Monolayer Twisted Graphene-Based Schottky Transistor
Abstract
:1. Introduction
2. Analytical Modeling
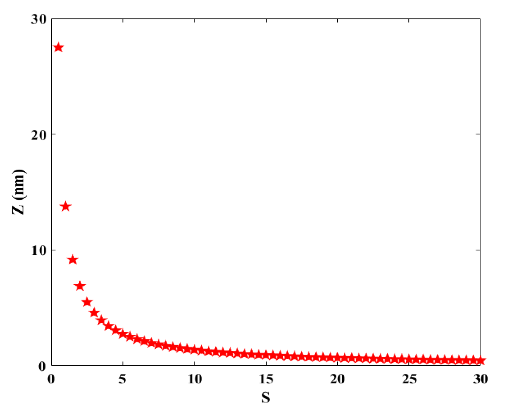
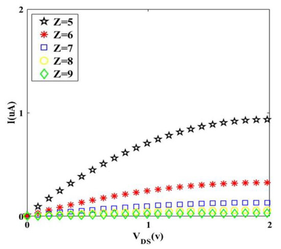
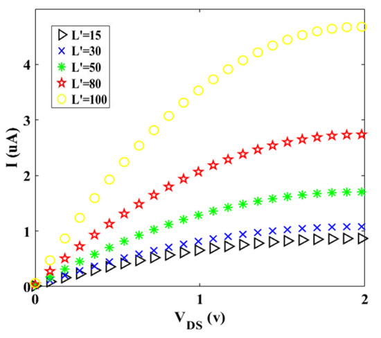
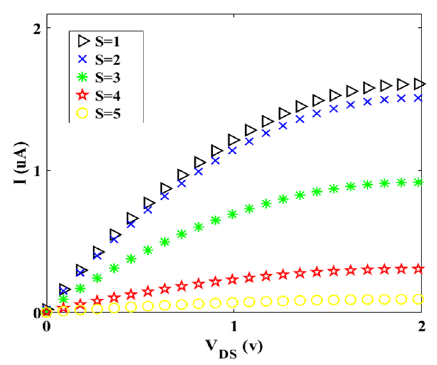
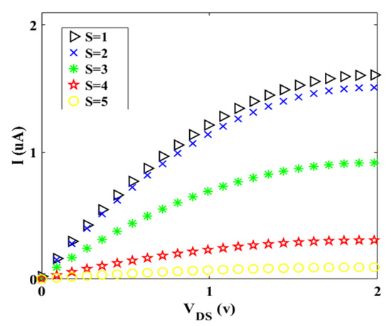
3. Results and Discussion
4. Conclusions
Author Contributions
Funding
Institutional Review Board Statement
Informed Consent Statement
Data Availability Statement
Acknowledgments
Conflicts of Interest
References
- Rallis, K.; Dimitrakis, P.; Karafyllidis, I.G.; Rubio, A.; Sirakoulis, G.C. Electronic Properties of Graphene Nanoribbons with Defects. IEEE Trans. Nanotechnol. 2021, 20, 151–160. [Google Scholar] [CrossRef]
- Koloor, S.S.R.; Rahimian-Koloor, S.; Karimzadeh, A.; Hamdi, M.; Petrů, M.; Tamin, M. Nano-level damage characterization of graphene/polymer cohesive interface under tensile separation. Polymers 2019, 11, 1435. [Google Scholar] [CrossRef] [Green Version]
- Hosseingholipourasl, A.; Hafizah Syed Ariffin, S.; Al-Otaibi, Y.D.; Akbari, E.; Hamid, F.; Koloor, S.S.R.; Petrů, M. Analytical Approach to Study Sensing Properties of Graphene Based Gas Sensor. Sensors 2020, 20, 1506. [Google Scholar] [CrossRef] [Green Version]
- Molitor, F.; Güttinger, J.; Stampfer, C.; Dröscher, S.; Jacobsen, A.; Ihn, T.; Ensslin, K. Electronic properties of graphene nanostructures. J. Phys. Condens. Matter 2011, 23, 243201. [Google Scholar] [CrossRef] [PubMed]
- Khademhosseini, V.; Dideban, D.; Ahmadi, M.; Ismail, R. Current analysis of single electron transistor based on graphene double quantum dots. ECS J. Solid State Sci. Technol. 2020, 9, 021003. [Google Scholar] [CrossRef]
- Zoghi, M.; Goharrizi, A.Y. Strain-induced armchair graphene nanoribbon resonant-tunneling diodes. IEEE Trans. Electron Devices 2017, 64, 4322–4326. [Google Scholar] [CrossRef]
- Norouzi, M.; Ahmadi, R.; Norian, E.; Ahmadi, M.T.; Ismail, R. The Geometry Variation Effect on Carbon Atom Wire for Nano-Electronic Applications. J. Nanoelectron. Optoelectron. 2019, 14, 1120–1125. [Google Scholar] [CrossRef]
- Giubileo, F.; Di Bartolomeo, A. The role of contact resistance in graphene field-effect devices. Progress Surf. Sci. 2017, 92, 143–175. [Google Scholar] [CrossRef] [Green Version]
- Akinwande, D.; Huyghebaert, C.; Wang, C.-H.; Serna, M.I.; Goossens, S.; Li, L.-J.; Wong, H.-S.P.; Koppens, F.H. Graphene and two-dimensional materials for silicon technology. Nature 2019, 573, 507–518. [Google Scholar] [CrossRef]
- Ahmadi, R.; Ahmadi, M.T.; Ismail, R. Carbon nano-particle synthesized by pulsed arc discharge method as a light emitting device. J. Electron. Mater. 2018, 47, 4003–4009. [Google Scholar] [CrossRef]
- Giubileo, F.; Martucciello, N.; Di Bartolomeo, A. Focus on graphene and related materials. Nanotechnology 2017, 28, 410201. [Google Scholar] [CrossRef] [Green Version]
- Yang, B.; Chen, J.; Liu, B.; Ding, Y.; Tang, Y.; Yan, X. One dimensional graphene nanoscroll-wrapped MnO nanoparticles for high-performance lithium ion hybrid capacitors. J. Mater. Chem. A 2021, 9, 6352–6360. [Google Scholar] [CrossRef]
- Hamzah, A.; Ismail, R. Performance prediction of Graphene Nanoscroll and Carbon Nanotube transistors. In Proceedings of the 2016 IEEE International Conference on Semiconductor Electronics (ICSE), Kuala Lumpur, Malaysia, 17 August 2016; pp. 149–152. [Google Scholar]
- He, M.; Li, Y.; Cai, J.; Liu, Y.; Watanabe, K.; Taniguchi, T.; Xu, X.; Yankowitz, M. Symmetry breaking in twisted double bilayer graphene. Nat. Phys. 2021, 17, 26–30. [Google Scholar] [CrossRef]
- Da Liao, Y.; Kang, J.; Breiø, C.N.; Xu, X.Y.; Wu, H.-Q.; Andersen, B.M.; Fernandes, R.M.; Meng, Z.Y. Correlation-induced insulating topological phases at charge neutrality in twisted bilayer graphene. Phys. Rev. X 2021, 11, 011014. [Google Scholar]
- Saraswat, V.; Jacobberger, R.M.; Arnold, M.S. Materials Science Challenges to Graphene Nanoribbon Electronics. ACS Nano 2021, 15, 3674–3708. [Google Scholar] [CrossRef] [PubMed]
- Liang, G.; Neophytou, N.; Lundstrom, M.S.; Nikonov, D.E. Contact effects in graphene nanoribbon transistors. Nano Lett. 2008, 8, 1819–1824. [Google Scholar] [CrossRef]
- Mogera, U.; Kulkarni, G.U. A new twist in graphene research: Twisted graphene. Carbon 2020, 156, 470–487. [Google Scholar] [CrossRef]
- Robinson, J.T.; Schmucker, S.W.; Diaconescu, C.B.; Long, J.P.; Culbertson, J.C.; Ohta, T.; Friedman, A.L.; Beechem, T.E. Electronic hybridization of large-area stacked graphene films. ACS Nano 2013, 7, 637–644. [Google Scholar] [CrossRef] [Green Version]
- Chen, X.D.; Xin, W.; Jiang, W.S.; Liu, Z.B.; Chen, Y.; Tian, J.G. High-Precision Twist-Controlled Bilayer and Trilayer Graphene. Adv. Mater. 2016, 28, 2563–2570. [Google Scholar] [CrossRef]
- Wang, B.; Huang, M.; Kim, N.Y.; Cunning, B.V.; Huang, Y.; Qu, D.; Chen, X.; Jin, S.; Biswal, M.; Zhang, X. Controlled folding of single crystal graphene. Nano Lett. 2017, 17, 1467–1473. [Google Scholar] [CrossRef]
- Kim, K.; Yankowitz, M.; Fallahazad, B.; Kang, S.; Movva, H.C.; Huang, S.; Larentis, S.; Corbet, C.M.; Taniguchi, T.; Watanabe, K. van der Waals heterostructures with high accuracy rotational alignment. Nano Lett. 2016, 16, 1989–1995. [Google Scholar] [CrossRef] [PubMed]
- Liu, J.-B.; Li, P.-J.; Chen, Y.-F.; Wang, Z.-G.; Qi, F.; He, J.-R.; Zheng, B.-J.; Zhou, J.-H.; Zhang, W.-L.; Gu, L. Observation of tunable electrical bandgap in large-area twisted bilayer graphene synthesized by chemical vapor deposition. Sci. Rep. 2015, 5, 1–9. [Google Scholar] [CrossRef] [PubMed] [Green Version]
- Mogera, U.; Dhanya, R.; Pujar, R.; Narayana, C.; Kulkarni, G.U. Highly decoupled graphene multilayers: Turbostraticity at its best. J. Phys. Chem. Lett. 2015, 6, 4437–4443. [Google Scholar] [CrossRef] [PubMed]
- Dass, D.; Prasher, R.; Vaid, R. Analytical study of unit cell and molecular structures of single walled carbon nanotubes. Int. J. Comput. Eng. Res. 2012, 2, 1447–1457. [Google Scholar]
- Ahmadi, M.T.; Ahmadi, R.; Nguyen, T.K. Graphene nanoscroll geometry effect on transistor performance. J. Electron. Mater. 2020, 49, 544–550. [Google Scholar] [CrossRef]
- Khaledian, M.; Ismail, R.; Saeidmanesh, M.; Ahmadi, M.; Akbari, E. Carrier statistics and quantum capacitance models of graphene nanoscroll. J. Nanomater. 2014, 2014, 1–6. [Google Scholar] [CrossRef] [Green Version]
- Levi, A.F.J. Applied Quantum Mechanics; Cambridge University Press: Cambridge, UK, 2006. [Google Scholar]
- Rahmani, M.; Ahmadi, M.T.; Abadi, H.K.F.; Saeidmanesh, M.; Akbari, E.; Ismail, R. Analytical modeling of trilayer graphene nanoribbon Schottky-barrier FET for high-speed switching applications. Nanoscale Res. Lett. 2013, 8, 1–13. [Google Scholar] [CrossRef] [Green Version]
- Ismail, R.; Ahmadi, M.T.; Anwar, S. Advanced Nanoelectronics; CRC Press: New York, NY, USA, 2018. [Google Scholar]
- Mirza, M.M.; Schupp, F.J.; Mol, J.A.; MacLaren, D.A.; Briggs, G.A.D.; Paul, D.J. One dimensional transport in silicon nanowire junction-less field effect transistors. Sci. Rep. 2017, 7, 1–8. [Google Scholar] [CrossRef] [Green Version]
- Liu, A.; Peng, Q. A molecular dynamics study of the mechanical properties of twisted bilayer graphene. Micromachines 2018, 9, 440. [Google Scholar] [CrossRef] [Green Version]
- Zheng, S.; Cao, Q.; Liu, S.; Peng, Q. Atomic structure and mechanical properties of twisted bilayer graphene. J. Composites Sci. 2019, 3, 2. [Google Scholar] [CrossRef] [Green Version]
- Kosar, N.; Ayub, K.; Mahmood, T. Surface functionalization of twisted graphene C32H15 and C104H52 derivatives with alkalis and superalkalis for NLO response; a DFT study. J. Mol. Graph. Model. 2021, 102, 107794. [Google Scholar] [CrossRef] [PubMed]












Publisher’s Note: MDPI stays neutral with regard to jurisdictional claims in published maps and institutional affiliations. |
© 2021 by the authors. Licensee MDPI, Basel, Switzerland. This article is an open access article distributed under the terms and conditions of the Creative Commons Attribution (CC BY) license (https://creativecommons.org/licenses/by/4.0/).
Share and Cite
Ahmadi, R.; Ahmadi, M.T.; Rahimian Koloor, S.S.; Petrů, M. Monolayer Twisted Graphene-Based Schottky Transistor. Materials 2021, 14, 4109. https://doi.org/10.3390/ma14154109
Ahmadi R, Ahmadi MT, Rahimian Koloor SS, Petrů M. Monolayer Twisted Graphene-Based Schottky Transistor. Materials. 2021; 14(15):4109. https://doi.org/10.3390/ma14154109
Chicago/Turabian StyleAhmadi, Ramin, Mohammad Taghi Ahmadi, Seyed Saeid Rahimian Koloor, and Michal Petrů. 2021. "Monolayer Twisted Graphene-Based Schottky Transistor" Materials 14, no. 15: 4109. https://doi.org/10.3390/ma14154109
APA StyleAhmadi, R., Ahmadi, M. T., Rahimian Koloor, S. S., & Petrů, M. (2021). Monolayer Twisted Graphene-Based Schottky Transistor. Materials, 14(15), 4109. https://doi.org/10.3390/ma14154109

