Oxidation State and Local Structure of Chromium Ions in LaOCl
Abstract
:1. Introduction
2. Experimental Details
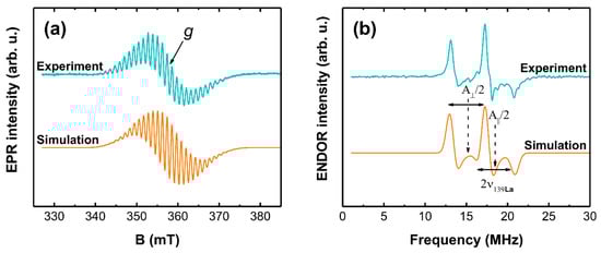
3. Results and Discussion
4. Conclusions
Author Contributions
Funding
Institutional Review Board Statement
Informed Consent Statement
Data Availability Statement
Conflicts of Interest
References
- Kim, D.H.; Yoon, J.Y.; Park, H.C.; Kim, K.H. CO2-sensing characteristics of SnO2 thick film by coating lanthanum oxide. Sens. Actuators B Chem. 2000, 62, 61–66. [Google Scholar] [CrossRef]
- Marsal, A.; Dezanneau, G.; Cornet, A.; Morante, J.R. A new CO2 gas sensing material. Sens. Actuators B Chem. 2003, 95, 266–270. [Google Scholar] [CrossRef]
- Marsal, A.; Centeno, M.A.; Odriozola, J.A.; Cornet, A.; Morante, J.R. DRIFTS analysis of the CO2 detection mechanisms using LaOCl sensing material. Sens. Actuators B Chem. 2005, 484–489. [Google Scholar] [CrossRef]
- Hwang, D.K.; Kim, S.; Lee, J.H.; Hwang, I.S.; Kim, I.D. Phase evolution of perovskite LaNiO3 nanofibers for supercapacitor application and p-type gas sensing properties of LaOCl-NiO composite nanofibers. J. Mater. Chem. 2001, 21, 1959–1965. [Google Scholar] [CrossRef]
- Li, X.; Qian, Q.; Zheng, W.; Wei, W.; Liu, X.; Xiao, L.; Chen, Q.; Chen, Y.; Wang, F. Preparation and Characteristics of LaOCl Nanotubes by Coaxial Electrospinning. Mater. Lett. 2012, 80, 43–45. [Google Scholar] [CrossRef]
- Trung, D.D.; Toan, L.D.; Hong, H.S.; Lam, T.D.; Trung, T.; van Hieu, N. Selective detection of carbon dioxide using LaOCl-functionalized SnO2 nanowires for air-quality monitoring. Talanta 2012, 88, 152–159. [Google Scholar] [CrossRef]
- van Hieu, N.; Khoang, N.D.; Trung, D.D.; Toan, L.D.; van Duy, N.; Hoa, N.D. Comparative study on CO2 and CO sensing performance of LaOCl-coated ZnO nanowires. J. Hazard. Mater. 2013, 244–245, 209–216. [Google Scholar] [CrossRef] [PubMed]
- Xiong, Y.; Xue, Q.; Ling, C.; Lu, W.; Ding, D.; Zhu, L.; Li, X. Effective CO2 detection based on LaOCl-doped SnO2 nanofibers: Insight into the role of oxygen in carrier gas. Sens. Actuators B Chem. 2017, 241, 725–734. [Google Scholar] [CrossRef]
- Kijima, N.; Matano, K.; Saito, M.; Oikawa, T.; Konishi, T.; Yasuda, H.; Sato, T.; Yoshimura, Y. Oxidative catalytic cracking of n-butane to lower alkenes over layered BiOCl catalyst. Appl. Catal. A Gen. 2001, 206, 237–244. [Google Scholar] [CrossRef]
- Manoilova, O.V.; Podkolzin, S.G.; Tope, B.; Lercher, J.; Stangland, E.E.; Goupil, J.M.; Weckhuysen, B.M. Surface acidity and basicity of La2O3, LaOCl, and LaCl3 characterized by IR spectroscopy, TPD, and DFT calculations. J. Phys. Chem. B 2004, 108, 15770–15781. [Google Scholar] [CrossRef]
- Podkolzin, S.G.; Stangland, E.E.; Jones, M.E.; Peringer, E.; Lercher, J.A. Methyl chloride production from methane over lanthanum-based catalysts. J. Am. Chem. Soc. 2007, 129, 2569–2576. [Google Scholar] [CrossRef] [PubMed]
- Imanaka, N.; Okamoto, K.; Adachi, G.Y. Water-insoluble lanthanum oxychloride-based solid electrolytes with ultra-high chloride ion conductivity. Angew. Chem. Int. Ed. 2002, 41, 3890–3892. [Google Scholar] [CrossRef]
- Nunotani, N.; Misran, M.R.I.B.; Inada, M.; Uchiyama, T.; Uchimoto, Y.; Imanaka, N. Structural environment of chloride ion-conducting solids based on lanthanum oxychloride. J. Am. Ceram. Soc. 2020, 103, 297–303. [Google Scholar] [CrossRef] [Green Version]
- Udayakantha, M.; Schofield, P.; Waetzig, G.R.; Banerjee, S. A full palette: Crystal chemistry, polymorphism, synthetic strategies, and functional applications of lanthanide oxyhalides. J. Solid State Chem. 2019, 270, 569–592. [Google Scholar] [CrossRef]
- Hölsä, J.; Porcher, P. Crystal field analysis of REOCI:Tb3+. J. Chem. Phys. 1982, 76, 2798–2803. [Google Scholar] [CrossRef]
- Yuanbin, C.; Shensin, L.; Wufu, S.; Lizhong, W.; Guangtian, Z. Crystal field analysis for emission spectra of LaOCl:Eu3+ under high pressure. Phys. B+C 1986, 139–140, 555–558. [Google Scholar] [CrossRef]
- Reid, M.F. Superposition-model analysis of intensity parameters for Eu3+ luminescence. J. Chem. Phys. 1987, 87, 6388–6392. [Google Scholar] [CrossRef]
- Malta, O.L.; Ribeiro, S.J.L.; Faucher, M.; Porcher, P. Theoretical intensities of 4f-4f transitions between stark levels of the Eu3+ ion in crystals. J. Phys. Chem. Solids 1991, 52, 587–593. [Google Scholar] [CrossRef]
- Bungenstock, C.; Tröster, T.; Holzapfel, W.B.; Bini, R.; Ulivi, L.; Cavalieri, S. Study of the energy level scheme of Pr3+:LaOCl under pressure. J. Phys. Condens. Matter 1998, 10, 9329–9342. [Google Scholar] [CrossRef]
- Rambabu, U.; Annapurna, K.; Balaji, T.; Buddhudu, S. Fluorescence spectra of Er3+: REOCl (RE = La, Gd, Y) powder phosphors. Mater. Lett. 1995, 23, 143–146. [Google Scholar] [CrossRef]
- Rambabu, U.; Balaji, T.; Annapurna, K.; Buddhudu, S. Fluorescence spectra of Tm3+-doped rare earth oxychloride powder phosphors. Mater. Chem. Phys. 1996, 43, 195–198. [Google Scholar] [CrossRef]
- Konishi, T.; Shimizu, M.; Kameyama, Y.; Soga, K. Fabrication of upconversion emissive LaOCl phosphors doped with rare-earth ions for bioimaging probes. J. Mater. Sci. Mater. Electron. 2007, 18, 183–186. [Google Scholar] [CrossRef]
- Lee, S.S.; Joh, C.H.; Byeon, S.H. Highly enhanced blue-emission of LnOCl:Tm prepared by dehydration of Ln(OH)2Cl:Tm (Ln = La and Gd). Mater. Sci. Eng. B Solid-State Mater. Adv. Technol. 2008, 151, 163–168. [Google Scholar] [CrossRef]
- Li, G.; Li, C.; Zhang, C.; Cheng, Z.; Quan, Z.; Peng, C.; Lin, J. Tm3+ and/or Dy3+ doped LaOCl nanocrystalline phosphors for field emission displays. J. Mater. Chem. 2009, 19, 8936–8943. [Google Scholar] [CrossRef]
- Li, G.; Li, C.; Hou, Z.; Peng, C.; Cheng, Z.; Lin, J. Nanocrystalline LaOCl:Tb3+/Sm3+ as promising phosphors for full-color field-emission displays. Opt. Lett. 2009, 34, 3833. [Google Scholar] [CrossRef] [PubMed]
- Li, G.; Hou, Z.; Peng, C.; Wang, W.; Cheng, Z.; Li, C.; Lian, H.; Lin, J. Electrospinning derived one-dimensional LaOCl: Ln3+ (Ln = Eu/Sm, Tb, Tm) nanofibers, nanotubes and microbelts with multicolor-tunable emission properties. Adv. Funct. Mater. 2010, 20, 3446–3456. [Google Scholar] [CrossRef]
- Lee, S.S.; Park, H.I.; Joh, C.H.; Byeon, S.H. Morphology-dependent photoluminescence property of red-emitting LnOCl:Eu (Ln = La and Gd). J. Solid State Chem. 2007, 180, 3529–3534. [Google Scholar] [CrossRef]
- Du, Y.P.; Zhang, Y.W.; Sun, L.D.; Yan, C.H. Atomically efficient synthesis of self-assembled monodisperse and ultrathin lanthanide oxychloride nanoplates. J. Am. Chem. Soc. 2009, 131, 3162–3163. [Google Scholar] [CrossRef]
- Kim, S.W.; Jyoko, K.; Masui, T.; Imanaka, N. A new type of red-emitting (La,Ca)OCl:Eu3+ phosphors. Chem. Lett. 2010, 39, 604–606. [Google Scholar] [CrossRef]
- Kong, Q.; Wang, J.; Dong, X.; Yu, W.; Liu, G. Synthesis and luminescence properties of LaOCl:Eu3+ nanostructures via the combination of electrospinning with chlorination technique. J. Mater. Sci. Mater. Electron. 2013, 24, 4745–4756. [Google Scholar] [CrossRef]
- Lv, L.; Wang, T.; Li, S.; Su, Y.; Wang, X. Tuning the optical, electronic and luminescence properties of LaOCl:Eu3+ via structural and lattice strain modulation. Cryst. Eng. Comm. 2016, 18, 907–916. [Google Scholar] [CrossRef]
- Xu, Y.; Li, Z.; Liu, X.; Luo, Y.; Qian, Q.; Huang, B.; Xiao, L.; Chen, Q. Electrospun LaOCl:Eu3+, Ce4+ nanofibers with color-tunable fluorescence between red and orange. J. Mater. Sci. Mater. Electron. 2017, 28, 8596–8600. [Google Scholar] [CrossRef]
- Waetzig, G.R.; Horrocks, G.A.; Jude, J.W.; Villalpando, G.V.; Zuin, L.; Banerjee, S. Ligand-Mediated Control of Dopant Oxidation State and X-ray Excited Optical Luminescence in Eu-Doped LaOCl. Inorg. Chem. 2018, 57, 5842–5849. [Google Scholar] [CrossRef] [PubMed]
- Kim, D.; Jang, J.; Ahn, S.I.; Kim, S.H.; Park, J.C. Novel blue-emitting Eu2+-activated LaOCl:Eu materials. J. Mater. Chem. C 2014, 2, 2799–2805. [Google Scholar] [CrossRef]
- Kim, D.; Park, S.; Kim, S.; Kang, S.G.; Park, J.C. Blue-emitting Eu2+-activated LaOX (X = Cl, Br, and I) materials: Crystal field effect. Inorg. Chem. 2014, 53, 11966–11973. [Google Scholar] [CrossRef]
- Kong, Q.; Wang, J.; Dong, X.; Yu, W.; Liu, G. Synthesis and luminescence properties of Yb3+-Er3+ co-doped LaOCl nanostructures. J. Mater. Sci. 2014, 49, 2919–2931. [Google Scholar] [CrossRef]
- Park, S.; Cho, S.H. Spectral-converting study of La1-m-nErmYbnOCl (m = 0.001–0.2, n = 0–0.1) phosphors. J. Lumin. 2014, 153, 90–95. [Google Scholar] [CrossRef]
- Yu, W.; Kong, Q.; Wang, J.; Dong, X.; Liu, G. Fabrication of Er3+-doped LaOCl nanostructures with upconversion and near-infrared luminescence performances. J. Mater. Sci. Mater. Electron. 2014, 25, 46–56. [Google Scholar] [CrossRef]
- Yu, H.; Yu, A.; Li, Y.; Song, Y.; Wu, Y.; Sheng, C.; Chen, B. Energy transfer processes in electrospun LaOCl:Ce/Tb nanofibers. J. Alloys Compd. 2016, 683, 256–262. [Google Scholar] [CrossRef]
- Bai, H.; Song, Y.; Li, D.; Ma, Q.; Dong, X.; Yu, W.; Yang, Y.; Wang, J.; Liu, G.; Wang, T. Realizing white light emitting in single phased LaOCl based on energy transfer from Tm3+ to Eu3+. Ceram. Int. 2018, 44, 6754–6761. [Google Scholar] [CrossRef]
- Waetzig, G.R.; Horrocks, G.A.; Davidson, R.D.; Jude, J.W.; Villalpando, G.V.; Zuin, L.; Banerjee, S. In a Different Light: Deciphering Optical and X-ray Sensitization Mechanisms in an Expanded Palette of LaOCl Phosphors. J. Phys. Chem. C 2018, 122, 16412–16423. [Google Scholar] [CrossRef]
- Guan, M.; Mei, L.; Huang, Z.; Yang, C.; Guo, Q.; Xia, Z. Synthesis and near-infrared luminescence properties of LaOCl:Nd3+/Yb3+. Infrared Phys. Technol. 2013, 60, 98–102. [Google Scholar] [CrossRef]
- Kong, Q.; Wang, J.; Dong, X.; Yu, W.; Liu, G. Synthesis and luminescence properties of LaOCl:Nd3+ nanostructures via combination of electrospinning with chlorination technique. Mater. Express 2014, 4, 13–22. [Google Scholar] [CrossRef]
- Brixner, L.H.; Moore, E.P. Single-crystal refinement of the structure of LaOCl. Acta Crystallogr. Sect. C 1983, 39, 1316. [Google Scholar] [CrossRef]
- Maslen, E.N.; Streltsov, V.A.; Streltsova, N.R.; Ishizawa, N. Synchrotron X-ray Electron Density in the Layered LaOCI Structure. Acta Crystallogr. Sect. B Struct. Sci. 1996, 52, 576–579. [Google Scholar] [CrossRef]
- Swindells, F.E. Lanthanum Oxychloride Phosphors. J. Electrochem. Soc. 1954, 101, 415. [Google Scholar] [CrossRef]
- van Steensel, L.I.; Blasse, G. The luminescence of Sb3+ in LaOCl. J. Alloys Compd. 1996, 232, 60–62. [Google Scholar] [CrossRef]
- Wolfert, A.; Blasse, G. Luminescence of the Bi3+ ion in compounds LnOCl (Ln = La, Y, Gd). Mater. Res. Bull. 1984, 19, 67–75. [Google Scholar] [CrossRef]
- Momma, K.; Izumi, F. VESTA 3 for three-dimensional visualization of crystal, volumetric and morphology data. J. Appl. Crystallogr. 2011, 44, 1272–1276. [Google Scholar] [CrossRef]
- Doebelin, N.; Kleeberg, R. Profex: A graphical user interface for the Rietveld refinement program BGMN. J. Appl. Crystallogr. 2015, 48, 1573–1580. [Google Scholar] [CrossRef] [Green Version]
- Welter, E.; Chernikov, R.; Herrmann, M.; Nemausat, R. A beamline for bulk sample x-ray absorption spectroscopy at the high brilliance storage ring PETRA III. AIP Conf. Proc. 2019. [Google Scholar] [CrossRef]
- Joly, Y. X-ray absorption near-edge structure calculations beyond the muffin-tin approximation. Phys. Rev. B—Condens. Matter Mater. Phys. 2001, 63, 125120. [Google Scholar] [CrossRef]
- Bunau, O.; Joly, Y. Self-consistent aspects of x-ray absorption calculations. J. Phys. Condens. Matter 2009, 21, 345510. [Google Scholar] [CrossRef] [PubMed]
- Keski-Rahkonen, O.; Krause, M.O. Total and partial atomic-level widths. At. Data Nucl. Data Tables 1974, 14, 139–146. [Google Scholar] [CrossRef]
- Stoll, S.; Schweiger, A. EasySpin, a comprehensive software package for spectral simulation and analysis in EPR. J. Magn. Reson. 2006, 178, 42–55. [Google Scholar] [CrossRef]
- Shannon, R.D. Revised effective ionic radii and systematic studies of interatomic distances in halides and chalcogenides. Acta Crystallogr. Sect. A 1976, 32, 751–767. [Google Scholar] [CrossRef]
- Nakamura, T.; Ling, Y.; Amezawa, K. The effect of interstitial oxygen formation on the crystal lattice deformation in layered perovskite oxides for electrochemical devices. J. Mater. Chem. A 2015, 3, 10471–10479. [Google Scholar] [CrossRef]
- Sherby, O.D.; Wadsworth, J.; Lesuer, D.R.; Syn, C.K. Revisiting the structure of martensite in iron-carbon steels. Mater. Trans. 2008, 49, 2016–2027. [Google Scholar] [CrossRef] [Green Version]
- Hasegawa, T.; Niibori, T.; Takemasa, Y.; Oikawa, M. Stabilisation of tetragonal FeCo structure with high magnetic anisotropy by the addition of V and N elements. Sci. Rep. 2019, 9, 1–9. [Google Scholar] [CrossRef] [PubMed]
- Al’tshulter, S.A.; Kozyrev, B.M. Electron Paramagnetic Resonance in Compounds of Transition Elements; Wiley: Hoboken, NJ, USA, 1974. [Google Scholar]
- Low, W.; Rubins, R.S. Electron spin resonance in the cubic crystalline field of calcium oxide. Phys. Lett. 1962, 1, 316–318. [Google Scholar] [CrossRef]
- Woonton, G.A.; Dyer, G.L. On the hyperfine structure of trivalent chromium in a cubic environment. Can. J. Phys. 1967, 45, 2265–2279. [Google Scholar] [CrossRef]
- O’Donnell, K.P.; Henderson, B.; O’Connell, D.; Henry, M.O. Axial Cr3+ centres in MgO: EPR and fluorescence studies. J. Phys. C Solid State Phys. 1977, 10, 3877–3884. [Google Scholar] [CrossRef]
- Zverev, G.M.; Prokhorov, A.M. Fine structure and hyperfine structure of paramagnetic resonance of Cr+++ in synthetic ruby. Sov. Phys. JETP 1958, 7, 354. [Google Scholar]
- Glynn, T.J.; Kelleher, L.; Imbusch, G.F.; Larkin, D.M.; Merritt, F.R.; Berggren, M.J. EPR study of LiGa5O8: Cr3+. J. Chem. Phys. 1971, 55, 2925–2930. [Google Scholar] [CrossRef]
- Patel, J.L.; Davies, J.J.; Cavenett, B.C.; Takeuchi, H.; Horai, K. Electron spin resonance of axially symmetric Cr3+ centres in KMgF3 and KZnF3. J. Phys. C Solid State Phys. 1976, 9, 129–138. [Google Scholar] [CrossRef]
- Takeuchi, H.; Arakawa, M.; Aoki, H.; Yosida, T.; Horai, K. EPR and 19F-ENDOR of Cr3+ Impurity Centres in K2ZnF4 and K2MgF4. J. Phys. Soc. Japan 1982, 51, 3166–3172. [Google Scholar] [CrossRef]
- Takeuchi, H.; Arakawa, M. EPR Study of Cr3+-Li+ Centres in Several Perovskite Fluorides. J. Phys. Soc. Jpn 1984, 53, 376–380. [Google Scholar] [CrossRef]
- Grunin, V.S.; Patrina, I.B.; Zonn, Z.N. Temperature Dependence of the EPR Spectra of Cr3+ and Cr5+ Ions in CaV2O6 and BaV2O6 Crystals. Phys. Status Solidi 1980, 98, 765–771. [Google Scholar] [CrossRef]
- Greenblatt, M.; Pifer, J.H.; McGarvey, B.R.; Wanklyn, B.M. Electron spin resonance of Cr5+ in YPO4 and YVO4. J. Chem. Phys. 1981, 74, 6014–6017. [Google Scholar] [CrossRef]
- Aboukaïs, A.; Zhilinskaya, E.A.; Filimonov, I.N.; Nesterenko, N.S.; Timoshin, S.E.; Ivanova, I.I. EPR investigation, before and after adsorption of naphtalene, of mordenite containing Fe3+ and Cr5+ ions as impurities. Catal. Lett. 2006, 111, 97–102. [Google Scholar] [CrossRef]
- Böttcher, R.; Pöppl, A.; Hoentsch, J.; Rakhmatullin, R.M. The Jahn-Teller effect in Cr5+-doped PbTiO3: A multi-frequency electron paramagnetic resonance study. J. Phys. Condens. Matter 2010, 22, 65902. [Google Scholar] [CrossRef]
- Telser, J. Electron-Nuclear Double Resonance (ENDOR) Spectroscopy. Encycl. Inorg. Chem. 2008. [Google Scholar] [CrossRef]
- Bennati, M. EPR interactions-hyperfne couplings. Emagres 2017, 271–282. [Google Scholar] [CrossRef]
- Biesinger, M.C.; Brown, C.; Mycroft, J.R.; Davidson, R.D.; McIntyre, N.S. X-ray photoelectron spectroscopy studies of chromium compounds. Surf. Interface Anal. 2004, 36, 1550–1563. [Google Scholar] [CrossRef]
- Si, P.Z.; Wang, H.X.; Jiang, W.; Lee, J.G.; Choi, C.J.; Liu, J.J. Synthesis, structure and exchange bias in Cr2O3/CrO2/Cr2O5 particles. Thin Solid Film. 2011, 519, 8423–8425. [Google Scholar] [CrossRef]
- Weckhuysen, B.M.; Wachs, I.E.; Schoonheydt, R.A. Surface chemistry and spectroscopy of chromium in inorganic oxides. Chem. Rev. 1996, 96, 3327–3350. [Google Scholar] [CrossRef] [PubMed] [Green Version]
- Brand, E.; Kellett, D.; Enever, M.D.; Fellows, J.T.; Egdell, R.G. Magnetic properties of thin CrO2 layers supported on polycrystalline TiO2. J. Mater. Chem. 2005, 15, 1141–1147. [Google Scholar] [CrossRef]
- Heinig, N.F.; Jalili, H.; Leung, K.T. Fabrication of epitaxial CrO2 nanostructures directly on MgO(100) by pulsed laser deposition. Appl. Phys. Lett. 2007, 91, 253102. [Google Scholar] [CrossRef] [Green Version]
- Harrison, P.G.; Lloyd, N.C.; Daniell, W. The nature of the chromium species formed during the thermal activation of chromium-promoted tin(iv) oxide catalysts: An epr and xps study. J. Phys. Chem. B 1998, 52, 10672–10679. [Google Scholar] [CrossRef]
- Pantelouris, A.; Modrow, H.; Pantelouris, M.; Hormes, J.; Reinen, D. The influence of coordination geometry and valency on the K-edge absorption near edge spectra of selected chromium compounds. Chem. Phys. 2004, 300, 13–22. [Google Scholar] [CrossRef]
- Farges, F. Chromium speciation in oxide-type compounds: Application to minerals, gems, aqueous solutions and silicate glasses. Phys. Chem. Miner. 2009, 36, 463–481. [Google Scholar] [CrossRef]
- Hector, A.L.; Levason, W.; Light, M.E.; Reid, G.; Sardar, K.; Zhang, W. Chromium(V) oxide trichloride, and some pentachlorido-oxido-chromate(V) salts: Structures and spectroscopic characterization. Z. Anorg. Allg. Chem. 2013, 639, 906–910. [Google Scholar] [CrossRef]
- Misra, S.K. Multifrequency Electron Paramagnetic Resonance: Theory and Applications; Wiley: Hoboken, NJ, USA, 2011; p. 1022. [Google Scholar] [CrossRef]
- Telser, J. EPR interactions-zero-field splittings. Emagres 2017, 6, 207–234. [Google Scholar] [CrossRef]









| Binding Energy, eV | Compound | Reference |
|---|---|---|
| 576.7–577.2 | Cr2O3 | [75] |
| 577.1 | Cr2O3 | [76] |
| 577.0 | Cr2O3 | [77] |
| 577.0 | CrO2 | [78] |
| 576.6 | CrO2 | [79] |
| 579.3 | Cr2O5 | [76] |
| 579.0 | Cr2O5 | [77] |
| 579.3 | CrO3 | [78] |
| 580.3 | CrO3 | [80] |
| 580.0 | CrO3 | [77] |
| 578.5 | Annealed at 400 °C | Current work |
| 576.9 | Annealed at 800 °C | Current work |
| Cr3+ Center | g | D, MHz | HStrain, MHz |
|---|---|---|---|
| I | 1.973 ± 0.001 | 12063 ± 200 | 253 ± 25 |
| II | 1.977 ± 0.001 | 6865 ± 100 | 115 ± 15 |
Publisher’s Note: MDPI stays neutral with regard to jurisdictional claims in published maps and institutional affiliations. |
© 2021 by the authors. Licensee MDPI, Basel, Switzerland. This article is an open access article distributed under the terms and conditions of the Creative Commons Attribution (CC BY) license (https://creativecommons.org/licenses/by/4.0/).
Share and Cite
Antuzevics, A.; Krieke, G.; Ozols, H.; Fedotovs, A.; Sarakovskis, A.; Kuzmin, A. Oxidation State and Local Structure of Chromium Ions in LaOCl. Materials 2021, 14, 3539. https://doi.org/10.3390/ma14133539
Antuzevics A, Krieke G, Ozols H, Fedotovs A, Sarakovskis A, Kuzmin A. Oxidation State and Local Structure of Chromium Ions in LaOCl. Materials. 2021; 14(13):3539. https://doi.org/10.3390/ma14133539
Chicago/Turabian StyleAntuzevics, Andris, Guna Krieke, Haralds Ozols, Andris Fedotovs, Anatolijs Sarakovskis, and Alexei Kuzmin. 2021. "Oxidation State and Local Structure of Chromium Ions in LaOCl" Materials 14, no. 13: 3539. https://doi.org/10.3390/ma14133539
APA StyleAntuzevics, A., Krieke, G., Ozols, H., Fedotovs, A., Sarakovskis, A., & Kuzmin, A. (2021). Oxidation State and Local Structure of Chromium Ions in LaOCl. Materials, 14(13), 3539. https://doi.org/10.3390/ma14133539

