nano 2018, 12, 7638–7646. [Google Scholar] [CrossRef]
- Filippov, A.E.; Vanossi, A.; Urbakh, M. Origin of friction anisotropy on a quasicrystal surface. Phys. Rev. Lett. 2010, 104, 074302. [Google Scholar] [CrossRef]
- Qi, Y.; Cheng, Y.-T.; Çağin, T.; Goddard, W.A., III. Friction anisotropy at Ni (100)/(100) interfaces: Molecular dynamics studies. Phys. Rev. B 2002, 66, 085420. [Google Scholar] [CrossRef] [Green Version]
- Lucas, M.; Zhang, X.; Palaci, I.; Klinke, C.; Tosatti, E.; Riedo, E. Hindered rolling and friction anisotropy in supported carbon nanotubes. Nat. Mater. 2009, 8, 876–881. [Google Scholar] [CrossRef]
- Liu, Z.; Yang, J.; Grey, F.; Liu, J.Z.; Liu, Y.; Wang, Y.; Yang, Y.; Cheng, Y.; Zheng, Q. Observation of microscale superlubricity in graphite. Phys. Rev. Lett. 2012, 108, 205503. [Google Scholar] [CrossRef] [PubMed] [Green Version]
- Claerbout, V.E.; Polcar, T.; Nicolini, P. Superlubricity achieved for commensurate sliding: MoS2 frictional anisotropy in silico. Comput. Mater. Sci. 2019, 163, 17–23. [Google Scholar] [CrossRef]
- Almeida, C.M.; Prioli, R.; Fragneaud, B.; Cançado, L.G.; Paupitz, R.; Galvão, D.S.; De Cicco, M.; Menezes, M.G.; Achete, C.A.; Capaz, R.B. Giant and tunable anisotropy of nanoscale friction in graphene. Sci. Rep. 2016, 6, 1–9. [Google Scholar] [CrossRef] [PubMed]
- Gao, W.; Tkatchenko, A. Sliding mechanisms in multilayered hexagonal boron nitride and graphene: The effects of directionality, thickness, and sliding constraints. Phys. Rev. Lett. 2015, 114, 096101. [Google Scholar] [CrossRef] [PubMed]
- Yu, C.; Wang, Q.J. Friction anisotropy with respect to topographic orientation. Sci. Rep. 2012, 2, 1–6. [Google Scholar] [CrossRef]
- Blum, V.; Gehrke, R.; Hanke, F.; Havu, P.; Havu, V.; Ren, X.; Reuter, K.; Scheffler, M. Ab initio molecular simulations with numeric atom-centered orbitals. Comput. Phys. Commun. 2009, 180, 2175–2196. [Google Scholar] [CrossRef] [Green Version]
- Perdew, J.P.; Burke, K.; Ernzerhof, M. Generalized gradient approximation made simple. Phys. Rev. Lett. 1996, 77, 3865. [Google Scholar] [CrossRef] [Green Version]
- Tkatchenko, A.; Ambrosetti, A.; DiStasio, R.A., Jr. Interatomic methods for the dispersion energy derived from the adiabatic connection fluctuation-dissipation theorem. J. Chem. Phys. 2013, 138, 074106. [Google Scholar] [CrossRef] [Green Version]
- Tkatchenko, A.; DiStasio, R.A., Jr.; Car, R.; Scheffler, M. Accurate and efficient method for many-body van der Waals interactions. Phys. Rev. Lett. 2012, 108, 236402. [Google Scholar] [CrossRef]








Publisher’s Note: MDPI stays neutral with regard to jurisdictional claims in published maps and institutional affiliations. |
© 2021 by the authors. Licensee MDPI, Basel, Switzerland. This article is an open access article distributed under the terms and conditions of the Creative Commons Attribution (CC BY) license (https://creativecommons.org/licenses/by/4.0/).
Share and Cite
Wang, K.; Li, H.; Guo, Y. Interfacial Friction Anisotropy in Few-Layer Van der Waals Crystals. Materials 2021, 14, 4717. https://doi.org/10.3390/ma14164717
Wang K, Li H, Guo Y. Interfacial Friction Anisotropy in Few-Layer Van der Waals Crystals. Materials. 2021; 14(16):4717. https://doi.org/10.3390/ma14164717
Chicago/Turabian StyleWang, Kaibo, Hao Li, and Yufeng Guo. 2021. "Interfacial Friction Anisotropy in Few-Layer Van der Waals Crystals" Materials 14, no. 16: 4717. https://doi.org/10.3390/ma14164717
APA StyleWang, K., Li, H., & Guo, Y. (2021). Interfacial Friction Anisotropy in Few-Layer Van der Waals Crystals. Materials, 14(16), 4717. https://doi.org/10.3390/ma14164717

