Effect of Mo and Ta on the Mechanical and Superelastic Properties of Ti-Nb Alloys Prepared by Mechanical Alloying and Spark Plasma Sintering
Abstract
1. Introduction
2. Materials and Methods
2.1. Materials Fabrication
2.2. Materials Characterization
3. Results and Discussion
3.1. Powders Characterization
3.2. Phase Composition and Microstructure
3.3. Mechanical Properties
3.4. Microstructure Changes during the Deformation
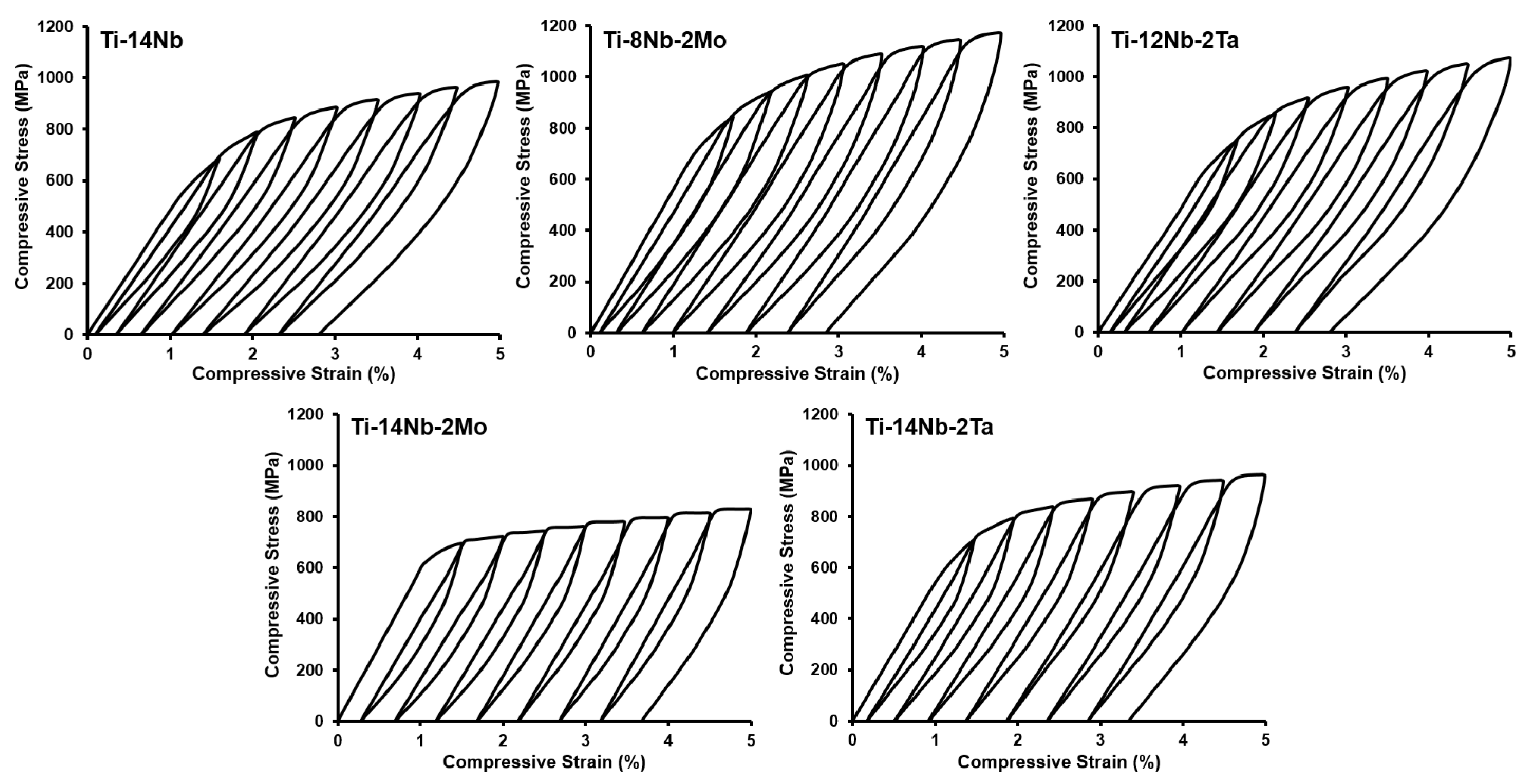
3.5. Superelastic Properties
4. Conclusions
- The ternary alloying elements did not have a pronounced effect on the microstructure of the base Ti-14Nb alloy. It consists of the equiaxed β-phase grains, with the average size of about 30 µm, and precipitations of TiC formed during the sintering and annealing as a result of introduction of the WC-phase to the powders during the mechanical alloying.
- The impact of the substitution of Nb by Mo and Ta on the mechanical properties of the base Ti-14Nb alloy was slight, due a strong solid solution strengthening effect induced by the elevated amount of interstitial elements (oxygen and carbon). The fabricated materials exhibited high yield strength of about 800 MPa resulted from the occurrence of stress-induced martensitic transformation deformation mechanism.
- The addition of 2 at.% of Mo and Ta to base Ti-14Nb alloy resulted in a decrease of yield strength and increase of the plasticity of materials. This was associated with the increase of the β-phase stability and occurrence of {332} <113> twinning mechanism during the deformation of those materials. The effect of Mo addition on the β-phase stability was more pronounced because only the twinning was observed during the deformation of Ti-14Nb-2Mo, whereas in the case of Ti-14Nb-2Ta the twinning was observed together with the stress-induced martensitic transformation mechanism.
- The substitution of Nb by slight amounts of Mo or Ta did not exhibit a potential in enhancing the superelastic properties of the mechanically alloyed and sintered binary Ti-Nb alloys, due to a non-conventional superelastic behavior observed from them. Due to a negligible effect of those elements on the critical stress for plastic deformation in comparison to the interstitial atoms, their effect may be associated only with the slight changes in the martensitic transformation strain.
Author Contributions
Funding
Institutional Review Board Statement
Informed Consent Statement
Data Availability Statement
Conflicts of Interest
References
- Zhang, L.C.; Chen, L.Y. A Review on Biomedical Titanium Alloys: Recent Progress and Prospect. Adv. Eng. Mater. 2019, 21, 1–29. [Google Scholar] [CrossRef]
- Chen, Q.; Thouas, G.A. Metallic implant biomaterials. Mater. Sci. Eng. R Rep. 2015, 87, 1–57. [Google Scholar] [CrossRef]
- Kim, H.Y.; Miyazaki, S. Martensitic transformation and superelastic properties of Ti-Nb base alloys. Mater. Trans. 2015, 56, 625–634. [Google Scholar] [CrossRef]
- Kolli, R.P.; Devaraj, A. A review of metastable beta titanium alloys. Metals 2018, 8, 506. [Google Scholar] [CrossRef]
- Kim, H.Y.; Ikehara, Y.; Kim, J.I.; Hosoda, H.; Miyazaki, S. Martensitic transformation, shape memory effect and superelasticity of Ti-Nb binary alloys. Acta Mater. 2006, 54, 2419–2429. [Google Scholar] [CrossRef]
- Zhang, J.; Sun, F.; Hao, Y.; Gozdecki, N.; Lebrun, E.; Vermaut, P.; Portier, R.; Gloriant, T.; Laheurte, P.; Prima, F. Influence of equiatomic Zr/Nb substitution on superelastic behavior of Ti-Nb-Zr alloy. Mater. Sci. Eng. A 2013, 563, 78–85. [Google Scholar] [CrossRef]
- Kim, H.Y.; Satoru, H.; Kim, J.I.; Hosoda, H.; Miyazaki, S. Mechanical properties and shape memory behavior of Ti-Nb alloys. Mater. Trans. 2004, 45, 2443–2448. [Google Scholar] [CrossRef]
- Al-Zain, Y.; Kim, H.Y.; Hosoda, H.; Nam, T.H.; Miyazaki, S. Shape memory properties of Ti-Nb-Mo biomedical alloys. Acta Mater. 2010, 58, 4212–4223. [Google Scholar] [CrossRef]
- Kim, H.Y.; Oshika, N.; Kim, J.I.; Inamura, T.; Hosoda, H.; Miyazaki, S. Martensitic transformation and superelasticity of Ti-Nb-Pt alloys. Mater. Trans. 2007, 48, 400–406. [Google Scholar] [CrossRef]
- Kim, J.I.; Kim, H.Y.; Inamura, T.; Hosoda, H.; Miyazaki, S. Shape memory characteristics of Ti-22Nb-(2-8)Zr(at.%) biomedical alloys. Mater. Sci. Eng. A 2005, 403, 334–339. [Google Scholar] [CrossRef]
- Yoneyama, T.; Miyazaki, S. Shape Memory Alloys for Biomedical Applications; Woodhead Publishing Limited: Cambridge, UK, 2008; ISBN 9781845693442. [Google Scholar]
- Biesiekierski, A.; Wang, J.; Abdel-Hady Gepreel, M.; Wen, C. A new look at biomedical Ti-based shape memory alloys. Acta Biomater. 2012, 8, 1661–1669. [Google Scholar] [CrossRef] [PubMed]
- Zhang, D.C.; Mao, Y.F.; Li, Y.L.; Li, J.J.; Yuan, M.; Lin, J.G. Effect of ternary alloying elements on microstructure and superelastictity of Ti-Nb alloys. Mater. Sci. Eng. A 2013, 559, 706–710. [Google Scholar] [CrossRef]
- Kim, H.Y.; Hashimoto, S.; Kim, J.I.; Inamura, T.; Hosoda, H.; Miyazaki, S. Effect of Ta addition on shape memory behavior of Ti-22Nb alloy. Mater. Sci. Eng. A 2006, 417, 120–128. [Google Scholar] [CrossRef]
- Terayama, A.; Fuyama, N.; Yamashita, Y.; Ishizaki, I.; Kyogoku, H. Fabrication of Ti-Nb alloys by powder metallurgy process and their shape memory characteristics. J. Alloys Compd. 2013, 577, S408–S412. [Google Scholar] [CrossRef]
- Lai, M.; Gao, Y.; Yuan, B.; Zhu, M. Remarkable superelasticity of sintered Ti-Nb alloys by Ms adjustment via oxygen regulation. Mater. Des. 2015, 87, 466–472. [Google Scholar] [CrossRef]
- Yuan, B.; Yang, B.; Gao, Y.; Lai, M.; Chen, X.H.; Zhu, M. Achieving ultra-high superelasticity and cyclic stability of biomedical Ti-11Nb-4O (at.%) alloys by controlling Nb and oxygen content. Mater. Des. 2016, 92, 978–982. [Google Scholar] [CrossRef]
- Kalita, D.; Rogal, Ł.; Czeppe, T.; Wójcik, A.; Kolano-Burian, A.; Zackiewicz, P.; Kania, B.; Dutkiewicz, J. Microstructure and Mechanical Properties of Ti-Nb Alloys Prepared by Mechanical Alloying and Spark Plasma Sintering. J. Mater. Eng. Perform. 2019. [Google Scholar] [CrossRef]
- Dos Santos, D.R.; Rodrigues Henriques, V.A.; Alves Cairo, C.A.; Dos Santos Pereira, M. Production of a low young modulus titanium alloy by powder metallurgy. Mater. Res. 2005, 8, 439–442. [Google Scholar] [CrossRef]
- Sakaguchi, N.; Niinomi, M.; Akahori, T.; Takeda, J.; Toda, H. Effect of Ta content on mechanical properties of Ti-30Nb-XTa-5Zr. Mater. Sci. Eng. C 2005, 25, 370–376. [Google Scholar] [CrossRef]
- Zou, L.M.; Yang, C.; Long, Y.; Xiao, Z.Y.; Li, Y.Y. Fabrication of biomedical Ti-35Nb-7Zr-5Ta alloys by mechanical alloying and spark plasma sintering. Powder Metall. 2012, 55, 65–70. [Google Scholar] [CrossRef]
- Lai, M.J.; Tasan, C.C.; Zhang, J.; Grabowski, B.; Huang, L.F.; Raabe, D. Origin of shear induced β to ω transition in Ti-Nb-based alloys. Acta Mater. 2015, 92, 55–63. [Google Scholar] [CrossRef]
- Banerjee, S.; Tewari, R.; Dey, G.K. Omega phase transformation—Morphologies and mechanisms. Int. J. Mater. Res. 2006, 97, 963–977. [Google Scholar] [CrossRef]
- Liu, Y.; Chen, L.F.; Tang, H.P.; Liu, C.T.; Liu, B.; Huang, B.Y. Design of powder metallurgy titanium alloys and composites. Mater. Sci. Eng. A 2006, 418, 25–35. [Google Scholar] [CrossRef]
- Li, S.; Kondoh, K.; Imai, H.; Chen, B.; Jia, L.; Umeda, J. Microstructure and mechanical properties of P/M titanium matrix composites reinforced by in-situ synthesized TiC-TiB. Mater. Sci. Eng. A 2015, 628, 75–83. [Google Scholar] [CrossRef]
- Zhao, D.; Chang, K.; Ebel, T.; Qian, M.; Willumeit, R.; Yan, M.; Pyczak, F. Titanium carbide precipitation in Ti-22Nb alloy fabricated by metal injection moulding. Powder Metall. 2014, 57, 2–4. [Google Scholar] [CrossRef]
- Fukui, Y.; Inamura, T.; Hosoda, H.; Wakashima, K.; Miyazaki, S. Mechanical properties of a Ti-Nb-Al shape memory alloy. Mater. Trans. 2004, 45, 1077–1082. [Google Scholar] [CrossRef]
- Chang, L.L.; Wang, Y.D.; Ren, Y. In-situ investigation of stress-induced martensitic transformation in Ti-Nb binary alloys with low Young’s modulus. Mater. Sci. Eng. A 2016, 651, 442–448. [Google Scholar] [CrossRef]
- Kim, J.I.; Kim, H.Y.; Hosoda, H.; Miyazaki, S. Shape memory behavior of Ti-22Nb-0.5-2.0O(at.%) biomedical alloys. Mater. Trans. 2005, 46, 852–857. [Google Scholar] [CrossRef]
- Ouchi, C.; Iizumi, H.; Mitao, S. Effects of ultra-high purification and addition of interstitial elements on properties of pure titanium and titanium alloy. Mater. Sci. Eng. A 1998, 243, 186–195. [Google Scholar] [CrossRef]
- Zhang, X.; Song, F.; Wei, Z.; Yang, W.; Dai, Z. Microstructural and mechanical characterization of in-situ TiC/Ti titanium matrix composites fabricated by graphene/Ti sintering reaction. Mater. Sci. Eng. A 2017, 705, 153–159. [Google Scholar] [CrossRef]
- Lai, M.; Gao, Y.; Yuan, B.; Zhu, M. Indirect determination of martensitic transformation temperature of sintered nickel-free Ti-22Nb-6Zr alloy by low temperature compression test. Mater. Des. 2014, 60, 193–197. [Google Scholar] [CrossRef]
- Wen, M.; Wen, C.; Hodgson, P.; Li, Y. Fabrication of Ti-Nb-Ag alloy via powder metallurgy for biomedical applications. Mater. Des. 2014, 56, 629–634. [Google Scholar] [CrossRef]
- Kalita, D.; Rogal, Ł.; Bobrowski, P.; Durejko, T.; Czujko, T.; Antolak-Dudka, A.; Cesari, E.; Dutkiewicz, J. Superelastic Behavior of Ti-Nb Alloys Obtained by the Laser Engineered Net Shaping (LENS) Technique. Materials 2020, 13, 2827. [Google Scholar] [CrossRef] [PubMed]
- Sun, F.; Zhang, J.Y.; Marteleur, M.; Gloriant, T.; Vermaut, P.; Laillé, D.; Castany, P.; Curfs, C.; Jacques, P.J.; Prima, F. Investigation of early stage deformation mechanisms in a metastable β titanium alloy showing combined twinning-induced plasticity and transformation-induced plasticity effects. Acta Mater. 2013, 61, 6406–6417. [Google Scholar] [CrossRef]
- Kolli, R.P.; Joost, W.J.; Ankem, S. Phase Stability and Stress-Induced Transformations in Beta Titanium Alloys. JOM 2015, 67, 1273–1280. [Google Scholar] [CrossRef]
- Shin, S.; Zhu, C.; Vecchio, K.S. Observations on {332}<113> twinning-induced softening in Ti-Nb Gum metal. Mater. Sci. Eng. A 2018, 724, 189–198. [Google Scholar] [CrossRef]
- Abdel-Hady, M.; Hinoshita, K.; Morinaga, M. General approach to phase stability and elastic properties of β-type Ti-alloys using electronic parameters. Scr. Mater. 2006, 55, 477–480. [Google Scholar] [CrossRef]
- Castany, P.; Yang, Y.; Bertrand, E.; Gloriant, T. Reversion of a Parent {130}<310> α′′ Martensitic Twinning System at the Origin of {332}<113>β Twins Observed in Metastable β Titanium Alloys. Phys. Rev. Lett. 2016, 117, 1–6. [Google Scholar] [CrossRef]
- Tahara, M.; Kim, H.Y.; Hosoda, H.; Miyazaki, S. Cyclic deformation behavior of a Ti-26 at.% Nb alloy. Acta Mater. 2009, 57, 2461–2469. [Google Scholar] [CrossRef]
- Lilensten, L.; Danard, Y.; Poulain, R.; Guillou, R.; Joubert, J.M.; Perrière, L.; Vermaut, P.; Thiaudière, D.; Prima, F. From single phase to dual-phase TRIP-TWIP titanium alloys: Design approach and properties. Materialia 2020, 12, 100700. [Google Scholar] [CrossRef]
- Zhao, G.H.; Xu, X.; Dye, D.; Rivera-Díaz-del-Castillo, P.E.J. Microstructural evolution and strain-hardening in TWIP Ti alloys. Acta Mater. 2020, 183, 155–164. [Google Scholar] [CrossRef]
- Salloom, R.; Reith, D.; Banerjee, R.; Srinivasan, S.G. First principles calculations on the effect of interstitial oxygen on phase stability andmartensitic transformation in Ti–Nb alloys. J. Mater. Sci. 2018, 53, 11473–11487. [Google Scholar] [CrossRef]
- Bertrand, E.; Castany, P.; Péron, I.; Gloriant, T. Twinning system selection in a metastable β-titanium alloy by Schmid factor analysis. Scr. Mater. 2011, 64, 1110–1113. [Google Scholar] [CrossRef]
- Lai, M.J.; Tasan, C.C.; Raabe, D. On the mechanism of {332} twinning in metastable β titanium alloys. Acta Mater. 2016, 111, 173–186. [Google Scholar] [CrossRef]
- Li, C.X.; Luo, H.B.; Hu, Q.M.; Yang, R.; Yin, F.X.; Umezawa, O.; Vitos, L. Lattice parameters and relative stability of α″ phase in binary titanium alloys from first-principles calculations. Solid State Commun. 2013, 159, 70–75. [Google Scholar] [CrossRef]
- Christian, J.W.; Mahajan, S. Deformation Twinning. Prog. Mater. Sci. 1995, 39, 1–157. [Google Scholar] [CrossRef]
- Min, X.; Chen, X.; Emura, S.; Tsuchiya, K. Mechanism of twinning-induced plasticity in β-type Ti-15Mo alloy. Scr. Mater. 2013, 69, 393–396. [Google Scholar] [CrossRef]
- Yamauchi, K.; Ohkata, I.; Tsuchiya, K.; Miyazaki, S. Shape Memory and Superelastic Alloys: Technologies and Applications; Woodhead Publishing Limited: Cambridge, UK, 2011; ISBN 9781845697075. [Google Scholar]
- Besse, M.; Castany, P.; Gloriant, T. Mechanisms of deformation in gum metal TNTZ-O and TNTZ titanium alloys: A comparative study on the oxygen influence. Acta Mater. 2011, 59, 5982–5988. [Google Scholar] [CrossRef]
- Castany, P.; Ramarolahy, A.; Prima, F.; Laheurte, P.; Curfs, C.; Gloriant, T. In situ synchrotron X-ray diffraction study of the martensitic transformation in superelastic Ti-24Nb-0.5N and Ti-24Nb-0.5O alloys. Acta Mater. 2015, 88, 102–111. [Google Scholar] [CrossRef]









| Alloy (at.%) | Ti-14Nb | Ti-8Nb-2Mo | Ti-12Nb-2Ta | Ti-14Nb-2Mo | Ti-14Nb-2Ta |
|---|---|---|---|---|---|
| Yield Strength (MPa) | 790 ± 58 | 806 ± 36 | 792 ± 11 | 682 ± 15 | 766 ± 32 |
| Compressive Strength (MPa) | 1429 ± 81 | 1505 ± 85 | 1332 ± 49 | 1312 ± 80 | 1440 ± 88 |
| Max. Compressive Strain (%) | 20 ± 2 | 22 ± 1 | 17 ± 1 | 29 ± 2 | 25 ± 4 |
| Alloy (at.%) | Ti-14Nb | Ti-8Nb-2Mo | Ti-12Nb-2Ta | Ti-14Nb-2Mo | Ti-14Nb-2Ta |
|---|---|---|---|---|---|
| Recoverable strain (%) | 2.1 ± 0.1 | 2.2 ± 0.1 | 2.2 ± 0.1 | 1.4 ± 0.1 | 1.7 ± 0.1 |
Publisher’s Note: MDPI stays neutral with regard to jurisdictional claims in published maps and institutional affiliations. |
© 2021 by the authors. Licensee MDPI, Basel, Switzerland. This article is an open access article distributed under the terms and conditions of the Creative Commons Attribution (CC BY) license (https://creativecommons.org/licenses/by/4.0/).
Share and Cite
Kalita, D.; Rogal, Ł.; Berent, K.; Góral, A.; Dutkiewicz, J. Effect of Mo and Ta on the Mechanical and Superelastic Properties of Ti-Nb Alloys Prepared by Mechanical Alloying and Spark Plasma Sintering. Materials 2021, 14, 2619. https://doi.org/10.3390/ma14102619
Kalita D, Rogal Ł, Berent K, Góral A, Dutkiewicz J. Effect of Mo and Ta on the Mechanical and Superelastic Properties of Ti-Nb Alloys Prepared by Mechanical Alloying and Spark Plasma Sintering. Materials. 2021; 14(10):2619. https://doi.org/10.3390/ma14102619
Chicago/Turabian StyleKalita, Damian, Łukasz Rogal, Katarzyna Berent, Anna Góral, and Jan Dutkiewicz. 2021. "Effect of Mo and Ta on the Mechanical and Superelastic Properties of Ti-Nb Alloys Prepared by Mechanical Alloying and Spark Plasma Sintering" Materials 14, no. 10: 2619. https://doi.org/10.3390/ma14102619
APA StyleKalita, D., Rogal, Ł., Berent, K., Góral, A., & Dutkiewicz, J. (2021). Effect of Mo and Ta on the Mechanical and Superelastic Properties of Ti-Nb Alloys Prepared by Mechanical Alloying and Spark Plasma Sintering. Materials, 14(10), 2619. https://doi.org/10.3390/ma14102619

