Study on the Dynamic Recrystallization Behavior of 47Zr-45Ti-5Al-3V Alloy by CA–FE Simulation
Abstract
1. Introduction
2. Experiment
3. Results and Discussion
3.1. Hot-Deformed Microstructure
3.2. Peak Strain and Critical Strain
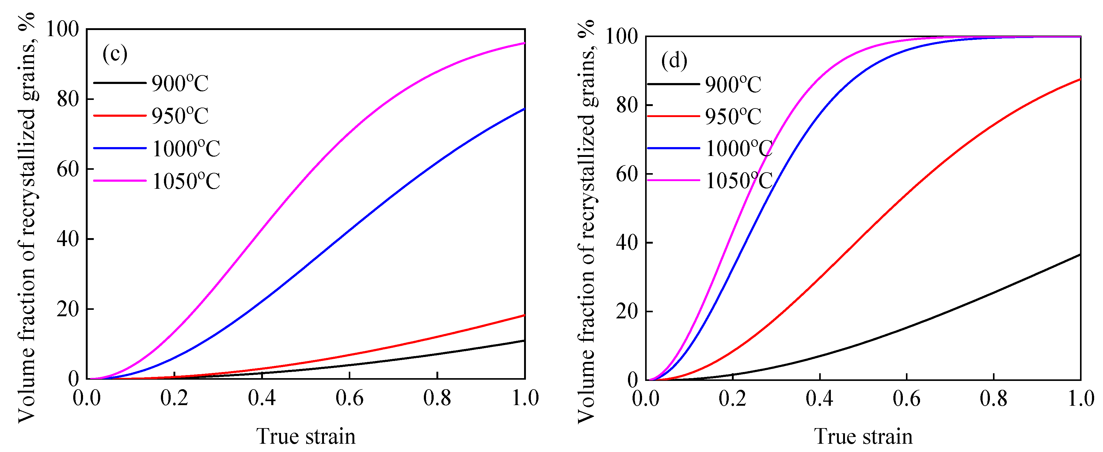
3.3. Kinetics Model of DRX
3.4. FEM of DRX Behavior
3.5. CA of DRX Behavior
4. Conclusions
- (1)
- In this present study, the main softening mechanism of 47Zr-45Ti-5Al-3V alloy was regarded as DRX. The results revealed that the deformation T and have a strong effect on the DRX behavior of 47Zr-45Ti-5Al-3V alloy. The and of DRX grains increased with rising T and decreasing .
- (2)
- Based on the hot-working test, the and model of DRX were established, which can be written as the following formula:
- (3)
- The value of was, respectively, 0.95 and 0.99 for the and between the experimental and FEM results, while the average ∆ value for the and was, respectively, 15.7% and 8.78%, which indicated that the FEM results of and are in great line with the experimental results.
- (4)
- The ∆ value of the and for DRX grains is respectively computed in the process of CA simulation. The ∆ value of the and was, respectively, 6.32% and 9.3% for CA simulation, which indicated that CA simulation has more accurate results than FEM.
Author Contributions
Funding
Institutional Review Board Statement
Informed Consent Statement
Data Availability Statement
Conflicts of Interest
References
- Ma, B.; Qi, X.; Li, R.; Zhang, R.; Shang, H. The Zr alloying effect on microstructure evolution and mechanical properties of nanostructured Al-Zr alloyed films. J. Alloys Compd. 2020, 858, 157707. [Google Scholar]
- Rodriguez, P. Irradiation effects in zirconium alloy core components of PHWRs. In Proceedings of the Symposium on Zirconium Alloys for Reactor Components, Bombay, India, 12–13 December 1991; Bhabha Atomic Research Centre: Bombay, India, 1992; pp. 46–95. [Google Scholar]
- Tao, B.R.; Qiu, R.S.; Liu, Y.S.; Tan, X.N.; Liu, Q. FCC phase transformation of Zr alloy during air cooling and aging. J. Nucl. Mater. 2021, 551, 152989. [Google Scholar] [CrossRef]
- Qu, L.; Yang, Z.N.; Zhang, F.C.; Zhang, M.; Zhang, X.Y.; Liu, R.P. Effect of deformation and heat treatment on the microstructure and mechanical properties of β-Zr40Ti5Al4V alloy. J. Alloys Compd. 2014, 612, 80–89. [Google Scholar] [CrossRef]
- Tan, Y.B.; Ji, L.Y.; Liu, W.C.; Xiang, S.; Liang, Y.L. Effect of hot deformation on α→β phase transformation in 47Zr-45Ti-5Al-3V alloy. Trans. Nonferrous Met. Soc. 2018, 28, 1947–1957. [Google Scholar] [CrossRef]
- Liang, S.X.; Yin, L.X.; Liu, X.Y.; Jing, R.; Zhou, Y.K.; Ma, M.Z.; Liu, R.P. Effects of annealing treatments on microstructure and mechanical properties of the Zr-45Ti-5Al-3V alloy. Mater. Sci. Eng. A 2013, 582, 374–378. [Google Scholar] [CrossRef]
- Tan, Y.B.; Yang, L.H.; Duan, J.L.; Ji, L.Y.; Liu, W.C. Studies on the kinetics of β→α phase transformation in 47Zr-45Ti-5Al-3V alloy under isothermal conditions by X-ray diffraction. Mater. Charact. 2016, 112, 98–104. [Google Scholar] [CrossRef]
- Tan, Y.B.; Yang, L.H.; Tian, C.; Liu, W.C.; Liu, R.P.; Zhang, X.Y. Processing maps for hot working of 47Zr-45Ti-5Al-3V alloy. Mater. Sci. Eng. A 2014, 597, 171–177. [Google Scholar] [CrossRef]
- Tan, Y.B.; Yang, L.H.; Duan, J.L.; Liu, W.C.; Zhang, J.W.; Liu, R.P. Effect of initial grain size on the hot deformation behavior of 47Zr-45Ti-5Al-3V alloy. J. Nucl. Mater. 2014, 454, 413–420. [Google Scholar] [CrossRef]
- Tan, Y.B.; Ji, L.Y.; Duan, J.L.; Liu, W.C.; Zhang, J.W.; Liu, R.P. A study on the hot deformation behavior of 47Zr-45Ti-5Al-3V alloy with initial lamellar α structure. Metall. Mater. Trans. A 2016, 12, 5974–5984. [Google Scholar] [CrossRef]
- Tan, Y.B.; Yang, L.H.; Tian, C.; Liu, R.P.; Zhang, X.Y.; Liu, W.C. Hot deformation behavior of ZrTiAlV alloy with a coarse grain structure in the β phase field. Mater. Sci. Eng. A 2013, 577, 218–224. [Google Scholar] [CrossRef]
- Sass, S.L. The Phase in a Zr-25 at.% Ti Alloy. Acta Metall. 1969, 17, 813–820. [Google Scholar] [CrossRef]
- Chakravartty, J.K.; Dey, G.K.; Banerjee, S.; Prasad, Y.V.R.K. Characterization of Hot Deformation Behaviour of Zr-2.5Nb-0.5Cu Using Processing Maps. J. Nucl. Mater. 1995, 218, 247–255. [Google Scholar] [CrossRef]
- Kutty, T.R.G.; Ravi, K.; Ganguly, C. Studies on Hot Hardness of Zr and Its Alloys for Nuclear Reactors. J. Nucl. Mater. 1999, 265, 91–99. [Google Scholar] [CrossRef]
- Nikulina, A.V.; Markelov, V.A.; Peregud, M.M.; Voevodin, V.N.; Panchenko, V.L.; Kobylyansky, G.P. Irradiation-Induced Microstructural Changes in Zr-1%Sn-1%Nb-0.4%Fe. J. Nucl. Mater. 1996, 238, 205–210. [Google Scholar] [CrossRef]
- Irani, M.; Joun, M. Determination of JMAK dynamic recrystallization parameters through FEM optimization techniques. Comput. Mater. Sci. 2018, 142, 178–184. [Google Scholar] [CrossRef]
- Ji, H.C.; Cai, Z.M.; Pei, W.C.; Huang, X.M.; Lu, Y.H. DRX behavior and microstructure evolution of 33Cr23Ni8Mn3N: Experiment and finite element simulation. J. Mater. Res. Technol. 2020, 9, 4340–4355. [Google Scholar] [CrossRef]
- Wu, H.; Xu, W.C.; Wang, S.B.; Yang, Z.Z.; Chen, Y.; Teng, B.G.; Shan, D.B.; Guo, B. A cellular automaton coupled FEA model for hot deformation behavior of AZ61 magnesium alloys. J. Alloys Compd. 2020, 816, 152562. [Google Scholar] [CrossRef]
- Nithin, B.; Pandey, P.; Chattopadhyay, K.; Phanikumar, G. Influence of thermomechanical processing parameters on microstructural evolution of a gamma-prime strengthened cobalt based superalloy during high temperature deformation. Mater. Sci. Eng. A 2020, 791, 139498. [Google Scholar]
- Geng, P.H.; Qin, G.L.; Zhou, J.; Li, T.Y.; Ma, N.S. Characterization of microstructures and hot-compressive behavior of GH4169 superalloy by kinetics analysis and simulation. J. Mater. Process. Technol. 2020, 288, 116879. [Google Scholar] [CrossRef]
- Zhang, T.; Li, L.; Lu, S.H.; Gong, H.; Wu, Y.X. Comparisons of Different Models on Dynamic Recrystallization of Plate during Asymmetrical Shear Rolling. Materials 2018, 11, 151. [Google Scholar] [CrossRef]
- Li, H.W.; Sun, X.X.; Yang, H. A three-dimensional cellular automata-crystal plasticity finite element model for predicting the multiscale interaction among heterogeneous deformation, DRX microstructural evolution and mechanical responses in titanium alloys. Int. J. Plast. 2016, 87, 154–180. [Google Scholar] [CrossRef]
- Xie, B.C.; Zhang, B.Y.; Ning, Y.Q.; Fu, M.W. Mechanisms of DRX nucleation with grain boundary bulging and subgrain rotation during the hot working of nickel-based superalloys with columnar grains. J. Alloys Compd. 2019, 786, 636–647. [Google Scholar] [CrossRef]
- Quan, G.Z.; Shi, R.J.; Zhao, J.; Liu, Q.; Xiong, W.; Qiu, H.M. Modeling of dynamic recrystallization volume fraction evolution for AlCu4SiMg alloy and its application in FEM. Trans. Nonferr. Met. Soc. 2019, 29, 1138–1151. [Google Scholar] [CrossRef]
- Liu, J.; Cui, Z.; Ruan, L. A new kinetics model of dynamic recrystallization for magnesium alloy AZ31B. Mater. Sci. Eng. A 2011, 529, 300–310. [Google Scholar] [CrossRef]
- Chen, L.; Zhang, Y.J.; Li, F.; Liu, X.G.; Guo, B.F.; Jin, M. Modeling of dynamic recrystallization behavior of 21Cr-11Ni-N-RE lean austenitic heat-resistant steel during hot deformation. Mater. Sci. Eng. A 2016, 663, 141–150. [Google Scholar] [CrossRef]
- Zhou, S.S.; Deng, K.K.; Li, J.C.; Nie, K.B.; Xu, F.J.; Zhou, H.F.; Fan, J.F. Hot deformation behavior and workability characteristics of bimodal size SiCp/AZ91 magnesium matrix composite with processing map. Mater. Des. 2014, 64, 177–184. [Google Scholar] [CrossRef]
- Wu, H.; Liu, M.X.; Wang, Y.; Huang, Z.Q.; Tan, G.; Yang, L. Experimental study and numerical simulation of dynamic recrystallization for a FGH96 superalloy during isothermal compression. J. Mater. Res. Technol. 2020, 9, 5090–5104. [Google Scholar] [CrossRef]
- Li, X.C.; Duan, L.L.; Li, J.W.; Wu, X.C. Experimental study and numerical simulation of dynamic recrystallization behavior of a micro-alloyed plastic mold steel. Mater. Des. 2015, 66, 309–320. [Google Scholar] [CrossRef]
- Buffa, G.; Ducato, A.; Fratini, L. FEM based prediction of phase transformations during friction stir welding of Ti6Al4V titanium alloy. Mater. Sci. Eng. A 2013, 581, 56–65. [Google Scholar] [CrossRef]
- Liu, J.; Wang, X.H.; Liu, J.T.; Liu, Y.F.; Li, H.Y.; Wang, C. Hot deformation and dynamic recrystallization behavior of Cu-3Ti-3Ni-0.5Si alloy. J. Alloys Compd. 2019, 782, 224–234. [Google Scholar] [CrossRef]
- Wan, Z.P.; Sun, Y.; Hu, L.X.; Yu, H. Experimental study and numerical simulation of dynamic recrystallization behavior of TiAl-based alloy. Mater. Des. 2017, 122, 11–20. [Google Scholar] [CrossRef]
- Zhang, W.W.; Yang, Q.Y.; Tan, Y.B.; Ma, M.; Xiang, S.; Zhao, F. Simulation and Experimental Study of Dynamical Recrystallization Kinetics of TB8 Titanium Alloys. Materials 2020, 13, 4429. [Google Scholar] [CrossRef]
- Ji, G.L.; Li, F.G.; Li, Q.H.; Li, H.Q.; Li, Z. Research on the dynamic recrystallization kinetics of Aermet100 steel. Mater. Sci. Eng. A 2010, 527, 2350–2355. [Google Scholar] [CrossRef]
- Wang, S.L.; Zhang, M.X.; Wu, H.C.; Yang, B. Study on the Dynamic Recrystallization Model and Mechanism of Nuclear Grade 316LN Austenitic Stainless Steel. Mater. Charact. 2016, 118, 92–101. [Google Scholar] [CrossRef]
- Zhang, C.S.; Wang, C.X.; Guo, R.; Zhao, G.Q.; Chen, L.; Sun, W.C.; Wang, X.B. Investigation of Dynamic Recrystallization and Modeling of Microstructure Evolution of an Al-Mg-Si Aluminum Alloy during High-Temperature Deformation. J. Alloys Compd. 2019, 773, 59–70. [Google Scholar] [CrossRef]
- Wen, D.X.; Lin, Y.C.; Zhou, Y. A New Dynamic Recrystallization Kinetics Model for A Nb Containing Ni-Fe-Cr-Base Superalloy Considering Influences of Initial delta Phase. Vacuum 2017, 141, 316–327. [Google Scholar] [CrossRef]
- Tan, K.; Li, J.; Guan, Z.J.; Yang, J.B.; Shu, J.X. The Identification of Dynamic Recrystallization and Constitutive Modeling during Hot Deformation of Ti55511 Titanium Alloy. Mater. Des. 2015, 84, 204–211. [Google Scholar] [CrossRef]
- Zhao, Z.L.; Min, X.N.; Xu, W.X.; Cao, L.C.; Zang, G.; Song, X.Y.; Li, H. Dynamic Recrystallization Models of AerMet100 Ultrahighstrength Steel During Thermo-mechanical Processing. Rare Met. Mater. Eng. 2020, 49, 3285–3293. [Google Scholar]
- Lin, Y.C.; Chen, M.S. Numerical Simulation and Experimental Verification of Microstructure Evolution in a Three-Dimensional Hot Upsetting Process. J. Mater. Process. Technol. 2009, 209, 4578–4583. [Google Scholar] [CrossRef]
- Cao, Z.H.; Sun, Y.; Zhou, C.; Wan, Z.P.; Yang, W.H.; Ren, L.L.; Hu, L.X. Cellular Automaton Simulation of Dynamic Recrystallization Behavior in V-10Cr-5Ti Alloy under Hot Deformation Conditions. Trans. Nonferrous Met. Soc. China 2019, 29, 98–111. [Google Scholar] [CrossRef]
- Cheng, F.; Cui, Z.S.; Liu, J.A.; Cheng, W.; Chen, S.J. Mesoscale Simulation of the Hightemperature Austenitizing and Dynamic Recrystallization by Coupling a Cellular Automaton with a Topology Deformation Technique. Mater. Sci. Eng. A 2010, 527, 5539–5549. [Google Scholar] [CrossRef]




















| Temperature | ||||||||
|---|---|---|---|---|---|---|---|---|
| 1 s−1 | 0.1 s−1 | 0.01 s−1 | 0.001 s−1 | 1 s−1 | 0.1 s−1 | 0.01 s−1 | 0.001 s−1 | |
| 850 °C | 0.38 | 0.21 | 0.12 | 0.07 | - | - | - | - |
| 900 °C | 0.34 | 0.14 | 0.11 | 0.055 | - | - | 0.07 | 0.038 |
| 950 °C | 0.26 | 0.1 | 0.083 | 0.025 | 0.17 | 0.06 | 0.05 | 0.018 |
| 1000 °C | 0.17 | 0.08 | 0.03 | 0.012 | 0.13 | 0.05 | 0.018 | 0.006 |
| 1050 °C | 0.13 | 0.05 | 0.02 | 0.01 | 0.09 | 0.03 | 0.01 | 0.004 |
| Strain Rate/s−1 | Temperature/°C | ||||
|---|---|---|---|---|---|
| 900 | 950 | 1000 | 1050 | ||
| 0.001 | ![]() | ![]() | ![]() | ![]() | ![]() |
| 0.01 | ![]() | ![]() | ![]() | ![]() | |
| 0.1 | ![]() | ![]() | ![]() | ![]() | |
| 1 | ![]() | ![]() | ![]() | ![]() | |
| Strain Rate/s−1 | Temperature/°C | ||||
|---|---|---|---|---|---|
| 900 | 950 | 1000 | 1050 | ||
| 0.001 | ![]() | ![]() | ![]() | ![]() | ![]() |
| 0.01 | ![]() | ![]() | ![]() | ![]() | |
| 0.1 | ![]() | ![]() | ![]() | ![]() | |
| 1 | ![]() | ![]() | ![]() | ![]() | |
Publisher’s Note: MDPI stays neutral with regard to jurisdictional claims in published maps and institutional affiliations. |
© 2021 by the authors. Licensee MDPI, Basel, Switzerland. This article is an open access article distributed under the terms and conditions of the Creative Commons Attribution (CC BY) license (https://creativecommons.org/licenses/by/4.0/).
Share and Cite
Zhang, W.; Yang, Q.; Tan, Y.; Yang, Y.; Xiang, S.; Zhao, F. Study on the Dynamic Recrystallization Behavior of 47Zr-45Ti-5Al-3V Alloy by CA–FE Simulation. Materials 2021, 14, 2562. https://doi.org/10.3390/ma14102562
Zhang W, Yang Q, Tan Y, Yang Y, Xiang S, Zhao F. Study on the Dynamic Recrystallization Behavior of 47Zr-45Ti-5Al-3V Alloy by CA–FE Simulation. Materials. 2021; 14(10):2562. https://doi.org/10.3390/ma14102562
Chicago/Turabian StyleZhang, Wenwei, Qiuyue Yang, Yuanbiao Tan, Ya Yang, Song Xiang, and Fei Zhao. 2021. "Study on the Dynamic Recrystallization Behavior of 47Zr-45Ti-5Al-3V Alloy by CA–FE Simulation" Materials 14, no. 10: 2562. https://doi.org/10.3390/ma14102562
APA StyleZhang, W., Yang, Q., Tan, Y., Yang, Y., Xiang, S., & Zhao, F. (2021). Study on the Dynamic Recrystallization Behavior of 47Zr-45Ti-5Al-3V Alloy by CA–FE Simulation. Materials, 14(10), 2562. https://doi.org/10.3390/ma14102562



































