Mechanical, Structural and Electronic Properties of CO2 Adsorbed Graphitic Carbon Nitride (g-C3N4) under Biaxial Tensile Strain
Abstract
:1. Introduction
2. Computational Methods
3. Results
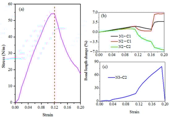
3.1. Mechanical and Structural Properties
3.2. Electronic Properties
4. Conclusions
Supplementary Materials
Author Contributions
Funding
Institutional Review Board Statement
Informed Consent Statement
Data Availability Statement
Acknowledgments
Conflicts of Interest
References
- Nam, S.; Jeong, Y.J.; Park, C.E.; Jang, J. Enhanced gas barrier properties of graphene-TiO2 nanocomposites on plastic substrates assisted by UV photoreduction of graphene oxide. Org. Electron. 2017, 48, 323–329. [Google Scholar] [CrossRef]
- Raganati, F.; Ammendola, P. Sound-assisted fluidization for temperature swing adsorption and calcium looping: A review. Materials 2021, 14, 672. [Google Scholar] [CrossRef] [PubMed]
- Barroso-Bogeat, A.; Blanco, G.; Pérez-Sagasti, J.J.; Escudero, C.; Pellegrin, E.; Herrera, F.C.; Pintado, J.M. Thermocatalytic CO2 conversion over a nickel-loaded ceria nanostructured catalyst: A nap-xps study. Materials 2021, 14, 711. [Google Scholar] [CrossRef] [PubMed]
- Šupić, S.; Malešev, M.; Radonjanin, V.; Bulatović, V.; Milović, T. Reactivity and pozzolanic properties of biomass ashes generated by wheat and soybean straw combustion. Materials 2021, 14, 1004. [Google Scholar] [CrossRef] [PubMed]
- Inoue, T.; Fujishima, A.; Konishi, S.; Honda, K. Photoelectrocatalytic reduction of carbon dioxide in aquous suspensions of semiconductor powders. Nature 1979, 277, 637–638. [Google Scholar] [CrossRef]
- Shekaaria, A.; Jafaria, M. Unveiling the first post-graphene member of silicon nitrides: A novel 2D material. Comput. Mater. Sci. 2020, 180, 109693. [Google Scholar] [CrossRef]
- Jantarasorn, N.; Mekasuwandumrong, O.; Kelly, P.; Praserthdam, P. Reactive magnetron sputter deposition of copper on TiO2 support for photoreduction of CO2 to CH4. IOP Conf. Ser. Mater. Sci. Eng. 2019, 559, 012017. [Google Scholar] [CrossRef]
- Han, C.; Zhang, R.; Ye, Y.; Wang, L.; Ma, Z.; Su, F.; Xie, H.; Zhou, Y.; Wong, P.K.; Ye, L. Chainmail co-catalyst of NiO shell-encapsulated Ni for improving photocatalytic CO2 reduction over g-C3N4. J. Mater. Chem. A 2019, 7, 9726–9735. [Google Scholar] [CrossRef]
- Suzuki, T.M.; Takayama, T.; Sato, S.; Iwase, A.; Kudo, A.; Morikawa, T. Enhancement of CO2 reduction activity under visible light irradiation over Zn-based metal sulfides by combination with Ru-complex catalysts. Appl. Catal. B-Environ. 2018, 224, 572–578. [Google Scholar] [CrossRef]
- Tseng, I.H.; Kang, L.H.; Chang, P.Y.; Tsai, M.H.; Yeh, J.M.; Yang, T.I. Biomimetic polyimide-supported cuprous oxide photocatalytic film with tunable hydrophobicity, improved thermal stability, and photocatalytic activity toward CO2 reduction. ACS Omega 2019, 4, 1636–1644. [Google Scholar] [CrossRef] [Green Version]
- Li, N.; Liu, J.; Liu, J.J.; Dong, L.Z.; Xin, Z.F.; Teng, Y.L.; Lan, Y.Q. Adenine components in biomimetic metal-organic frameworks for efficient CO2 photoconversion. Angew. Chem. 2019, 131, 5191–5516. [Google Scholar]
- Ma, W.; Wang, N.; Guo, Y.; Yang, L.; Lv, M.; Tang, X.; Li, S. Enhanced photoreduction CO2 activity on g-C3N4: By synergistic effect of nitrogen defective-enriched and porous structure, and mechanism insights. Chem. Eng. J. 2020, 388, 124288. [Google Scholar] [CrossRef]
- Wang, H.; Li, H.; Chen, Z.; Li, J.; Li, X.; Huo, P.; Wang, Q. TiO2 modified g-C3N4 with enhanced photocatalytic CO2 reduction performance. Solid State Sci. 2020, 100, 106099. [Google Scholar] [CrossRef]
- Sun, Z.; Fang, W.; Zhao, L.; Wang, H. 3D porous Cu-NPs/g-C3N4 foam with excellent CO2 adsorption and schottky junction effect for photocatalytic CO2 reduction. Appl. Surf. Sci. 2020, 504, 144347. [Google Scholar] [CrossRef]
- Gupta, B.; Gupta, A.K.; Ghosal, P.S.; Tiwary, C.S. Photo-induced degradation of bio-toxic Ciprofloxacin using the porous 3D hybrid architecture of an atomically thin sulfur-doped g-C3N4/ZnO nanosheet. Environ. Res. 2020, 183, 109154. [Google Scholar] [CrossRef]
- Wang, H.; Guan, J.; Li, J.; Li, X.; Ma, C.; Huo, P.; Yan, Y. Fabricated g-C3N4/Ag/m-CeO2 composite photocatalyst for enhanced photoconversion of CO2. Appl. Surf. Sci. 2020, 506, 144931. [Google Scholar] [CrossRef]
- Zeng, W.; Bian, Y.; Cao, S.; Zhu, A.; Qiao, L.; Ma, Y.; Tan, P.; Ma, Q.; Dong, R.; Pan, J. Construction of two dimensional Sr2Ta2O7/S-doped g-C3N4 nanocomposites with Pt cocatalyst for enhanced visible light photocatalytic performance. Appl. Surf. Sci. 2019, 478, 334–340. [Google Scholar] [CrossRef]
- Caux, M.; Fina, F.; Irvine, J.T.S.; Idriss, H.; Howe, R. Impact of the annealing temperature on Pt/g-C3N4 structure, activity and selectivity between photodegradation and water splitting. Catal. Today 2017, 287, 182–188. [Google Scholar] [CrossRef] [Green Version]
- Yan, S.C.; Li, Z.S.; Zou, Z.G. Photodegradation Performance of g-C3N4 Fabricated by directly heating melamine. Langmuir 2009, 25, 10397–10401. [Google Scholar] [CrossRef] [PubMed]
- Dong, F.; Wu, L.W.; Sun, Y.J.; Fu, M.; Wu, Z.B.; Lee, S.C. Efficient synthesis of polymeric g-C3N4 layered materials as novel efficient visible light driven photocatalysts. J. Mater. Chem. 2011, 21, 15171–15174. [Google Scholar] [CrossRef]
- Gong, Y.G.; Li, M.M.; Wang, Y. Carbon nitride in energy conversion and storage: Recent advances and future prospects. ChemsusChem 2015, 8, 931–946. [Google Scholar] [CrossRef]
- Wang, Y.; Wang, X.C.; Antonietti, M. Polymeric graphitic carbon nitride as a heterogeneous organocatalyst: From photochemistry to multipurpose catalysis to sustainable chemistry. Angew. Chem. Int. Ed. 2012, 51, 68–89. [Google Scholar] [CrossRef]
- Zhang, S.; Yan, Z.; Li, Y.; Chen, Z.; Zeng, H. Atomically thin arsenene and antimonene: Semimetal-semiconductor and indirect-direct band-gap transitions. Angew. Chem. Int. Ed. 2015, 54, 3155–3158. [Google Scholar] [CrossRef]
- Kresse, G.; Hafner, J. Ab initio molecular dynamics for liquid metals. Phys. Rev. B 1993, 47, 558–561. [Google Scholar] [CrossRef]
- Kresse, G.; Furthmüller, J. Efficient iterative schemes for ab initio total-energy calculations using a plane-wave basis set. Phys. Rev. B 1996, 54, 11169–11186. [Google Scholar] [CrossRef]
- Perdew, J.P.; Burke, K.; Ernzerhof, M. Generalized gradient approximation made simple. Phys. Rev. Lett. 1996, 77, 3865–3868. [Google Scholar] [CrossRef] [Green Version]
- Kresse, G.; Hafner, J. Ab initio molecular-dynamics simulation of the liquid-metal-amorphous-semiconductor transition in germanium. Phys. Rev. B 1994, 49, 14251–14269. [Google Scholar] [CrossRef] [PubMed]
- Kresse, G.; Furthmüller, J. Efficiency of ab-initio total energy calculations for metals and semiconductors using a plane-wave basis set. Comput. Mat. Sci. 1996, 6, 15–50. [Google Scholar] [CrossRef]
- Kresse, G.; Joubert, D. From ultrasoft pseudopotentials to the projector augmented-wave method. Phys. Rev. B 1999, 59, 1758–1775. [Google Scholar] [CrossRef]
- Monkhorst, H.J.; Pack, J.D. Special points for Brillonin-zone integrations. Phys. Rev. B 1976, 13, 5188–5192. [Google Scholar] [CrossRef]
- Qu, L.H.; Yu, J.; Mu, Y.L.; Fu, X.L.; Zhong, C.G.; Min, Y.; Zhou, P.X.; Zhang, J.M.; Zou, Y.Q.; Lu, T.S. Strain tunable structural, mechanical and electronic properties of monolayer tin dioxides and dichalcogenides SnX2 (X = O, S, Se, Te). Mater. Res. Bull. 2019, 119, 110533. [Google Scholar] [CrossRef]
- Zhu, B.; Zhang, J.; Jiang, C.; Cheng, B.; Yu, J. First principle investigation of halogen-doped monolayer g-C3N4 photocatalyst. Appl. Catal. B Environ. 2017, 207, 27–34. [Google Scholar] [CrossRef]
- Cui, J.; Liang, S.; Wang, X.; Zhang, J. First principle modeling of oxygen-doped monolayer graphitic carbon nitride. Mater. Chem. Phys. 2015, 161, 194–200. [Google Scholar] [CrossRef]
- Zhu, B.; Zhang, L.; Xu, D.; Cheng, B.; Yu, J. Adsorption investigation of CO2 on g-C3N4 surface by DFT calculation. J. CO2 Util. 2017, 21, 327–335. [Google Scholar] [CrossRef]
- Silvi, B.; Savin, A. Classification of chemical-bonds based on topological analysis of electron localization functions. Nature 1994, 371, 683–686. [Google Scholar] [CrossRef]
- Ni, J.; Quintana, M.; Song, S. Adsorption of small gas molecules on transition metal (Fe, Ni and Co, Cu) doped graphene: A systematic DFT study. Physica E 2020, 116, 113768. [Google Scholar] [CrossRef]
- Maughan, A.E.; Ganose, A.M.; Bordelon, M.M.; Miller, E.M.; Scanlon, D.O.; Neilson, J.R. Defect tolerance to intolerance in the vacancy-ordered double perovskite semiconductors Cs2SnI6 and Cs2TeI6. J. Am. Chem. Soc. 2016, 138, 8453–8464. [Google Scholar] [CrossRef] [PubMed]
- Zhou, Y.; Zhang, L.; Tao, S. Mesoporous ZrO2 Nanopowder catalysts for the synthesis of 5-hydroxymethylfurfural. ACS Appl. Nano Mater. 2019, 2, 3848. [Google Scholar] [CrossRef]
- Bayan, S.; Gogurla, N.; Midya, A.; Singha, A.; Ray, S.K. Plasmon mediated enhancement and tuning of optical emission properties of two dimensional graphitic carbon nitride nanosheets. Nanotechnology 2017, 28, 485204. [Google Scholar] [CrossRef]
- Bayan, S.; Midya, A.; Gogurla, N.; Singha, A.; Ray, S.K. Origin of modified luminescence response in reduced graphitic carbon nitride nanosheets. J. Phys. Chem. C 2017, 121, 19383. [Google Scholar] [CrossRef]





Publisher’s Note: MDPI stays neutral with regard to jurisdictional claims in published maps and institutional affiliations. |
© 2021 by the authors. Licensee MDPI, Basel, Switzerland. This article is an open access article distributed under the terms and conditions of the Creative Commons Attribution (CC BY) license (https://creativecommons.org/licenses/by/4.0/).
Share and Cite
Qu, L.-H.; Zhong, C.-G.; Zhou, P.-X.; Zhang, J.-M. Mechanical, Structural and Electronic Properties of CO2 Adsorbed Graphitic Carbon Nitride (g-C3N4) under Biaxial Tensile Strain. Materials 2021, 14, 4110. https://doi.org/10.3390/ma14154110
Qu L-H, Zhong C-G, Zhou P-X, Zhang J-M. Mechanical, Structural and Electronic Properties of CO2 Adsorbed Graphitic Carbon Nitride (g-C3N4) under Biaxial Tensile Strain. Materials. 2021; 14(15):4110. https://doi.org/10.3390/ma14154110
Chicago/Turabian StyleQu, Li-Hua, Chong-Gui Zhong, Peng-Xia Zhou, and Jian-Min Zhang. 2021. "Mechanical, Structural and Electronic Properties of CO2 Adsorbed Graphitic Carbon Nitride (g-C3N4) under Biaxial Tensile Strain" Materials 14, no. 15: 4110. https://doi.org/10.3390/ma14154110
APA StyleQu, L.-H., Zhong, C.-G., Zhou, P.-X., & Zhang, J.-M. (2021). Mechanical, Structural and Electronic Properties of CO2 Adsorbed Graphitic Carbon Nitride (g-C3N4) under Biaxial Tensile Strain. Materials, 14(15), 4110. https://doi.org/10.3390/ma14154110
