The Enhancement of Enargite Dissolution by Sodium Hypochlorite in Ammoniacal Solutions
Abstract
:1. Introduction
2. Experimental
2.1. Copper Concentrate Sample
2.2. Leaching in Shake Flasks
3. Results and Discussions
3.1. Effect of Temperature on the Dissolution of Copper and Arsenic
3.2. Effect of Pretreatment and Curing Time
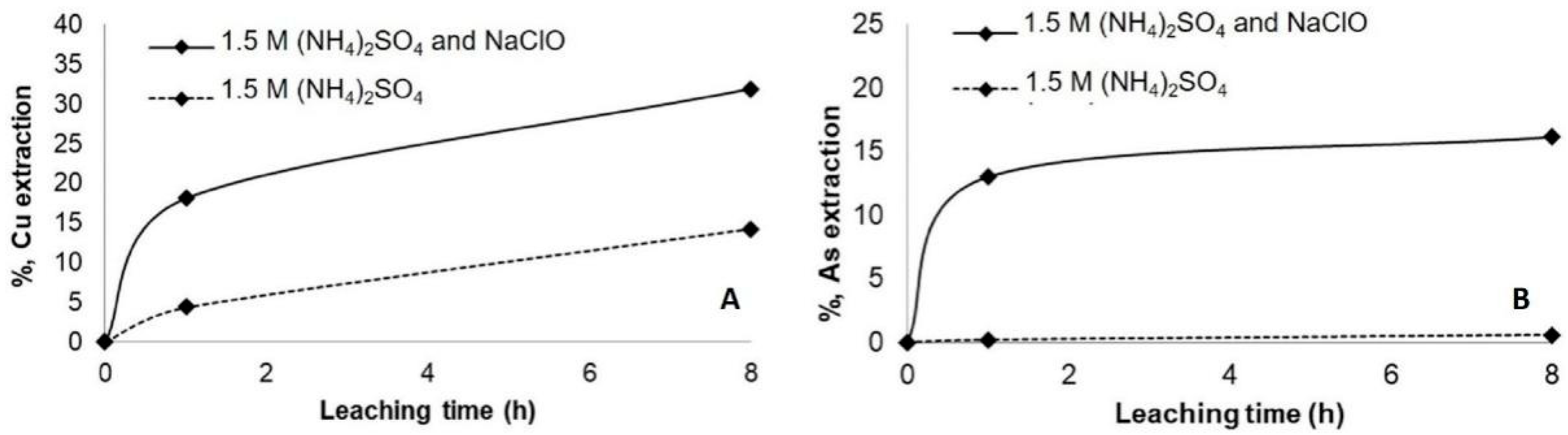
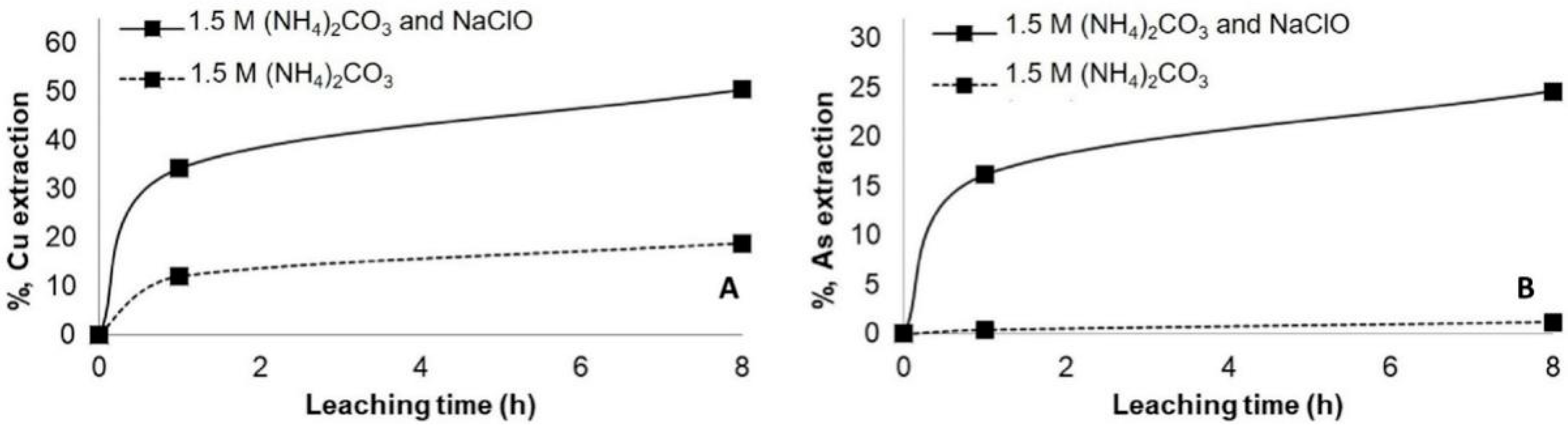
3.3. Effect of NaClO
3.4. Modelling of Copper Extraction in Function of NH4Cl, NaClO and Leaching Time
4. Conclusions
- In all ammoniacal solutions studied, increased temperature enhanced the dissolution of copper, but no significant increase in the dissolution of arsenic was observed. Ammonium carbonate solutions at 35 °C dissolved the highest copper and arsenic amount.
- Mixing the copper concentrate with NaCl and leaving it to rest for 72 h before the leaching with ammoniacal solutions significantly increases the dissolution of both copper and arsenic from the concentrate. A maximum of 35% of Cu and 3.3% of As were extracted when ammonium carbonate was used as the lixiviant.
- The addition of an oxidizing agent such as hypochlorite ion, OCl− to the alkaline leaching solution dramatically enhanced the dissolution of enargite contained in the concentrate obtained more than 50% of copper and 25% of As.
- With an error of 2.02%, Table 4 shows that the experimental results were in good agreement with the modelled equation (Equation (2)). Therefore, the mathematical model fits well with the experimental data.
- Although the results described above indicate that the leaching of enargite using ammonia solutions could be attractive from a kinetic point of view, many important practical considerations must be considered. As the cost of the lixiviants, a neutralizing reagent to maintain the pH at a level appropriate for efficient leaching.
Author Contributions
Funding
Institutional Review Board Statement
Informed Consent Statement
Data Availability Statement
Conflicts of Interest
References
- Bowell, R.; Parshley, J. Arsenic cycling in the mining environment. In Proceedings of the US.EPA Workshop on Managing arsenic Risks to the Environment: Characterization of Waste, Chemistry and Treatment and Disposal, Cincinnati, OH, USA, 1–3 May 2003; pp. 10–12. [Google Scholar]
- Mandal, B.; Suzuki, K. Arsenic round the world: A review. Talanta 2002, 58, 201–235. [Google Scholar] [CrossRef]
- Zhang, H.; Wang, Y.; He, Y.; Xu, S.; Hu, B.; Cao, H.; Zhou, J.; Zheng, G. Efficient and safe disposition of arsenic by incorporation in smelting slag through copper flash smelting process. Miner. Eng. 2021, 160, 106661. [Google Scholar] [CrossRef]
- O’Ryan, R.; Diaz, M. The use of probabilistic analysis to improve decision-making in environmental regulation in a developing context: The case of arsenic regulation in Chile. Hum. Ecol. Risk Assess. 2008, 14, 623–640. [Google Scholar] [CrossRef]
- Ghorbani, Y.; Kuan, S.H. A review of sustainable development in the Chilean mining sector: Past, present and future. Int. J. Mining Reclam. Environ. 2017, 930, 137–165. [Google Scholar] [CrossRef]
- Cooke, D.R.; Hollings, P.; Walshe, J.L. Giant porphyry deposits: Characteristics, distribution, and tectonic controls. Econ. Geol. 2005, 100, 801–818. [Google Scholar] [CrossRef]
- Aracena, A.; Rodríguez, E.; Jerez, O. Enargite leaching under ammoniacal media with sodium persulfate and consecutive precipitation of As/Cu with Na2S/NaHS. Hydrometallurgy 2020, 192, 105290. [Google Scholar] [CrossRef]
- Volkov, A.V.; Serafimovski, T.; Tasev, G. Porphyry Cu-Mo-Au-Ag-deposits of the northeast of Russia, comparison with similar deposits of the R. Macedonia segment of the Tethys belt. In Proceedings of the VTOR Kongres na Geolozite na Republika Makedonija, Krushevo, Macedonia, October 2012; pp. 73–82. [Google Scholar]
- Li, T.; Zhang, Y.; Zhang, B.; Chang, K.; Jiao, F.; Qin, W. Arsenic(V) removal from enargite leach solutions by precipitation of magnesium ammonium arsenate. Sep. Sci. Technol. 2019, 54, 1862–1870. [Google Scholar] [CrossRef]
- Tongamp, W.; Takasaki, Y.; Shibayama, A. Arsenic removal from copper ores and concentrates through alkaline leaching in NaHS media. Hydrometallurgy 2009, 98, 213–218. [Google Scholar] [CrossRef]
- Ruiz, M.C.; Grandon, L.; Padilla, R. Selective arsenic removal from enargite by alkaline digestion and water leaching. Hydrometallurgy 2014, 150, 20–26. [Google Scholar] [CrossRef]
- Dew, D.W.; van Buuren, C.; McEwan, K.; Bowker, C. Bioleaching of base metal sulphide concentrates: A comparison of mesophile and thermophile bacterial cultures. Process Metall. 1999, 9, 229–238. [Google Scholar] [CrossRef]
- Dutrizac, J.E. The kinetics of dissolution of chalcopyrite in ferric ion media. Metall. Trans. B 1978, 9, 431–439. [Google Scholar] [CrossRef]
- Dutrizac, J.E. The leaching of sulphide minerals in chloride media. Hydrometallurgy 1992, 29, 1–45. [Google Scholar] [CrossRef]
- Hirato, T.; Majima, H.; Awakura, Y. The leaching of chalcopyrite with cupric chloride. Metall. Trans. B 1987, 18, 31–39. [Google Scholar] [CrossRef]
- Velásquez-Yévenes, L.; Nicol, M.; Miki, H. The dissolution of chalcopyrite in chloride solutions: Part 1. the effect of solution potential. Hydrometallurgy 2010, 103, 108–113. [Google Scholar] [CrossRef]
- Velásquez-Yévenes, L.; Miki, H.; Nicol, M. The dissolution of chalcopyrite in chloride solutions: Part 2: Effect of various parameters on the rate. Hydrometallurgy 2010, 103, 80–85. [Google Scholar] [CrossRef]
- Nicol, M.; Miki, H.; Velásquez-Yévenes, L. The dissolution of chalcopyrite in chloride solutions: Part 3. Mechanisms. Hydrometallurgy 2010, 103, 86–95. [Google Scholar] [CrossRef]
- Dutrizac, J.E. The dissolution of chalcopyrite in ferric sulfate and ferric chloride media. Metall. Trans. B 1981, 12, 371–378. [Google Scholar] [CrossRef]
- Dutrizac, J.E. Elemental sulphur formation during the ferric chloride leaching of chalcopyrite. Hydrometallurgy 1990, 23, 153–176. [Google Scholar] [CrossRef]
- Velásquez-Yévenes, L.; Quezada-Reyes, V. Influence of seawater and discard brine on the dissolution of copper ore and copper concentrate. Hydrometallurgy 2018, 180, 88–95. [Google Scholar] [CrossRef]
- Quezada, V.; Roca, A.; Benavente, O.; Cruells, M.; Keith, B.; Melo, E. Effect of pretreatment prior to leaching on a chalcopyrite mineral in acid media using NaCl and KNO3. J. Mater. Res. Technol. 2020, 9, 10316–10324. [Google Scholar] [CrossRef]
- Gok, O.; Anderson, C.G. Dissolution of low-grade chalcopyrite concentrate in acidified nitrite electrolyte. Hydrometallurgy 2013, 134–135, 40–46. [Google Scholar] [CrossRef]
- Ekmekyapar, A.; Oya, R.; Künkül, A. Dissolution kinetics of an oxidized copper ore in ammonium chloride solution. Chem. Biochem. Eng. Q. 2003, 17, 261–266. [Google Scholar]
- Habashi, F. Dissolution of minerals and hydrometallurgical processes. Sci. Nat. 1983, 70, 403–411. [Google Scholar] [CrossRef]
- Alguacil, F.J. Recovery of copper from ammoniacal/ammonium carbonate medium by LIX 973N. Hydrometallurgy 1999, 52, 55–61. [Google Scholar] [CrossRef]
- Forward, F.A.; Mackiw, V.N. Chemistry of the ammonia pressure process for leaching Ni, Cu, and Co from Sherritt Gordon Sulphide concentrates. JOM 1955, 7, 457–463. [Google Scholar] [CrossRef]
- Kuhn, M.C.; Arbiter, N.; Kling, H. Anaconda’s arbiter process for copper. Can Min. Met. Bull 1974, 67, 62–73. [Google Scholar]
- Duyvesteyn, W.P.C.; Sabacky, B.J. Ammonia leaching process for Escondida copper concentrates. Trans. Inst. Min. Metall. Sect. C Miner. Process. Extr. Metall. 1995, 104, 125–140. [Google Scholar]
- Mihajlovic, I.; Štrbac, N.; Nikolic, D.; Živkovic, Z. Potential metallurgical treatment of copper concentrates with high arsenic contents. J. S. Afr. Inst. Min. Metall. 2011, 111, 409–416. [Google Scholar]
- Viñals, J.; Roca, A.; Hernández, M.C.; Benavente, O. Topochemical transformation of enargite into copper oxide by hypochlorite leaching. Hydrometallurgy 2003, 68, 183–193. [Google Scholar] [CrossRef]
- Vazquez-Arenas, J.; Lazaro, I.; Cruz, R. Electrochemical study of binary and ternary copper complexes in ammonia-chloride medium. Electrochim. Acta 2007, 52, 6106–6117. [Google Scholar] [CrossRef]
- Maeda, M. Estimation of medium effect on enthalpy changes for ionization of water and ammonium ion in aqueous solution. J. Phys. Chem. 1986, 90, 1134–1137. [Google Scholar] [CrossRef]
- Dhawan, N.; Safarzadeh, M.S.; Miller, J.D.; Moats, M.S.; Rajamani, R.K. Crushed ore agglomeration and its control for heap leach operations. Miner. Eng. 2013, 41, 53–70. [Google Scholar] [CrossRef]
- Hernández, P.C.; Dupont, J.; Herreros, O.O.; Jimenez, Y.P.; Torres, C.M. Accelerating copper leaching from sulfide ores in acid-nitrate-chloride media using agglomeration and curing as pretreatment. Minerals 2019, 9, 250. [Google Scholar] [CrossRef] [Green Version]
- Quezada, V.; Velásquez, L.; Roca, A.; Benavente, O.; Melo, E.; Keith, B. Effect of curing time on the dissolution of a secondary copper sulphide ore using alternative water resources. IOP Conf. Ser. Mater. Sci. Eng. 2018, 427, 012030. [Google Scholar] [CrossRef] [Green Version]
- Herreros, O.; Quiroz, R.; Hernández, M.C.; Viñals, J. Dissolution kinetics of enargite in dilute Cl2/Cl− media. Hydrometallurgy 2002, 64, 153–160. [Google Scholar] [CrossRef]
- Mihajlovic, I.; Strbac, N.; Zivkovic, Z.; Kovacevic, R.; Stehernik, M. A potential method for arsenic removal from copper concentrates. Miner. Eng. 2007, 20, 26–33. [Google Scholar] [CrossRef]










| Cu (%) | Cusoluble (%) | Fe (%) | Mo (ppm) | Mosoluble (ppm) | As (%) | S (%) |
|---|---|---|---|---|---|---|
| 36.2 | 1.55 | 14.9 | 230 | 12.5 | 4.26 | 31.5 |
| Mineral | Mass (%) |
|---|---|
| Enargite | 21.0 |
| Pyrite | 29.8 |
| Chalcocite | 17.9 |
| Other Cu-minerals | 7.79 |
| Chalcopyrite | 6.30 |
| Covellite | 4.58 |
| Gangue | 3.14 |
| Bornite | 2.92 |
| Quartz | 2.69 |
| Tenantite | 1.84 |
| Sphalerite | 1.42 |
| Plagioclase | 0.32 |
| Feldspars | 0.22 |
| Mn-minerals | 0.07 |
| Molybdenite | 0.05 |
| As-minerals | 0.01 |
| Test | Temp. °C | Curing (h) | NH4Cl (M) | (NH4)2CO3 (M) | (NH4)2SO4 (M) | NaCl (g/L) | OCl− (g/L) |
|---|---|---|---|---|---|---|---|
| 1 | 25 | - | 1.5 | - | - | - | - |
| 2 | 35 | - | 1.5 | - | - | - | - |
| 3 | 25 | - | - | 1.5 | - | - | - |
| 4 | 35 | - | - | 1.5 | - | - | - |
| 5 | 25 | - | - | - | 1.5 | - | - |
| 6 | 35 | - | - | - | 1.5 | - | - |
| 7 | 25 | 24.0 | 1.5 | - | - | 15 | - |
| 8 | 25 | 24.0 | - | 1.5 | - | 15 | - |
| 9 | 25 | 24.0 | - | - | 1.5 | 15 | - |
| 10 | 25 | 72.0 | 1.5 | - | - | 15 | - |
| 11 | 25 | 72.0 | - | 1.5 | - | 15 | - |
| 12 | 25 | 72.0 | - | - | 1.5 | 15 | - |
| 13 | 25 | - | 1.5 | - | - | - | 10 |
| 14 | 25 | - | - | 1.5 | - | - | 10 |
| 15 | 25 | - | - | - | 1.5 | - | 10 |
| Parameter | Estimate | SE of Estimate | CI of 95% |
|---|---|---|---|
| a0 | 9.96826 | 0.585156 | (7.46087;12.5206) |
| a1 | 2.48720 | 0.085869 | (2.12372;2.8583) |
| b0 | 1.00000 | 0.019377 | (0.91634;1.0837) |
| b1 | 1.21448 | 0.082207 | (0.91619;1.6699) |
| Parameter | Value | Meaning |
|---|---|---|
| SSE final | 0.986153 | Sum of squared residual |
| DFE | 2.000000 | Degrees of freedom for error, are equal to the sample size, plus 1 |
| MSE | 0.493077 | Means square of the error, is the variance around the fitted values. MSE = SSE/DFE |
| S | 0.702194 | Distance (of error) between the data values and the fitted values. S = MSE 1/2 |
Publisher’s Note: MDPI stays neutral with regard to jurisdictional claims in published maps and institutional affiliations. |
© 2021 by the authors. Licensee MDPI, Basel, Switzerland. This article is an open access article distributed under the terms and conditions of the Creative Commons Attribution (CC BY) license (https://creativecommons.org/licenses/by/4.0/).
Share and Cite
Velásquez-Yévenes, L.; Álvarez, H.; Quezada, V.; García, A. The Enhancement of Enargite Dissolution by Sodium Hypochlorite in Ammoniacal Solutions. Materials 2021, 14, 4529. https://doi.org/10.3390/ma14164529
Velásquez-Yévenes L, Álvarez H, Quezada V, García A. The Enhancement of Enargite Dissolution by Sodium Hypochlorite in Ammoniacal Solutions. Materials. 2021; 14(16):4529. https://doi.org/10.3390/ma14164529
Chicago/Turabian StyleVelásquez-Yévenes, Lilian, Hans Álvarez, Víctor Quezada, and Antonio García. 2021. "The Enhancement of Enargite Dissolution by Sodium Hypochlorite in Ammoniacal Solutions" Materials 14, no. 16: 4529. https://doi.org/10.3390/ma14164529
APA StyleVelásquez-Yévenes, L., Álvarez, H., Quezada, V., & García, A. (2021). The Enhancement of Enargite Dissolution by Sodium Hypochlorite in Ammoniacal Solutions. Materials, 14(16), 4529. https://doi.org/10.3390/ma14164529

