Characteristics of Cr-B Coatings Produced on Vanadis® 6 Tool Steel Using Laser Processing
Abstract
1. Introduction
2. Materials and Methods
3. Results and Discussion
3.1. Microstructure and Chemical Composition
3.2. Microhardness Profiles
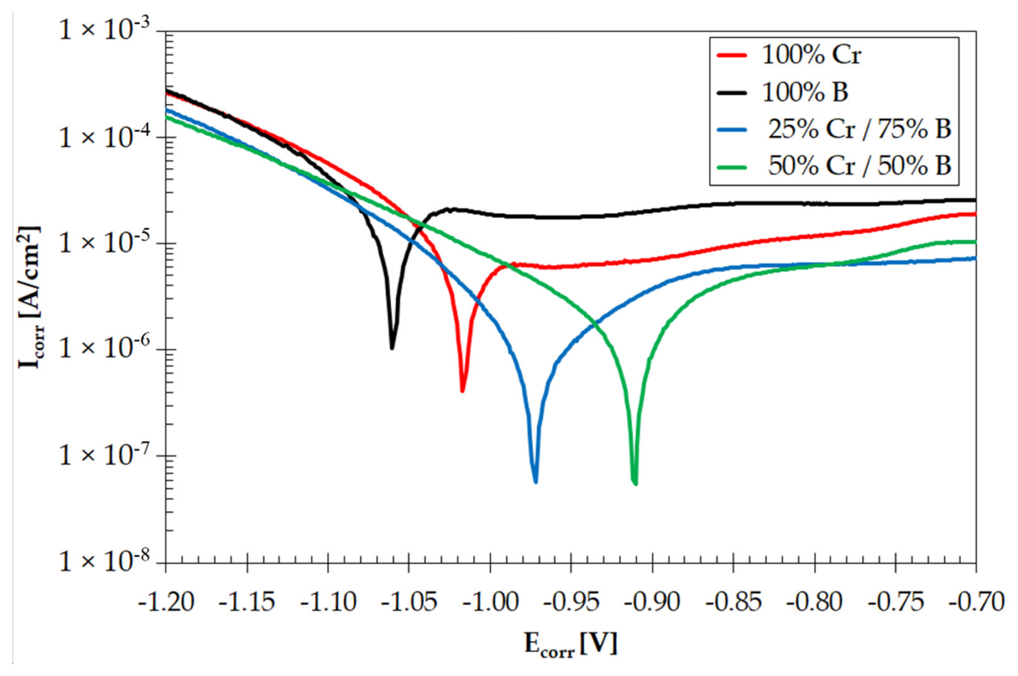
3.3. Corrosion Resistance
4. Conclusions
- 1.
- It was found that laser processing of a precoat containing boron and chromium results in a greater remelting zone than laser processing of a precoat consisting of boron or chromium separately. Proper selection of laser beam parameters is very important. The coatings obtained with the laser beam power of 750 and 950 W were characterized by a uniform microstructure devoid of porosity and cracks, but too low laser beam power makes it impossible to mix the boron and chromium components evenly.
- 2.
- The microstructure of laser alloyed chromium consists of a solid solution of chromium in iron. The microstructure of laser alloyed boron coating consists of boron–martensite eutectics, but their share depends on the laser beam power used. The use of the Cr-B mixture contributes to the formation of boron–chromium eutectic, the amount of which depends on the laser parameters used.
- 3.
- The addition of chromium to the boron precoat increases corrosion resistance, and the increase in chromium content improves this property.
Funding
Institutional Review Board Statement
Informed Consent Statement
Data Availability Statement
Conflicts of Interest
References
- Steen, W.M.; Mazumder, J. Laser Material Processing, 4th ed.; Springer: London, UK, 2010. [Google Scholar] [CrossRef]
- Bartkowska, A.; Bartkowski, D.; Jurči, P. Laser cladding process of Fe/WC metal matrix composite coatings on low carbon steel using Yb: YAG disk laser. Opt. Laser Technol. 2021, 136, 106784. [Google Scholar] [CrossRef]
- Hajkowski, J.; Popielarski, P.; Ignaszak, Z. Cellular automaton finite element method applied for microstructure prediction of aluminium casting treated by laser beam. Arch. Foundry Eng. 2019, 19, 111–118. Available online: http://journals.pan.pl/Content/113135/PDF/AFE+3_2019_19.pdf?handler=pdf (accessed on 20 March 2021).
- Wojciechowski, S.; Przestacki, D.; Chwalczuk, T. The evaluation of surface integrity during machining of Inconel 718 with various laser assistance strategies. MATEC Web. Conf. 2017, 136, 01006. [Google Scholar] [CrossRef]
- Przestacki, D.; Kukliński, M.; Bartkowska, A. Influence of laser heat treatment on microstructure and properties of surface layer of Waspaloy aimed for laser assisted machining. Int. J. Adv. Manuf. Tech. 2017, 93, 3111–3123. [Google Scholar] [CrossRef]
- Lawrence, J.R.; Waugh, D. Laser Surface Engineering: Processes and Applications. In Woodhead Publishing Series in Metals and Surface Engineering Book 65, 1st ed.; Kindle Edition: Amsterdam, The Netherlands, 2014. [Google Scholar]
- Burakowski, T.; Wierzchon, T. Surface Engineering of Metals. Principles, Equipment, Technologies; CRC Press, Taylor & Francis Group: Boca Raton, FL, USA, 2020; ISBN 9780367400125. [Google Scholar]
- Siddiqui, A.A.; Dubey, A.K. Recent trends in laser cladding and surface alloying. Opt. Laser Technol. 2020, 134, 106619. [Google Scholar] [CrossRef]
- Major, B. Laser processing for surface modification by remelting and alloying of metallic systems. In Materials Surface Processing by Directed Energy Techniques; Paleau, Y., Ed.; Elsevier: New York, NY, USA, 2006. [Google Scholar]
- Balandin, Y.A. Surface hardening of die steels by diffusion boronizing, borocopperizing, and borochromizing in fluidized bed. Metal Sci. Heat Treat. 2005, 47, 103–106. [Google Scholar] [CrossRef]
- Kolesnikov, Y.V.; Anan’evskii, V.A.; Govorov, I.V. Formation of Coatings Resistant to Contact Impact Loading by Various Borochromizing methods. Mater. Sci. 1989, 25, 91–94. [Google Scholar] [CrossRef]
- Erdoğan, A. Investigation of high temperature dry sliding behavior of borided H13 hot work tool steel with nanoboron powder. Surf. Coat. Technol. 2019, 357, 886–895. [Google Scholar] [CrossRef]
- Krukovich, M.G.; Prusakov, B.A.; Sizov, I.G. Plasticity of Boronized Layers; Springer Series in Materials Science; Spinger: Berlin, Germany, 2016; p. 237. ISBN 978-3-319-40012-9. [Google Scholar]
- Dénes, E.; Tóth, A.L.; Fábián, E.R. Qualitative and quantitative analysis of boron content precipitates by FEG-SEM and EDS method. Mater. Sci. Forum. 2010, 659, 295–300. [Google Scholar] [CrossRef]
- Bartkowska, A.; Bartkowski, D.; Piasecki, A. Effect of diffusion borochromizing on microstructure, microhardness and corrosion resistance of tool steel with different carbon content. J. Arch. Mater. Manuf. Eng. 2017, 80, 49–55. [Google Scholar] [CrossRef]
- Kulka, M. Current Trends in Boriding; Springer Series in Materials Science; Springer: Berlin, Germany, 2019; ISBN 978-3-030-06782-3. [Google Scholar]
- Bartkowska, A.; Jurči, P.; Hudáková, M.; Bartkowski, D.; Kusý, M.; Przestacki, D. Effect of diode laser beam fluence on change in microstructure, microhardness and phase composition of FeB-Fe2B layers produced on Vanadis-6 steel. Arch. Metall. Mater. 2018, 63, 791–800. [Google Scholar]
- Bartkowska, A.; Swadźba, R.; Popławski, M.; Bartkowski, D. Microstructure, microhardness, phase analysis and chemical composition of laser remelted FeB-Fe2B surface layers produced on Vanadis-6 steel. Opt. Laser. Technol. 2016, 86, 115–125. [Google Scholar] [CrossRef]
- Katsamas, A.L.; Haidemenopoulos, G.N. Laser-beam carburizing of low-alloy steels. Surf. Coat. Technol. 2001, 139, 183–191. [Google Scholar] [CrossRef]
- Safonov, A.N. Special features of boronizing iron and steel using a continuous-wave CO2 laser. Met. Sci. Heat Treat. 1998, 40, 6–10. [Google Scholar] [CrossRef]
- Morimoto, J.; Ozaki, T.; Kubohori, T.; Morimoto, S.; Abe, N.; Tsukamoto, M. Some properties of boronized layers on steels with direct diode laser. Vacuum 2009, 83, 185–189. [Google Scholar] [CrossRef]
- Sashank, S.; Dinesh, P.; Marimuthu, B.P. Experimental studies of laser borided low alloy steel and optimization of parameters using response surface methodology. Surf. Coat. Technol. 2019, 363, 255–264. [Google Scholar] [CrossRef]
- Kusiński, J.; Woldan, A. Laser surface alloying of carbon steels with tantalum, silicon and chromium. Nano and Microstructural Design of Advanced Materials. In A Commemorative Volume on Professor G. Thomas’ Seventieth Birthday; Elsievier Science: Amsterdam, The Netherlands, 2003; pp. 35–48. [Google Scholar] [CrossRef]
- Bartkowska, A.; Bartkowski, D.; Piasecki, A.; Jurči, P. Influence of laser cladding parameters on microstructure, microhardness, chemical composition, wear and corrosion resistance of Fe-B composite coatings reinforced with B4C and Si particles. Coatings 2020, 10, 809. [Google Scholar] [CrossRef]
- Bartkowska, A.; Bartkowski, D.; Popławski, M.; Przestacki, D. Microstructure, microhardness, corrosion and wear resistance of B, Si and B-Si coatings produced on C45 steel using laser processing. Metals 2020, 10, 792. [Google Scholar] [CrossRef]
- Bartkowska, A.; Bartkowski, D.; Popławski, M.; Piasecki, A.; Przestacki, D.; Miklaszewski, A. Microstructure, Microhardness, Corrosion Resistance and Chemical Composition of Mo, B and Mo-B Coatings Produced Using Laser Processing. Materials 2020, 13, 3249. [Google Scholar] [CrossRef]
- Major, B. Laser modification of steel by introducing carbides and borides. 3rd Polish National Conference. Surface Treatment. Conf. Mater. 1996, 263–269. [Google Scholar]
- Kim, T.H.; Kim, B.C. Chromium carbide laser-beam surface-alloying treatment on stainless steel. J. Mater. Sci. 1992, 27, 2967–2973. [Google Scholar] [CrossRef]
- Joo, Y.-A.; Yoon, T.-S.; Park, S.-H.; Lee, K.-A. Microstructure and compression properties of Fe-Cr-B alloy manufactured using laser metal deposition. Arch. Metall. Mater. 2018, 63, 1459–1462. [Google Scholar] [CrossRef]
- Arendar, L.A.; Vasyliv, K.B.; Shyrokov, V.V. Influence of load on the deformation of the surface layers of steels with a boron–chromium coating. Mater. Sci. 2012, 47, 807–812. [Google Scholar] [CrossRef]
- Idriss, A.N.M.; Mridha, S.; Baker, T.N. Laser and GTAW torch processing of Fe–Cr–B coatings on steel. Part II—Microstructure and hardness. Mater. Sci. Technol. 2015, 31, 355–360. [Google Scholar] [CrossRef]
- Postnikov, V.S.; Tomsinskii, V.S.; Polyakov, A.S. Structure Formation in the Surface Layer of Steel in Laser Borochromizing. Met. Sci. Heat Treat. 1991, 32, 576–579. [Google Scholar] [CrossRef]
- Liam Reddy, L.; Shipway, P.; Davis, C.; Hussain, T. HVOF and Laser-Cladded Fe–Cr–B Coating in Simulated Biomass Combustion: Microstructure and Fireside Corrosion. Oxid. Met. 2017, 87, 825–835. [Google Scholar] [CrossRef]
- Hlawka, F.; Cornet, A. Laser Surface Alloying with a CO2 Laser: Surface Hardening of AlSl 4135 H Chromium-Molybdenum Steel. Adv. Eng. Mater. 2003, 5, 641–647. [Google Scholar] [CrossRef]
- Manna, I.; Dutta Majumdar, J.; Ramesh Chandra, B.; Nayak, S.; Dahotre, N.B. Laser surface cladding of Fe–B–C, Fe–B–Si and Fe–BC–Si–Al–C on plain carbon steel. Surf. Coat. Technol. 2006, 201, 434–440. [Google Scholar] [CrossRef]
- Prince, M.; Arjun, S.L.; Surya Raj, G.; Gopalakrishnan, P. Experimental Investigation on the Effects of Multicomponent Laser Boriding on steels. Mater. Today Proc. 2018, 5, 25276–25284. [Google Scholar] [CrossRef]
- Yang, C.; Liu, F.; Yang, G.; Zhou, Y. Structure evolution upon non-equilibrium solidification of bulk undercooled Fe-B system. J. Cryst. Growth 2009, 311, 404–412. [Google Scholar] [CrossRef]
- Lentz, J.; Röttger, A.; Theisen, W. Mechanism of the Fe3(B,C) and Fe23(C,B)6 solid-state transformation in the hypoeutectic region of the Fe-C-B system. Acta Mater. 2016, 119, 80–91. [Google Scholar] [CrossRef]
- Xiao, B.; Feng, J.; Zhou, C.T.; Xing, J.D.; Xie, X.J.; Cheng, Y.H.; Zhou, R. The elasticity, bond hardness and thermodynamic properties of X2B (X = Cr, Mn, Fe, Co, Ni, Mo, W) investigated by DFT theory. Phys. B Condens. Matter 2010, 405, 1274–1278. [Google Scholar] [CrossRef]
- Liao, P.K.; Spear, K.E. The B−Cr (Boron-Chromium) system. Bull. Alloy Phase Diagr. 1986, 7, 232–237. [Google Scholar] [CrossRef]
- Raghavan, V. C-Cr-Fe (Carbon-Chromium-Iron). J. Phase Equilibri 1994, 15, 418–419. [Google Scholar] [CrossRef]
- Homolová, V.; Čiripová, L. Experimental Investigation of Isothermal Section of the B-Cr-Fe Phase Diagram at 1353 K. Adv. Mater. Sci. Eng. 2017, 2703986. [Google Scholar] [CrossRef]
- Rogl, P. Cr-B-C (Chromium-Boron-Carbon). In Phase Diagrams of Ternary Metal-Boron-Carbon Systems; Effenberg, G., Ed.; ASM International: Cleveland, OH, USA, 1998; pp. 36–52. [Google Scholar]
- Gorbunov, E.; Bodurjan, F.M. Phase equilibria in ternary Cr-B-Fe system. Metal. Tverd. Splavov 1976, 16, 172–178. [Google Scholar]














| C | Si | Mn | Cr | Mo | V | Fe |
|---|---|---|---|---|---|---|
| 2.1 | 0.9 | 0.4 | 6.7 | 1.5 | 5.4 | Balance |
| Precoat Composition | Cr 100% | B 100% | Cr and B Mixture 50%/50% | Cr and B Mixture 25%/75% |
|---|---|---|---|---|
| Chemical element (g) | 2.0 | 1.0 | 1.0/1.0 | 1.0/3.0 |
| Sodium water glass (mL) | 0.5 | 0.5 | 0.5 | 1.0 |
| Distilled water (mL) | 1.0 | 1.5 | 1.5 | 3.0 |
| Laser Beam Power (W) | Scanning Speed (mm/s) | Exposure Time (s) | Fluence (J/mm2) | Overlapping (%) |
|---|---|---|---|---|
| 550 | 50 | 0.02 | 14 | 60 |
| 750 | 19 | |||
| 950 | 24 |
| P (W) | Type of Coating | |||
|---|---|---|---|---|
| 100% Cr | 100% B | 25%Cr/75%B | 50%Cr/50%B | |
| Depth of MZ along the Laser Track Axis (µm) | ||||
| 550 | 235 | 85 | 230 | 247 |
| 750 | 470 | 324 | 390 | 405 |
| 950 | 617 | 453 | 470 | 512 |
| Sign | No. | Fe | Cr | B | V | C |
|---|---|---|---|---|---|---|
| 100%Cr 550 W | 1 | 55.4 | 17.9 | - | 13.9 | 12.9 |
| 2 | 58.5 | 15.6 | - | 13.5 | 12.4 | |
| 3 | 58.5 | 15.4 | - | 13.2 | 12.9 | |
| 4 | 63.8 | 12.9 | - | 11.3 | 12.0 | |
| 5 | 83.5 | 8.9 | - | 2.5 | 5.2 | |
| 100%Cr 750 W | 1 | 66.2 | 11.7 | - | 12.3 | 9.8 |
| 2 | 73.1 | 8.6 | - | 8.8 | 9.4 | |
| 3 | 71.4 | 11.0 | - | 9.5 | 8.1 | |
| 4 | 66.5 | 11.3 | - | 10.4 | 11.7 | |
| 5 | 73.0 | 9.5 | - | 8.8 | 8.8 | |
| 100%Cr 950 W | 1 | 74.3 | 9.0 | - | 8.5 | 8.1 |
| 2 | 71.9 | 9.9 | - | 9.4 | 8.8 | |
| 3 | 72.8 | 9.9 | - | 8.7 | 8.6 | |
| 4 | 74.5 | 9.4 | - | 7.9 | 8.2 | |
| 5 | 77.2 | 8.6 | - | 8.1 | 6.1 | |
| 100%B 550 W | 1 | 73.2 | 6.5 | 9.3 | 4.2 | 6.7 |
| 2 | 75.8 | 6.0 | 9.0 | 4.7 | 4.5 | |
| 3 | 73.9 | 7.4 | 7.1 | 6.3 | 5.2 | |
| 4 | 71.9 | 8.8 | 6.4 | 7.3 | 5.6 | |
| 100%B 750 W | 1 | 75.2 | 7.9 | 3.2 | 7.9 | 5.9 |
| 2 | 71.6 | 8.0 | 3.6 | 6.8 | 9.9 | |
| 3 | 72.1 | 8.4 | 4.2 | 6.7 | 8.5 | |
| 4 | 74.0 | 7.7 | 3.8 | 6.7 | 7.8 | |
| 100%B 950 W | 1 | 73.8 | 8.5 | 3.2 | 8.2 | 6.2 |
| 2 | 73.3 | 8.4 | 2.5 | 8.7 | 7.2 | |
| 3 | 69.5 | 9.1 | 2.3 | 10.7 | 8.5 | |
| 4 | 73.5 | 8.3 | 2.1 | 8.7 | 7.4 | |
| 25%Cr/75%B 550 W | 1 | 73.9 | 9.5 | 6.4 | 5.3 | 4.9 |
| 2 | 76.1 | 8.9 | 7.6 | 4.0 | 3.4 | |
| 3 | 77.3 | 8.8 | 5.9 | 4.1 | 3.9 | |
| 4 | 73.0 | 10.1 | 3.8 | 6.4 | 6.7 | |
| 25%Cr/75%B 750 W | 1 | 70.6 | 9.6 | 4.3 | 7.4 | 8.1 |
| 2 | 73.7 | 9.3 | 3.5 | 6.6 | 6.9 | |
| 3 | 73.7 | 8.6 | 3.6 | 6.9 | 7.2 | |
| 4 | 75.8 | 8.6 | 3.6 | 5.0 | 6.9 | |
| 25%Cr/75%B 950 W | 1 | 72.3 | 9.3 | 3.6 | 8.2 | 6.6 |
| 2 | 66.2 | 9.5 | 2.7 | 11.4 | 10.2 | |
| 3 | 71.9 | 8.6 | 3.0 | 8.8 | 7.7 | |
| 4 | 71.1 | 9.5 | 3.5 | 8.6 | 7.3 | |
| 50%Cr/50%B 550 W | 1 | 69.2 | 10.8 | 4.2 | 9.2 | 6.6 |
| 2 | 69.4 | 11.2 | 3.9 | 8.5 | 7.0 | |
| 3 | 72.1 | 10.1 | 4.1 | 7.2 | 6.5 | |
| 4 | 69.3 | 10.8 | 4.1 | 8.3 | 7.5 | |
| 50%Cr/50%B 750 W | 1 | 69.6 | 11.0 | 2.7 | 9.3 | 7.4 |
| 2 | 71.6 | 10.1 | 3.1 | 8.5 | 6.6 | |
| 3 | 72.6 | 10.1 | 3.5 | 6.7 | 7.0 | |
| 4 | 71.3 | 10.4 | 3.5 | 8.1 | 6.7 | |
| 50%Cr/50%B 950 W | 1 | 68.8 | 10.3 | 2.7 | 10.4 | 7.7 |
| 2 | 72.7 | 10.0 | 2.9 | 8.2 | 6.2 | |
| 3 | 69.9 | 9.0 | 2.2 | 10.2 | 8.7 | |
| 4 | 71.8 | 8.4 | 1.7 | 9.2 | 9.0 |
| Sign | No. | Fe | Cr | B | V | C | O | Al |
|---|---|---|---|---|---|---|---|---|
| 100%Cr 550 W | 1 | 69.7 | 11.0 | - | 8.2 | 11.0 | - | - |
| 2 | 68.1 | 12.6 | - | 9.3 | 10.0 | - | - | |
| 3 | 49.3 | 20.6 | - | 14.0 | 16.1 | - | - | |
| 4 | 50.7 | 18.5 | - | 17.0 | 13.8 | - | - | |
| 100%Cr 750 W | 1 | 68.1 | 12.1 | - | 8.5 | 11.3 | - | - |
| 2 | 67.1 | 14.3 | - | 8.2 | 10.3 | - | - | |
| 3 | 77.4 | 8.0 | - | 5.1 | 9.5 | - | - | |
| 4 | 77.9 | 8.1 | - | 4.8 | 9.1 | - | - | |
| 100%Cr 950 W | 1 | 78.2 | 4.1 | - | 7.9 | 9.8 | - | - |
| 2 | 77.5 | 4.7 | - | 8.2 | 9.6 | - | - | |
| 3 | 72.2 | 11.3 | - | 6.2 | 10.3 | - | - | |
| 4 | 73.9 | 9.5 | - | 6.8 | 9.8 | - | - | |
| 100%B 550 W | 1 | 75.9 | 7.6 | 8.9 | 3.7 | 3.8 | - | - |
| 2 | 75.4 | 7.4 | 8.7 | 4.3 | 4.2 | - | - | |
| 3 | 73.1 | 7.8 | 5.8 | 5.4 | 8.0 | - | - | |
| 4 | 75.1 | 7.7 | 4.4 | 4.0 | 8.8 | - | - | |
| 100%B 750 W | 1 | 73.7 | 8.2 | 4.5 | 7.2 | 6.5 | - | - |
| 2 | 73.9 | 8.3 | 4.4 | 6.9 | 6.5 | - | - | |
| 3 | 76.6 | 7.0 | 2.9 | 8.0 | 5.5 | - | - | |
| 4 | 78.5 | 7.7 | 2.5 | 6.5 | 4.9 | - | - | |
| 100%B 950 W | 1 | 72.9 | 8.8 | 3.8 | 7.7 | 6.9 | - | - |
| 2 | 72.9 | 9.4 | 3.3 | 7.3 | 7.1 | - | - | |
| 3 | 76.7 | 6.5 | 1.7 | 9.2 | 5.8 | - | - | |
| 4 | 78.3 | 6.2 | 1.9 | 5.7 | 7.9 | - | - | |
| 25%Cr/75%B 550 W | 1 | 76.3 | 9.3 | 6.2 | 3.5 | 4.6 | - | - |
| 2 | 76.2 | 9.0 | 7.0 | 4.2 | 3.6 | - | - | |
| 3 | 68.1 | 8.5 | 5.2 | 5.9 | 5.2 | 5.2 | 1.5 | |
| 25%Cr/75%B 750 W | 1 | 73.4 | 9.0 | 3.7 | 6.7 | 7.2 | - | - |
| 2 | 75.0 | 9.0 | 3.7 | 5.9 | 6.5 | - | - | |
| 3 | 54.1 | 8.9 | 3.0 | 23.2 | 10.7 | - | - | |
| 4 | 56.1 | 9.1 | 2.8 | 22.1 | 10.0 | - | - | |
| 25%Cr/75%B 950 W | 1 | 62.3 | 8.8 | 3.1 | 14.3 | 11.5 | - | - |
| 2 | 58.0 | 9.2 | 3.2 | 16.8 | 12.8 | - | - | |
| 3 | 73.9 | 8.9 | 4.3 | 6.1 | 6.8 | - | - | |
| 4 | 75.4 | 9.1 | 3.5 | 5.8 | 6.2 | - | - | |
| 50%Cr/50%B 550 W | 1 | 69.8 | 13.8 | 8.0 | 4.3 | 4.1 | - | - |
| 2 | 71.5 | 12.6 | 7.4 | 4.3 | 4.1 | - | - | |
| 3 | 72.3 | 12.4 | 5.4 | 4.6 | 5.3 | - | - | |
| 4 | 73.3 | 12.3 | 5.5 | 4.3 | 4.5 | - | - | |
| 5 | 65.6 | 12.3 | 7.2 | 4.7 | 5.3 | 4.4 | 0.5 | |
| 50%Cr/50%B 750 W | 1 | 50.8 | 11.9 | 2.8 | 23.5 | 11.0 | - | - |
| 2 | 59.6 | 8.9 | 3.7 | 17.8 | 9.9 | - | - | |
| 3 | 75.6 | 8.4 | 3.8 | 5.6 | 6.6 | - | - | |
| 4 | 73.4 | 8.6 | 3.7 | 6.8 | 7.4 | - | - | |
| 5 | 63.2 | 9.7 | 2.5 | 16.0 | 8.6 | - | - | |
| 50%Cr/50%B 950 W | 1 | 73.6 | 11.6 | 3.7 | 5.3 | 5.8 | - | - |
| 2 | 72.8 | 11.7 | 3.6 | 6.1 | 5.9 | - | - | |
| 3 | 76.4 | 8.0 | 2.2 | 5.4 | 8.1 | - | - | |
| 4 | 81.0 | 7.2 | 1.3 | 4.2 | 6.3 | - | - |
| Coating Type | Current Icorr (A·cm2) | Potential Ecorr (V) |
|---|---|---|
| 100% Cr | 2.77 × 10−6 | −1.02 × 10+0 |
| 100% B | 7.00 × 10−6 | −1.06 × 10+0 |
| 25%Cr/75%B | 5.13 × 10−7 | −9.72 × 10−1 |
| 50%Cr/50%B | 7.42 × 10−7 | −9.10 × 10−1 |
Publisher’s Note: MDPI stays neutral with regard to jurisdictional claims in published maps and institutional affiliations. |
© 2021 by the author. Licensee MDPI, Basel, Switzerland. This article is an open access article distributed under the terms and conditions of the Creative Commons Attribution (CC BY) license (https://creativecommons.org/licenses/by/4.0/).
Share and Cite
Bartkowska, A. Characteristics of Cr-B Coatings Produced on Vanadis® 6 Tool Steel Using Laser Processing. Materials 2021, 14, 2621. https://doi.org/10.3390/ma14102621
Bartkowska A. Characteristics of Cr-B Coatings Produced on Vanadis® 6 Tool Steel Using Laser Processing. Materials. 2021; 14(10):2621. https://doi.org/10.3390/ma14102621
Chicago/Turabian StyleBartkowska, Aneta. 2021. "Characteristics of Cr-B Coatings Produced on Vanadis® 6 Tool Steel Using Laser Processing" Materials 14, no. 10: 2621. https://doi.org/10.3390/ma14102621
APA StyleBartkowska, A. (2021). Characteristics of Cr-B Coatings Produced on Vanadis® 6 Tool Steel Using Laser Processing. Materials, 14(10), 2621. https://doi.org/10.3390/ma14102621
