Prediction and Analysis of Ultimate Bearing Capacity of Square CFST Long Column under Eccentric Compression after Acid Rain Corrosion
Abstract
1. Introduction
2. Finite Element Model of the CFST-LC under Eccentric Compression
2.1. Stress-Strain Relationship Model
- Stress-strain relationship model of steelwhere Es is the initial elastic modulus of the steel, MPa; Ese is the effective elastic modulus of the steel after corrosion, MPa; fy is the initial yield strength of the steel, MPa; fye is the effective yield strength of the steel after corrosion, MPa; γ is the corrosion rate measured by the test, %; ∆t is the reduction of the wall thickness of the steel tube due to corrosion, mm; t is the initial wall thickness of the steel tube, mm; te is the effective wall thickness of the steel tube after corrosion, mm.
- Stress-strain relationship model of concretewhere, σ0 and ε0 are the peak stress and peak strain of concrete core, respectively; fc′ is the compressive strength of the concrete cylinder, MPa; fcu is the compressive strength of the concrete cube, MPa; fck is the standard value of axial compressive strength of the concrete, MPa; ξe is the effective restraint effect coefficient of the concrete-filled steel tube; αe is the effective steel ratio of the steel tube; Ase is the effective cross-section area of the steel tube, mm2; Ac is the cross-section area of the concrete column, mm2.
2.2. Modeling Statements and Parameter Definitions
2.3. Model Verification
3. Results and Discussion of CFST-LC under Eccentric Compression
3.1. Numerical Model under Eccentric Compression
3.2. Failure Mode
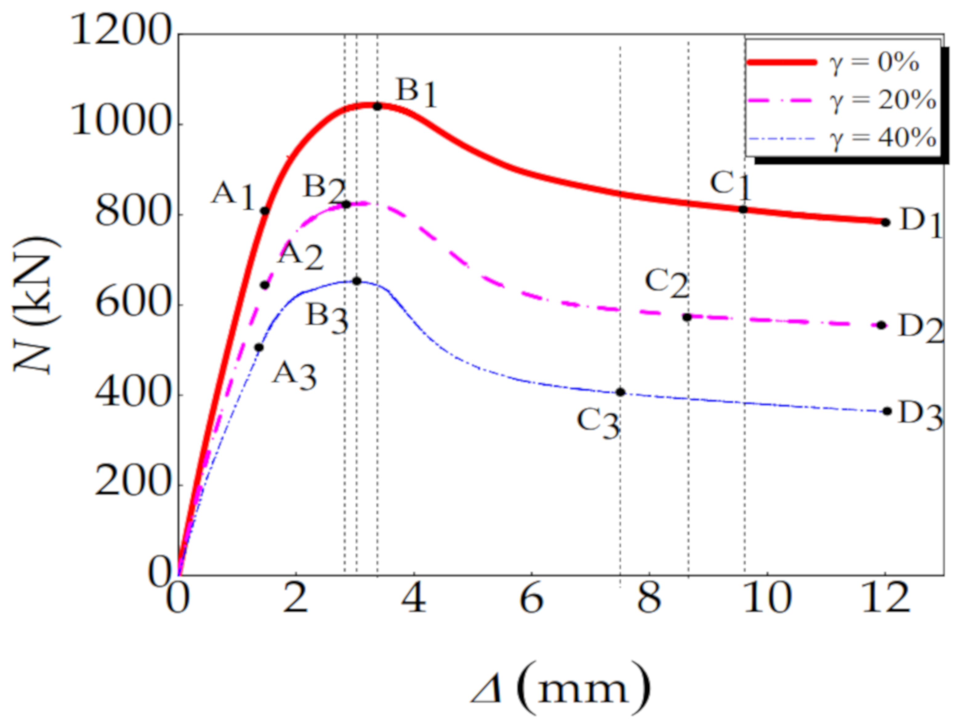
3.3. Load-Vertical Displacement Relationships
- Within the linear stage (0Ai), the relationship between load and vertical displacement is approximately linear. The external steel tube and internal concrete work independently, the interaction force between which is 0. Compared with the specimen that has not been corroded, displayed in the red line, the specimens undergoing acid rain corrosion will enter the elastic-plastic phase earlier. Additionally, with the corrosion rate rising, their elastic modulus diminish significantly, and elastic stages are slightly shortened.
- During the non-linear stage (AiBi), with the increase in applied load, small cracks appear in the core concrete and develop gradually. Meanwhile, since the transverse deformation coefficient of the core concrete is larger than that of the steel pipe, the steel pipe will exert a lateral restraint on the core concrete. The specimen reaches its ultimate bearing capacity at Bi point. Compared with the specimens without corrosion, the specimens will reach the ultimate bearing capacity ahead of time, and with the increase in corrosion rate, the ultimate bearing capacity of the specimens gradually decreases, and the time to reach the ultimate bearing capacity is also earlier and earlier.
- Within the decline stage (BiCi), after the specimen reaches its ultimate bearing capacity, the core concrete is crushed, and the steel tube yields. Hence, the specimen undergoes plastic failure. Furthermore, the acid rain corrosion can largely shorten the decline stage of the specimen.
- During the gentle stage (CiDi), due to the buckling of the specimen, its vertical displacement increases rapidly. However, whether the specimen undergoes acid rain corrosion or not, it has a stable bearing capacity in the gentle stage, which proves that the failure mode of the specimen is plastic failure.

3.4. Bearing Capacity
4. Ultimate Bearing Capacity of the CFST-LC under Eccentric Compression
4.1. Parameter Analysis
| B × t × L = 160 mm × 4 mm × 1200 mm | α = 0.11 | e = 20 mm |
| fcu = 40 MPa | fy = 345 MPa |
| B = 200–500 mm | fy = 235–420 MPa | fcu = 30–60 MPa |
| α = 0.05–0.23 | λ = 20–50 | e = 10–70 mm |
4.2. Design Method
5. Conclusions
- The failure mode of the SCFST-LC under eccentric compression being subjected to acid rain corrosion was similar to that of the scenario without corrosion. Local buckling occurred at the mid-span part of the specimen and the internal concrete columns collapsed. The increase in the corrosion rate could amplify the local buckling amplitude at the mid-span part of the external steel tube.
- The load-vertical displacement curves of the SCFST-LC under eccentric compression with different corrosion rates had a similar tendency, including elastic stage, elastic-plastic stage, descending stage, and gentle stage. The peak strain appeared earlier due to the increasing corrosion rate. Furthermore, the failure modes of both specimens, with or without corrosion, were plastic failure and they had a stable bearing capacity during the gentle stage.
- The parametric analysis results demonstrated that the section size, yield strength of the steel tube, compressive strength of concrete, steel ratio, slenderness ratio, and load eccentricity all had significant effects on the ultimate bearing capacity of the SCFST-LC. The ultimate bearing capacity of the SCFST-LC was enhanced by the increase in its section size, material strength, and steel ratio. However, the growth of the slenderness ratio and load eccentricity could diminish its ultimate bearing capacity.
- Through the parameter analysis of the results, the simplified formula for the ultimate bearing capacity of the SCFST-LC under eccentric compression after acid rain corrosion was proposed. Its accuracy and efficiency have been verified by comparing the bearing capacity obtained by the simplified formula and numerical modelling.
Author Contributions
Funding
Institutional Review Board Statement
Informed Consent Statement
Data Availability Statement
Acknowledgments
Conflicts of Interest
References
- Han, L. Concrete-Filled Steel Tube Structures—Theory and Practice, 3rd ed.; Science Press: Beijing, China, 2016. [Google Scholar]
- Lyu, X.; Xu, Y.; Xu, Q.; Yu, Y. Axial compression performance of square thin walled concrete-filled steel tube stub columns with reinforcement stiffener under constant high-temperature. Materials 2019, 12, 1098. [Google Scholar] [CrossRef] [PubMed]
- Wang, W.; Lyu, X.; Zhang, Y.; Yu, Y.; Zhang, T. Axial compression performance of thin-walled T-shaped concrete filled steel tubular columns under constant high temperature: Experimental and numerical study. Structures 2020, 27, 525–541. [Google Scholar] [CrossRef]
- Lignola, G.P.; Prota, A.; Manfredi, G. Simplified Modeling of Rectangular Concrete Cross-Sections Confined by External FRP Wrapping. Polymers 2014, 6, 1187–1206. [Google Scholar] [CrossRef]
- Laterza, M.; D’Amato, M.; Thanthirige, L.P.; Braga, F.; Gigliotti, R. Comparisons of Codal Detailing Rules for Curvature Ductility and Numerical Investigations. Open Constr. Build. Technol. J. 2014, 8, 132–141. [Google Scholar] [CrossRef]
- Han, L.; Li, W.; Bjorhovde, R. Developments and advanced applications of concrete-filled steel tubular (CFST) structures: Members. J. Constr. Steel Res. 2014, 100, 211–228. [Google Scholar] [CrossRef]
- Zhong, S.; Zhang, S. Application and development of concrete-filled steel tubes (CFST) in high rise buildings. Adv. Struct. Eng. 1999, 2, 149–159. [Google Scholar] [CrossRef]
- Li, R.; Yu, Y.; Samali, B.; Li, C. Parametric analysis on the circular CFST column and RBS steel beam joints. Materials 2019, 12, 1535. [Google Scholar] [CrossRef]
- Zhang, X.; Jiang, H.; Zhang, Q.; Zhang, X. Chemical characteristics of rainwater in northeast China, a case study of Dalian. Atmos. Res. 2012, 116, 151–160. [Google Scholar] [CrossRef]
- Liu, M.; Song, Y.; Zhou, T.; Xu, Z.; Yan, C.; Zheng, M.; Wu, Z.; Hu, M.; Wu, Y.; Zhu, T. Fine particle pH during severe haze episodes in northern China. Geophys. Res. Lett. 2017, 44, 5213–5221. [Google Scholar] [CrossRef]
- Wang, Y.; Xu, S.; Wang, H.; Li, A. Predicting the residual strength and deformability of corroded steel plate based on the corrosion morphology. Constr. Build. Mater. 2017, 152, 777–793. [Google Scholar] [CrossRef]
- Hua, Y.; Han, L.; Wang, Q.; Hou, C. Behaviour of square CFST beam-columns under combined sustained load and corrosion: Experiments. Thin Walled Struct. 2019, 136, 353–366. [Google Scholar] [CrossRef]
- Yan, J.; Dong, X.; Wang, T. Axial compressive behaviours of square CFST stub columns at low temperatures. J. Constr. Steel Res. 2020, 164, 105812. [Google Scholar] [CrossRef]
- Zhang, T.; Lyu, X.; Yu, Y. Prediction and analysis of the residual capacity of concrete-filled steel tube stub columns under axial compression subjected to combined freeze-thaw cycles and acid rain corrosion. Materials 2019, 12, 3070. [Google Scholar] [CrossRef]
- Yu, M.; Hu, X.; Chi, Y.; Ye, J. A unified method for calculating the fire resistance of concrete-filled steel tube with fire protection under combined loading. J. Constr. Steel Res. 2020, 168, 106003. [Google Scholar] [CrossRef]
- Yuan, F.; Chen, M.; Huang, H. Square CFST columns under cyclic load and acid rain attack: Experiments. Steel Compos. Struct. 2019, 30, 171–183. [Google Scholar]
- Gao, S.; Peng, Z.; Guo, L. Experimental study on the axial compression performance of concrete filled steel tube short columns under salt spray corrosion. J. Build. Struct. 2019, 40, 214–219. [Google Scholar]
- Li, W.; Han, L.; Zhao, X. Behavior of CFDST stub columns under preload, sustained load and chloride corrosion. J. Constr. Steel Res. 2015, 107, 12–23. [Google Scholar] [CrossRef]
- Hou, C.; Han, L.; Wang, Q.; Hou, C. Flexural behavior of circular concrete filled steel tubes (CFST) under sustained load and chloride corrosion. Thin Walled Struct. 2016, 107, 182–196. [Google Scholar] [CrossRef]
- Han, L.; Hua, Y.; Hou, C.; Wang, Q. Circular concrete-filled steel tubes subjected to coupled tension and chloride corrosion. J. Struct. Eng. 2017, 143, 04017134. [Google Scholar] [CrossRef]
- Han, L.; Hou, C.; Wang, Q. Behavior of circular CFST stub columns under sustained load and chloride corrosion. J. Constr. Steel Res. 2014, 103, 23–36. [Google Scholar] [CrossRef]
- Hou, C.; Han, L.; Zhao, X. Full-range analysis on square CFST stub columns and beams under loading and chloride corrosion. Thin Walled Struct. 2013, 68, 50–64. [Google Scholar] [CrossRef]
- Han, L.; Hou, C.; Wang, Q. Square concrete filled steel tubular (CFST)members under loading and chloride corrosion: Experiments. J. Constr. Steel Res. 2012, 71, 11–25. [Google Scholar] [CrossRef]
- Zhang, F.; Xia, J.; Li, G.; Guo, Z.; Chang, H.; Wang, K. Degradation of axial ultimate load-bearing capacity of circular thin-walled concrete-filled steel tubular stub columns after corrosion. Materials 2020, 13, 795. [Google Scholar] [CrossRef]
- Yuan, F.; Chen, M.; Huang, H.; Xie, L.; Wang, C. Circular concrete filled steel tubular (CFST) columns under cyclic load and acid rain attack: Test simulation. Thin Walled Struct. 2018, 122, 90–101. [Google Scholar] [CrossRef]
- Xie, L.; Chen, M.; Sun, W.; Yuan, F.; Huang, H. Behaviour of concrete-filled steel tubular members under pure bending and acid rain attack: Test simulation. Adv. Struct. Eng. 2019, 22, 240–253. [Google Scholar] [CrossRef]
- Chen, M.; Wen, Q.; Zhu, Q.; Huang, H.; Xie, L. Simulation of corrosion process for concrete filled steel tubular columns with the cellular automata method. Eng. Fail. Anal. 2017, 82, 298–307. [Google Scholar] [CrossRef]
- Chen, M.; Lin, B.; Huang, H. Study on Axial Compressive Bearing Capacity of Corroded Concrete Filled Steel Tubular Short Column. Prog. Build. Steel Struct. 2018, 20, 73–81. [Google Scholar]
- Chen, M.; Lin, B.; Huang, H. Study on the axial compression bearing capacity of corroded concrete-filled square steel tube short columns. Steel Struct. 2017, 32, 110–116. [Google Scholar]
- Liu, W. Research on the Working Mechanism of Concrete Filled Steel Tube under Local Compression. Ph.D. Thesis, Fuzhou University, Fuzhou, China, 2005. [Google Scholar]
- Zhong, T.; Wang, Z.; Yu, Q. Finite element modelling of concrete-filled steel stub columns under axial compression. J. Constr. Steel Res. 2013, 89, 121–131. [Google Scholar]
- Zhou, X.; Cheng, G.; Liu, J.; Gan, D.; Frank Chen, Y. Behavior of circular tubed-RC column to RC beam connections under axial compression. J. Constr. Steel Res. 2017, 130, 96–108. [Google Scholar] [CrossRef]
- Han, L.; Yao, G.; Tao, Z. Performance of concrete-filled thin-walled steel tubes under pure torsion. Thin Walled Struct. 2007, 45, 24–36. [Google Scholar] [CrossRef]
- Zhu, Q. Experimental and Theoretical Study on Eccentric Compression of Recycled Steel Tube Columns after Acid Rain Corrosion. Master’s Thesis, East China Jiaotong University, Nanchang, China, 2016. [Google Scholar]
- Zhang, T.; Lyu, X.; Liu, H.; Zhang, L.; Wang, J.; Gao, S. Axial performance degradation of squared CFST stubs in severe cold and acid rain area. Constr. Build. Mater. 2020, 262, 120612. [Google Scholar] [CrossRef]
- CECS159-2004; Technical Specification for Rectangular Concrete Filled Steel Tube Structures; China Association for Engineering Construction Standardization: Beijing, China, 2004.












| Model Number | B × L × t (mm) | ∆t (mm) | fcu (MPa) | fy (MPa) | γ (%) | e (mm) | Nue (kN) | Ref. |
|---|---|---|---|---|---|---|---|---|
| NC-50-0 | 160 × 1250 × 3.64 | 0 | 53.5 | 342.5 | 0 | 50 | 1095.00 | [34] |
| NC-50-1 | 160 × 1250 × 3.64 | 0.36 | 53.5 | 342.5 | 10 | 50 | 970.00 | |
| NC-50-2 | 160 × 1250 × 3.64 | 0.758 | 53.5 | 342.5 | 20 | 50 | 805.00 | |
| NC-25-2 | 160 × 1250 × 3.64 | 0.758 | 53.5 | 342.5 | 20 | 25 | 1105.00 | |
| S3-0-0 | 80 × 300 × 3.0 | 0.00 | 49.8 | 358 | 0 | 0 | 606.25 | [35] |
| S3-0-10 | 80 × 300 × 3.0 | 0.30 | 49.8 | 358 | 10 | 0 | 543.75 | |
| S3-0-20 | 80 × 300 × 3.0 | 0.60 | 49.8 | 358 | 20 | 0 | 493.75 | |
| S3-0-30 | 80 × 300 × 3.0 | 0.90 | 49.8 | 358 | 30 | 0 | 456.25 | |
| S4.5-0-0 | 80 × 300 × 4.5 | 0.00 | 49.8 | 358 | 0 | 0 | 774.78 | |
| S4.5-0-10 | 80 × 300 × 4.5 | 0.45 | 49.8 | 358 | 10 | 0 | 704.35 | |
| S4.5-0-20 | 80 × 300 × 4.5 | 0.90 | 49.8 | 358 | 20 | 0 | 610.44 | |
| S4.5-0-30 | 80 × 300 × 4.5 | 1.35 | 49.8 | 358 | 30 | 0 | 547.83 |
| Model Number | B × L × t (mm) | Nue (kN) | Nce (kN) | Nbe (kN) | Nue/Nce | Nue/Nbe | Ref. |
|---|---|---|---|---|---|---|---|
| NC-50-0 | 160 × 1250 × 3.64 | 1095 | 1078.48 | 1058.34 | 1.02 | 1.03 | [34] |
| NC-50-1 | 160 × 1250 × 3.64 | 970 | 941.44 | 927.87 | 1.03 | 1.04 | |
| NC-50-2 | 160 × 1250 × 3.64 | 805 | 840.82 | 825.35 | 0.96 | 0.98 | |
| NC-25-2 | 160 × 1250 × 3.64 | 1105 | 1076.92 | 1133.61 | 1.03 | 0.97 | |
| Average value | 1.00 | 1.00 | |||||
| Variance | 0.001 | 0.001 | |||||
| S3-0-0 | 80 × 300 × 3 | 606.25 | - | 625.46 | - | 0.97 | [35] |
| S3-0-10 | 80 × 300 × 3 | 543.75 | - | 573.08 | - | 0.95 | |
| S3-0-20 | 80 × 300 × 3 | 493.75 | - | 511.82 | - | 0.96 | |
| S3-0-30 | 80 × 300 × 3 | 456.25 | - | 461.98 | - | 0.99 | |
| S4.5-0-0 | 80 × 300 × 4.5 | 774.78 | - | 814.8 | - | 0.95 | |
| S4.5-0-10 | 80 × 300 × 4.5 | 704.35 | - | 701.1 | - | 1.00 | |
| S4.5-0-20 | 80 × 300 × 4.5 | 610.44 | - | 610.99 | - | 1.00 | |
| S4.5-0-30 | 80 × 300 × 4.5 | 547.83 | - | 546.47 | - | 1.00 | |
| Average value | - | 0.98 | |||||
| Variance | - | 0.001 | |||||
| Model Number | B × L × t (mm) | ∆t (mm) | e (mm) | fcu (MPa) | fy (MPa) | γ (%) | α | N (kN) |
|---|---|---|---|---|---|---|---|---|
| S-40-345-0.11-0 | 160 × 1200 × 4 | 0 | 40 | 40 | 345 | 0 | 0.11 | 1043.32 |
| S-40-345-0.11-10 | 160 × 1200 × 4 | 0.4 | 40 | 40 | 345 | 10 | 0.11 | 929.41 |
| S-40-345-0.11-20 | 160 × 1200 × 4 | 0.8 | 40 | 40 | 345 | 20 | 0.11 | 824.95 |
| S-40-345-0.11-30 | 160 × 1200 × 4 | 1.2 | 40 | 40 | 345 | 30 | 0.11 | 721.63 |
| S-40-345-0.11-40 | 160 × 1200 × 4 | 1.6 | 40 | 40 | 345 | 40 | 0.11 | 651.72 |
Publisher’s Note: MDPI stays neutral with regard to jurisdictional claims in published maps and institutional affiliations. |
© 2021 by the authors. Licensee MDPI, Basel, Switzerland. This article is an open access article distributed under the terms and conditions of the Creative Commons Attribution (CC BY) license (https://creativecommons.org/licenses/by/4.0/).
Share and Cite
Lyu, X.; Zhang, L.; Zhang, T.; Li, B.; Li, H.; Yu, Y. Prediction and Analysis of Ultimate Bearing Capacity of Square CFST Long Column under Eccentric Compression after Acid Rain Corrosion. Materials 2021, 14, 2568. https://doi.org/10.3390/ma14102568
Lyu X, Zhang L, Zhang T, Li B, Li H, Yu Y. Prediction and Analysis of Ultimate Bearing Capacity of Square CFST Long Column under Eccentric Compression after Acid Rain Corrosion. Materials. 2021; 14(10):2568. https://doi.org/10.3390/ma14102568
Chicago/Turabian StyleLyu, Xuetao, Liqiang Zhang, Tong Zhang, Ben Li, Huan Li, and Yang Yu. 2021. "Prediction and Analysis of Ultimate Bearing Capacity of Square CFST Long Column under Eccentric Compression after Acid Rain Corrosion" Materials 14, no. 10: 2568. https://doi.org/10.3390/ma14102568
APA StyleLyu, X., Zhang, L., Zhang, T., Li, B., Li, H., & Yu, Y. (2021). Prediction and Analysis of Ultimate Bearing Capacity of Square CFST Long Column under Eccentric Compression after Acid Rain Corrosion. Materials, 14(10), 2568. https://doi.org/10.3390/ma14102568

