MIL-53 Metal–Organic Framework as a Flexible Cathode for Lithium-Oxygen Batteries
Abstract
:1. Introduction
2. Materials and Methods
2.1. Preparation of MIL-53(Al)
2.2. Characterizations of Pristine MOFs
2.3. Battery Assembly and Testing
2.4. Characterizations after Cycling
3. Results and Discussion
3.1. Pristine MOF Materials Characterizations
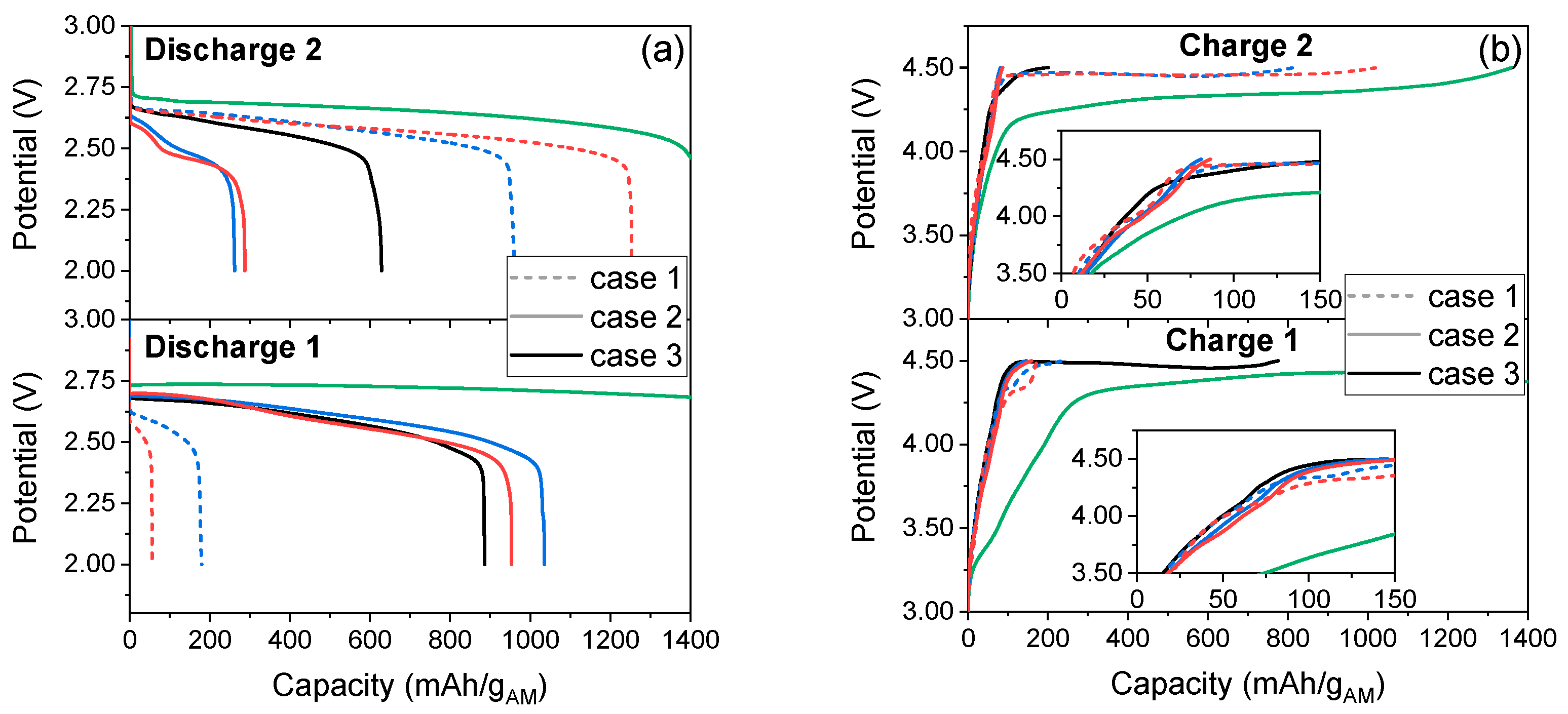
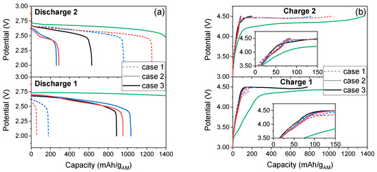
3.2. Electrochemical Properties
3.3. Ex Situ Characterizations
4. Conclusions
Supplementary Materials
Author Contributions
Funding
Institutional Review Board Statement
Informed Consent Statement
Data Availability Statement
Acknowledgments
Conflicts of Interest
References
- Liu, T.; Vivek, J.P.; Zhao, E.W.; Lei, J.; Garcia-Araez, N.; Grey, C.P. Current Challenges and Routes Forward for Nonaqueous Lithium–Air Batteries. Chem. Rev. 2020, 120, 6558–6625. [Google Scholar] [CrossRef] [PubMed]
- Kwak, W.-J.; Rosy; Sharon, D.; Xia, C.; Kim, H.; Johnson, L.R.; Bruce, P.G.; Nazar, L.F.; Sun, Y.-K.; Frimer, A.A.; et al. Lithium–Oxygen Batteries and Related Systems: Potential, Status, and Future. Chem. Rev. 2020, 120, 6626–6683. [Google Scholar] [CrossRef]
- Lai, J.; Xing, Y.; Chen, N.; Li, L.; Wu, F.; Chen, R. Electrolytes for Rechargeable Lithium–Air Batteries. Angew. Chem. Int. Ed. 2020, 59, 2974–2997. [Google Scholar] [CrossRef]
- Kang, J.-H.; Lee, J.; Jung, J.-W.; Park, J.; Jang, T.; Kim, H.-S.; Nam, J.-S.; Lim, H.; Yoon, K.R.; Ryu, W.-H.; et al. Lithium–Air Batteries: Air-Breathing Challenges and Perspective. ACS Nano 2020, 14, 14549–14578. [Google Scholar] [CrossRef] [PubMed]
- Shu, C.; Wang, J.; Long, J.; Liu, H.-K.; Dou, S.-X. Understanding the Reaction Chemistry during Charging in Aprotic Lithium–Oxygen Batteries: Existing Problems and Solutions. Adv. Mater. 2019, 31, 1804587. [Google Scholar] [CrossRef] [PubMed]
- Lyu, Z.; Zhou, Y.; Dai, W.; Cui, X.; Lai, M.; Wang, L.; Huo, F.; Huang, W.; Hu, Z.; Chen, W. Recent Advances in Understanding of the Mechanism and Control of Li2O2 Formation in Aprotic Li–O2 Batteries. Chem. Soc. Rev. 2017, 46, 6046–6072. [Google Scholar] [CrossRef]
- Yu, H.; Liu, D.; Feng, X.; Zhang, Y. Mini Review: Recent Advances on Flexible Rechargeable Li–Air Batteries. Energy Fuels 2021, 35, 4751–4761. [Google Scholar] [CrossRef]
- McCloskey, B.D.; Speidel, A.; Scheffler, R.; Miller, D.C.; Viswanathan, V.; Hummelshøj, J.S.; Nørskov, J.K.; Luntz, A.C. Twin Problems of Interfacial Carbonate Formation in Nonaqueous Li–O2 Batteries. J. Phys. Chem. Lett. 2012, 3, 997–1001. [Google Scholar] [CrossRef]
- Zhou, Y.; Zhao, Y.; Liu, Z.; Peng, Z.; Wang, L.; Chen, W. Confining Li2O2 in Tortuous Pores of Mesoporous Cathodes to Facilitate Low Charge Overpotentials for Li-O2 Batteries. J. Energy Chem. 2021, 55, 55–61. [Google Scholar] [CrossRef]
- Jung, J.-W.; Cho, S.-H.; Nam, J.S.; Kim, I.-D. Current and Future Cathode Materials for Non-Aqueous Li-Air (O2) Battery Technology—A Focused Review. Energy Storage Mater. 2020, 24, 512–528. [Google Scholar] [CrossRef]
- Rai, V.; Lee, K.P.; Safanama, D.; Adams, S.; Blackwood, D.J. Oxygen Reduction and Evolution Reaction (ORR and OER) Bifunctional Electrocatalyst Operating in a Wide PH Range for Cathodic Application in Li–Air Batteries. ACS Appl. Energy Mater. 2020, 3, 9417–9427. [Google Scholar] [CrossRef]
- Surya, K.; Michael, M.S.; Prabaharan, S.R.S. A Review on Advancement in Non-Noble Metal Based Oxides as Bifunctional Catalysts for Rechargeable Non-Aqueous Li/Air Battery. Solid State Ion. 2018, 317, 89–96. [Google Scholar] [CrossRef]
- Zhu, J.; Wang, J.; Zhang, Y.; Li, J. Cathode Materials and Catalysts for Non-Aqueous Li-O2 Batteries. Sci. Adv. Mater. 2017, 9, 1703–1712. [Google Scholar] [CrossRef]
- Zhang, X.; Chen, A.; Zhong, M.; Zhang, Z.; Zhang, X.; Zhou, Z.; Bu, X.-H. Metal–Organic Frameworks (MOFs) and MOF-Derived Materials for Energy Storage and Conversion. Electrochem. Energy Rev. 2019, 2, 29–104. [Google Scholar] [CrossRef]
- Lee, J.; Farha, O.K.; Roberts, J.; Scheidt, K.A.; Nguyen, S.T.; Hupp, J.T. Metal–Organic Framework Materials as Catalysts. Chem. Soc. Rev. 2009, 38, 1450–1459. [Google Scholar] [CrossRef]
- Rowsell, J.L.C.; Yaghi, O.M. Metal–Organic Frameworks: A New Class of Porous Materials. Microporous Mesoporous Mater. 2004, 73, 3–14. [Google Scholar] [CrossRef]
- Chu, Z.; Gao, X.; Wang, C.; Wang, T.; Wang, G. Metal–Organic Frameworks as Separators and Electrolytes for Lithium–Sulfur Batteries. J. Mater. Chem. A 2021, 9, 7301–7316. [Google Scholar] [CrossRef]
- Dong, Y.; Li, S.; Hong, S.; Wang, L.; Wang, B. Metal-Organic Frameworks and Their Derivatives for Li–Air Batteries. Chin. Chem. Lett. 2020, 31, 635–642. [Google Scholar] [CrossRef]
- Wu, D.; Guo, Z.; Yin, X.; Pang, Q.; Tu, B.; Zhang, L.; Wang, Y.-G.; Li, Q. Metal–Organic Frameworks as Cathode Materials for Li–O2 Batteries. Adv. Mater. 2014, 26, 3258–3262. [Google Scholar] [CrossRef]
- Kundu, T.; Wahiduzzaman, M.; Shah, B.B.; Maurin, G.; Zhao, D. Solvent-Induced Control over Breathing Behavior in Flexible Metal–Organic Frameworks for Natural-Gas Delivery. Angew. Chem. 2019, 131, 8157–8161. [Google Scholar] [CrossRef]
- Zhang, J.-P.; Zhou, H.-L.; Zhou, D.-D.; Liao, P.-Q.; Chen, X.-M. Controlling Flexibility of Metal–Organic Frameworks. Natl. Sci. Rev. 2018, 5, 907–919. [Google Scholar] [CrossRef]
- Loiseau, T.; Serre, C.; Huguenard, C.; Fink, G.; Taulelle, F.; Henry, M.; Bataille, T.; Férey, G. A Rationale for the Large Breathing of the Porous Aluminum Terephthalate (MIL-53) Upon Hydration. Chem. Eur. J. 2004, 10, 1373–1382. [Google Scholar] [CrossRef] [PubMed]
- Mori, R. Electrochemical Properties of a Rechargeable Aluminum–Air Battery with a Metal–Organic Framework as Air Cathode Material. RSC Adv. 2017, 7, 6389–6395. [Google Scholar] [CrossRef] [Green Version]
- Boultif, A.; Louër, D. Powder Pattern Indexing with the Dichotomy Method. J. Appl. Cryst. 2004, 37, 724–731. [Google Scholar] [CrossRef]
- Rodriguez-Carvajal, J. Fullprof: A Program for Rietveld Refinement and Pattern Matching Analysis. In Abstract of the Satellite Meeting on Powder Diffraction of the XV Congress of the IUCr; Scientific Research Publishing: Wuhan, China, 1990; Volume 127. [Google Scholar]
- Linder-Patton, O.M.; Bloch, W.M.; Coghlan, C.J.; Sumida, K.; Kitagawa, S.; Furukawa, S.; Doonan, C.J.; Sumby, C.J. Particle Size Effects in the Kinetic Trapping of a Structurally-Locked Form of a Flexible MOF. CrystEngComm 2016, 18, 4172–4179. [Google Scholar] [CrossRef] [Green Version]
- Leubner, S.; Stäglich, R.; Franke, J.; Jacobsen, J.; Gosch, J.; Siegel, R.; Reinsch, H.; Maurin, G.; Senker, J.; Yot, P.G. Solvent Impact on the Properties of Benchmark Metal–Organic Frameworks: Acetonitrile-Based Synthesis of CAU-10, Ce-UiO-66, and Al-MIL-53. Chemistry 2020, 26, 3877. [Google Scholar] [CrossRef]
- Ehrling, S.; Miura, H.; Senkovska, I.; Kaskel, S. From Macro- to Nanoscale: Finite Size Effects on Metal–Organic Framework Switchability. Trends Chem. 2021, 3, 291–304. [Google Scholar] [CrossRef]
- Gallant, B.M.; Kwabi, D.G.; Mitchell, R.R.; Zhou, J.; Thompson, C.V.; Shao-Horn, Y. Influence of Li2O2 Morphology on Oxygen Reduction and Evolution Kinetics in Li–O2 Batteries. Energy Environ. Sci. 2013, 6, 2518–2528. [Google Scholar] [CrossRef]
- Luntz, A.C.; McCloskey, B.D. Nonaqueous Li–Air Batteries: A Status Report. Chem. Rev. 2014, 114, 11721–11750. [Google Scholar] [CrossRef]
- Geng, D.; Ding, N.; Hor, T.S.A.; Chien, S.W.; Liu, Z.; Wuu, D.; Sun, X.; Zong, Y. From Lithium-Oxygen to Lithium-Air Batteries: Challenges and Opportunities. Adv. Energy Mater. 2016, 6, 1502164. [Google Scholar] [CrossRef]
- Aetukuri, N.B.; McCloskey, B.D.; García, J.M.; Krupp, L.E.; Viswanathan, V.; Luntz, A.C. Solvating Additives Drive Solution-Mediated Electrochemistry and Enhance Toroid Growth in Non-Aqueous Li–O 2 Batteries. Nat. Chem. 2015, 7, 50–56. [Google Scholar] [CrossRef] [PubMed]
- Mitchell, R.R.; Gallant, B.M.; Shao-Horn, Y.; Thompson, C.V. Mechanisms of Morphological Evolution of Li 2 O 2 Particles during Electrochemical Growth. J. Phys. Chem. Lett. 2013, 4, 1060–1064. [Google Scholar] [CrossRef]
- Khodayari, A.; Sohrabnezhad, S. Fabrication of MIL-53(Al)/Ag/AgCl Plasmonic Nanocomposite: An Improved Metal Organic Framework Based Photocatalyst for Degradation of Some Organic Pollutants. J. Solid State Chem. 2021, 297, 122087. [Google Scholar] [CrossRef]
- Tatara, R.; Karayaylali, P.; Yu, Y.; Zhang, Y.; Giordano, L.; Maglia, F.; Jung, R.; Schmidt, J.P.; Lund, I.; Shao-Horn, Y. The Effect of Electrode-Electrolyte Interface on the Electrochemical Impedance Spectra for Positive Electrode in Li-Ion Battery. J. Electrochem. Soc. 2018, 166, A5090. [Google Scholar] [CrossRef]
- Eshetu, G.G.; Diemant, T.; Grugeon, S.; Behm, R.J.; Laruelle, S.; Armand, M.; Passerini, S. In-Depth Interfacial Chemistry and Reactivity Focused Investigation of Lithium-Imide- and Lithium-Imidazole-Based Electrolytes. ACS Appl. Mater. Interfaces 2016, 8, 16087–16100. [Google Scholar] [CrossRef]
- Sharova, V.; Moretti, A.; Diemant, T.; Varzi, A.; Behm, R.J.; Passerini, S. Comparative Study of Imide-Based Li Salts as Electrolyte Additives for Li-Ion Batteries. J. Power Sources 2018, 375, 43–52. [Google Scholar] [CrossRef]
- Muschi, M.; Devautour-Vinot, S.; Aureau, D.; Heymans, N.; Sene, S.; Emmerich, R.; Ploumistos, A.; Geneste, A.; Steunou, N.; Patriarche, G. Metal–Organic Framework/Graphene Oxide Composites for CO2 Capture by Microwave Swing Adsorption. J. Mater. Chem. A 2021, 9, 13135–13142. [Google Scholar] [CrossRef]
- Muschi, M.; Serre, C. Progress and Challenges of Graphene Oxide/Metal-Organic Composites. Coord. Chem. Rev. 2019, 387, 262–272. [Google Scholar] [CrossRef]










| Material | Surface Area (m2/g) | External Surface Area (m2/g) | Particle Size |
|---|---|---|---|
| Super P carbon | 52.52 ± 0.44 | 39.65 | 40 nm |
| H-MIL-53 | 1240.46 ± 2.51 | 52.13 | 2 µm |
| MW-MIL-53 | 1390.72 ± 0.43 | 48.31 | 500 nm |
Publisher’s Note: MDPI stays neutral with regard to jurisdictional claims in published maps and institutional affiliations. |
© 2021 by the authors. Licensee MDPI, Basel, Switzerland. This article is an open access article distributed under the terms and conditions of the Creative Commons Attribution (CC BY) license (https://creativecommons.org/licenses/by/4.0/).
Share and Cite
Zhang, Y.; Gikonyo, B.; Khodja, H.; Gauthier, M.; Foy, E.; Goetz, B.; Serre, C.; Coste Leconte, S.; Pimenta, V.; Surblé, S. MIL-53 Metal–Organic Framework as a Flexible Cathode for Lithium-Oxygen Batteries. Materials 2021, 14, 4618. https://doi.org/10.3390/ma14164618
Zhang Y, Gikonyo B, Khodja H, Gauthier M, Foy E, Goetz B, Serre C, Coste Leconte S, Pimenta V, Surblé S. MIL-53 Metal–Organic Framework as a Flexible Cathode for Lithium-Oxygen Batteries. Materials. 2021; 14(16):4618. https://doi.org/10.3390/ma14164618
Chicago/Turabian StyleZhang, Yujie, Ben Gikonyo, Hicham Khodja, Magali Gauthier, Eddy Foy, Bernard Goetz, Christian Serre, Servane Coste Leconte, Vanessa Pimenta, and Suzy Surblé. 2021. "MIL-53 Metal–Organic Framework as a Flexible Cathode for Lithium-Oxygen Batteries" Materials 14, no. 16: 4618. https://doi.org/10.3390/ma14164618
APA StyleZhang, Y., Gikonyo, B., Khodja, H., Gauthier, M., Foy, E., Goetz, B., Serre, C., Coste Leconte, S., Pimenta, V., & Surblé, S. (2021). MIL-53 Metal–Organic Framework as a Flexible Cathode for Lithium-Oxygen Batteries. Materials, 14(16), 4618. https://doi.org/10.3390/ma14164618

