In Vitro Study on Bone Heating during Drilling of the Implant Site: Material, Design and Wear of the Surgical Drill
Abstract
1. Introduction
2. Material and Methods
2.1. Study Design
2.2. Operational Procedure
2.3. Standardized Synthetic Blocks
2.4. Thermal Measurements
2.5. Statistical Analysis
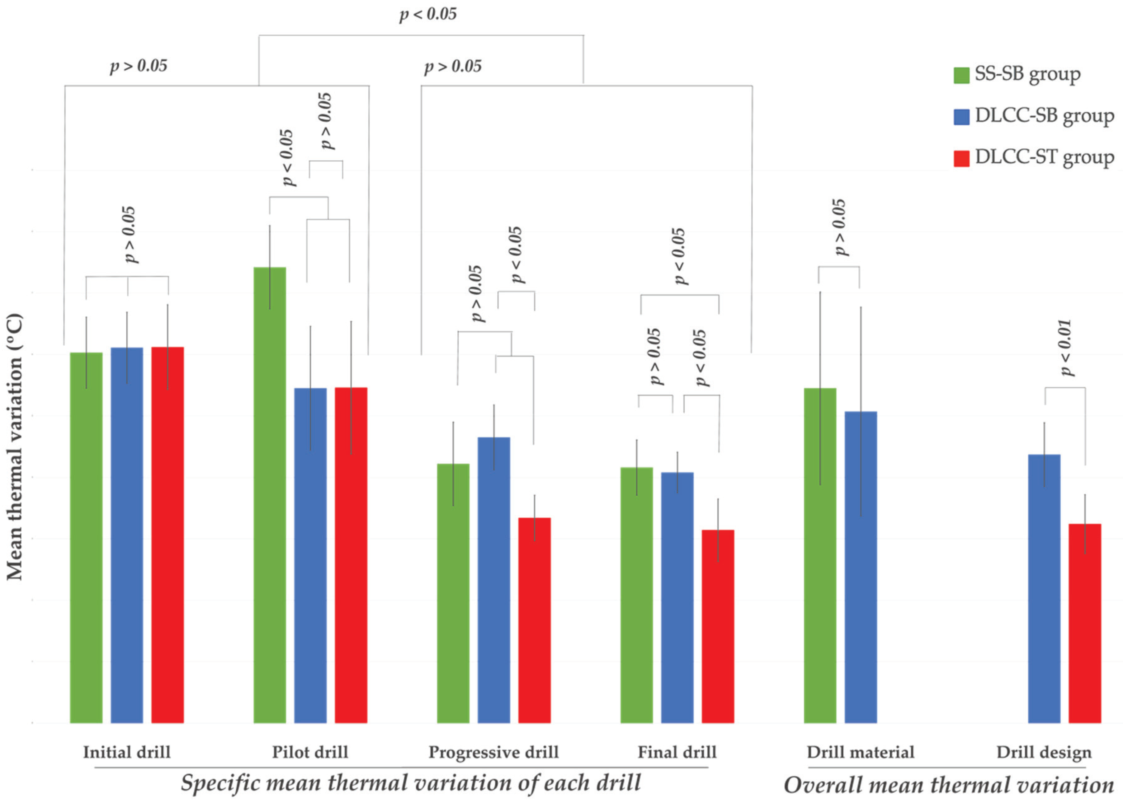
3. Results
3.1. Drill Material
3.2. Drill Design
3.3. Drill Type
3.4. Drill Wear
4. Discussion
5. Conclusions
Author Contributions
Funding
Acknowledgments
Conflicts of Interest
References
- Eriksson, A.; Albrektsson, T. Temperature threshold levels for heat-induced bone tissue injury: A vital-microscopic study in the rabbit. J. Prosthet. Dent. 1983, 50, 101–107. [Google Scholar] [CrossRef]
- Slaets, E.; Carmeliet, G.; Naert, I.; Duyck, J. Early Trabecular Bone Healing Around Titanium Implants: A Histologic Study in Rabbits. J. Periodontol. 2007, 78, 510–517. [Google Scholar] [CrossRef]
- Bahat, O.; Sullivan, R.M. Parameters for successful implant integration revisited part I: Immediate loading considered in light of the original prerequisites for osseointegration. Clin. Implant. Dent. Relat. Res. 2010, 12 (Suppl. 1), e2–e12. [Google Scholar] [CrossRef] [PubMed]
- Piattelli, A.; Piattelli, M.; Mangano, C.; Scarano, A. A histologic evaluation of eight cases of failed dental implants: Is bone overheating the most probable cause? Biomaterials 1998, 19, 683–690. [Google Scholar] [CrossRef]
- Pellicer-Chover, H.; Peñarrocha-Oltra, D.; Aloy-Prosper, A.; Sanchis-Gonzalez, J.-C.; Peñarrocha-Diago, M.; Peñarrocha-Diago, M. Comparison of peri-implant bone loss between conventional drilling with irrigation versus low-speed drilling without irrigation. Medicina Oral Patología Oral y Cirugia Bucal 2017, 22, e730–e736. [Google Scholar] [CrossRef] [PubMed]
- Möhlhenrich, S.; Modabber, A.; Steiner, T.; Mitchell, D.A.; Hölzle, F. Corrigendum to “Heat generation and drill wear during dental implant site preparation: Systematic review”. Br. J. Oral Maxillofac. Surg. 2016, 54, 117. [Google Scholar] [CrossRef] [PubMed]
- Mishra, S.K.; Chowdhary, R. Heat Generated by Dental Implant Drills During Osteotomy—A Review. J. Indian Prosthodont. Soc. 2014, 14, 131–143. [Google Scholar] [CrossRef] [PubMed]
- Tehemar, S.H. Factors affecting heat generation during implant site preparation: A review of biologic observations and future considerations. Int. J. Oral Maxillofac. Implant. 1999, 14, 127–136. [Google Scholar]
- Oliveira, N.; Alaejos-Algarra, F.; Mareque-Bueno, J.; Ferres-Padro, E.; Hernandez-Alfaro, F. Thermal changes and drill wear in bovine bone during implant site preparation. A comparative in vitro study: Twisted stainless steel and ceramic drills. Clin. Oral Implant. Res. 2012, 23, 963–969. [Google Scholar] [CrossRef]
- Hochscheidt, C.J.; Shimizu, R.H.; Andrighetto, A.R.; Moura, L.M.; Golin, A.L.; Hochscheidt, R.C. Thermal Variation During Osteotomy With Different Dental Implant Drills. Implant. Dent. 2017, 26, 73–79. [Google Scholar] [CrossRef]
- Wadkar, P.P.; Khalap, S.; Shetty, D.; Gupta, A.; Shetty, A.; Dharmadhikari, S. A novel, new generation drill coating for osteotomy site preparation. Indian J. Dent. Res. 2019, 30, 767–771. [Google Scholar] [CrossRef] [PubMed]
- E Chacon, G.; Bower, D.L.; Larsen, P.E.; McGlumphy, E.; Beck, F.M. Heat Production by 3 Implant Drill Systems After Repeated Drilling and Sterilization. J. Oral Maxillofac. Surg. 2006, 64, 265–269. [Google Scholar] [CrossRef] [PubMed]
- Gehrke, S.A.; Júnior, J.S.A.; Martínez, C.P.-A.; Fernandez, M.P.R.; Maté Sánchez de Val, J.E.; Calvo-Guirado, J.L. The influence of drill length and irrigation system on heat production during osteotomy preparation for dental implants: An ex vivo study. Clin. Oral Implant. Res. 2016, 29, 772–778. [Google Scholar] [CrossRef] [PubMed]
- Oh, H.J.; Wikesjo, U.M.; Kang, H.S.; Ku, Y.; Eom, T.G.; Koo, K.T. Effect of implant drill characteristics on heat generation in osteotomy sites: A pilot study. Clin. Oral Implant. Res. 2011, 22, 722–726. [Google Scholar] [CrossRef] [PubMed]
- Sannino, G.; Capparè, P.; Gherlone, E.F.; Barlattani, A. Influence of the Implant Drill Design and Sequence on Temperature Changes During Site Preparation. Int. J. Oral Maxillofac. Implant. 2015, 30, 351–358. [Google Scholar] [CrossRef][Green Version]
- Ercoli, C.; Funkenbusch, P.; Lee, H.-J.; E Moss, M.; Graser, G.N. The influence of drill wear on cutting efficiency and heat production during osteotomy preparation for dental implants: A study of drill durability. Int. J. Oral Maxillofac. Implant. 2004, 19, 335–349. [Google Scholar]
- Krithikadatta, J.; Gopikrishna, V.; Datta, M. CRIS Guidelines (Checklist for Reporting In-vitro Studies): A concept note on the need for standardized guidelines for improving quality and transparency in reporting in-vitro studies in experimental dental research. J. Conserv. Dent. 2014, 17, 301–304. [Google Scholar] [CrossRef]
- Chen, Y.-C.; Hsiao, C.-K.; Ciou, J.-S.; Tsai, Y.-J.; Tu, Y.-K. Effects of implant drilling parameters for pilot and twist drills on temperature rise in bone analog and alveolar bones. Med Eng. Phys. 2016, 38, 1314–1321. [Google Scholar] [CrossRef]
- Lekholm, U.; Zarb, G.A. Patient selection and preparation. In Tissue-Integrated Prostheses: Osseointegration in Clinical Dentistry, 1st ed.; Branemark, P.-I., Zarb, G.A., Albrektsson, T., Eds.; Quintessence: Chicago, IL, USA, 1985; pp. 199–210. [Google Scholar]
- Calttenburg, R.; Cohen, J.; Conner, S.; Cook, N. Thermal properties of cancellous bone. J. Biomed. Mater. Res. 1975, 9, 169–182. [Google Scholar] [CrossRef]
- Strbac, G.D.; Giannis, K.; Unger, E.; Mittlbock, M.; Watzek, G.; Zechner, W. A novel standardized bone model for thermal evaluation of bone osteotomies with various irrigation methods. Clin. Oral Implant. Res. 2014, 25, 622–631. [Google Scholar] [CrossRef]
- Scarano, A.; Piattelli, A.; Assenza, B.; Carinci, F.; Di Donato, L.; Romani, G.L.; Merla, A. Infrared thermographic evaluation of temperature modifications induced during implant site preparation with cylindrical versus conical drills. Clin. Implant. Dent. Relat. Res. 2011, 13, 319–323. [Google Scholar] [CrossRef] [PubMed]
- Oh, H.; Kim, B.; Kim, H.-Y.; Yeo, I.L.; Wikesjö, U.; Koo, K.-T. Implant Drill Characteristics: Thermal and Mechanical Effects of Two-, Three-, and Four-Fluted Drills. Int. J. Oral Maxillofac. Implant. 2017, 32, 483–488. [Google Scholar] [CrossRef] [PubMed]
- Möhlhenrich, S.; Abouridouane, M.; Heussen, N.; Hölzle, F.; Klocke, F.; Modabber, A. Thermal evaluation by infrared measurement of implant site preparation between single and gradual drilling in artificial bone blocks of different densities. Int. J. Oral Maxillofac. Surg. 2016, 45, 1478–1484. [Google Scholar] [CrossRef] [PubMed]
- Harder, S.; Egert, C.; Wenz, H.-J.; Jochens, A.; Kern, M. Influence of the drill material and method of cooling on the development of intrabony temperature during preparation of the site of an implant. Br. J. Oral Maxillofac. Surg. 2013, 51, 74–78. [Google Scholar] [CrossRef]
- Koo, K.-T.; Kim, M.-H.; Kim, H.-Y.; Wikesjo, U.M.; Yang, J.-H.; Yeo, I.L. Effects of Implant Drill Wear, Irrigation, and Drill Materials on Heat Generation in Osteotomy Sites. J. Oral Implant. 2015, 41, e19–e23. [Google Scholar] [CrossRef]
- Pires, L.F.S.; Tandler, B.; Bissada, N.; Duarte, S. Comparison of heat generated by alumina-toughened zirconia and stainless steel burs for implant placement. Int. J. Oral Maxillofac. Implant. 2012, 27, 1023–1028. [Google Scholar]
- Harder, S.; Egert, C.; Freitag-Wolf, S.; Mehl, C.; Kern, M. Intraosseous Temperature Changes During Implant Site Preparation: In Vitro Comparison of Thermocouples and Infrared Thermography. Int. J. Oral Maxillofac. Implant. 2018, 33, 72–78. [Google Scholar] [CrossRef]
- Moshiri, Z.; Roshanaei, G.; Vafaei, F.; Kadkhodazadeh, M. Evaluation the effect of drill type on heat generation in implant drilling site. Res. J. Med. Sci. 2013, 7, 118–122. [Google Scholar]
- Basiaga, M.; Paszenda, Z.; Szewczenko, J.; Kaczmarek, M. Influence of surgical drills wear on thermal process generated in bones. Acta Bioeng. Biomech. 2013, 15, 19–23. [Google Scholar]
- Scarano, A.; Carinci, F.; Quaranta, A.; Di Iorio, D.; Assenza, B.; Piattelli, A. Effects of bur wear during implant site preparation: An in vitro study. Int. J. Immunopathol. Pharmacol. 2007, 20 (Suppl. 1), 23–26. [Google Scholar] [CrossRef]
- Sumer, M.; Misir, A.F.; Telcioglu, N.T.; Guler, A.U.; Yenisey, M.; Mısır, A.F. Comparison of Heat Generation During Implant Drilling Using Stainless Steel and Ceramic Drills. J. Oral Maxillofac. Surg. 2011, 69, 1350–1354. [Google Scholar] [CrossRef] [PubMed]
- Jochum, R.M.; A Reichart, P. Influence of multiple use of Timedur-titanium cannon drills: Thermal response and scanning electron microscopic findings. Clin. Oral Implant. Res. 2000, 11, 139–143. [Google Scholar] [CrossRef]
- Abboud, M.; Delgado-Ruiz, R.A.; Kucine, A.; Rugova, S.; Balanta, J.; Calvo-Guirado, J.L. Multistepped Drill Design for Single-Stage Implant Site Preparation: Experimental Study in Type 2 Bone. Clin. Implant. Dent. Relat. Res. 2015, 17 (Suppl. 2), e472–e85. [Google Scholar] [CrossRef] [PubMed]
- Bogovič, V.; Svete, A.; Bajsić, I. Effects of a drill diameter on the temperature rise in a bone during implant site preparation under clinical conditions. Proc. Inst. Mech. Eng. Part H: J. Eng. Med. 2016, 230, 907–917. [Google Scholar] [CrossRef]
- Markovic, A.; Misic, T.; Mancic, D.; Jovanovic, I.; Scepanovic, M.; Jezdic, Z. Real-time thermographic analysis of low-density bone during implant placement: A randomized parallel-group clinical study comparing lateral condensation with bone drilling surgical technique. Clin. Oral. Implant. Res. 2014, 25, 910–918. [Google Scholar] [CrossRef]
- Lucchiari, N.; Frigo, A.C.; Stellini, E.; Coppe, M.; Berengo, M.; Bacci, C. In Vitro Assessment with the Infrared Thermometer of Temperature Differences Generated During Implant Site Preparation: The Traditional Technique Versus the Single-Drill Technique. Clin. Implant. Dent. Relat. Res. 2016, 18, 182–191. [Google Scholar] [CrossRef]




| SS-SB Group | DLCC-SB Group | DLCC-TB Group |
|---|---|---|
![]() | ![]() | ![]() |
| Experimental Parameters | |
|---|---|
| Parameter | Settings |
| Irrigation | None |
| Operational speed | 50 mm/min |
| Rotation speed | 800 rpm |
| Maximum axial load | 2 kg |
| Maximum torque | 45 Ncm |
| Depth of drilling | 11.5 mm |
| Drilling Technique | Intermittent and gradual |
| Pumping | 4- and 8-mm depth |
| Sterilization | Every 5 drillings |
| Groups | SS-SB | DLCC-SB | DLCC-TB | |
|---|---|---|---|---|
| Δ T Mean (°C) | ||||
| Specific mean Δ T of initial drills | 6.03 ± 0.58 | 6.11 ± 0.58 | 6.12 ± 0.69 | |
| Specific mean Δ T of pilot drills | 7.42 ± 0.68 | 5.45 ± 1.01 | 5.46 ± 1.08 | |
| Specific mean Δ T of progressive drills | 4.22 ± 0.68 | 4.65 ± 0.53 | 3.34 ± 0.37 | |
| Specific mean Δ T of final drills | 4.16 ± 0.45 | 4.08 ± 0.33 | 3.14 ± 0.51 | |
| Overall mean Δ T for drill material | 5.45 ± 1.57 | 5.07 ± 1.70 | - | |
| Overall mean Δ T for drill design | - | 4.37 ± 0.52 | 3.24 ± 0.48 | |
© 2020 by the authors. Licensee MDPI, Basel, Switzerland. This article is an open access article distributed under the terms and conditions of the Creative Commons Attribution (CC BY) license (http://creativecommons.org/licenses/by/4.0/).
Share and Cite
Bernabeu-Mira, J.C.; Pellicer-Chover, H.; Peñarrocha-Diago, M.; Peñarrocha-Oltra, D. In Vitro Study on Bone Heating during Drilling of the Implant Site: Material, Design and Wear of the Surgical Drill. Materials 2020, 13, 1921. https://doi.org/10.3390/ma13081921
Bernabeu-Mira JC, Pellicer-Chover H, Peñarrocha-Diago M, Peñarrocha-Oltra D. In Vitro Study on Bone Heating during Drilling of the Implant Site: Material, Design and Wear of the Surgical Drill. Materials. 2020; 13(8):1921. https://doi.org/10.3390/ma13081921
Chicago/Turabian StyleBernabeu-Mira, Juan Carlos, Hilario Pellicer-Chover, Miguel Peñarrocha-Diago, and David Peñarrocha-Oltra. 2020. "In Vitro Study on Bone Heating during Drilling of the Implant Site: Material, Design and Wear of the Surgical Drill" Materials 13, no. 8: 1921. https://doi.org/10.3390/ma13081921
APA StyleBernabeu-Mira, J. C., Pellicer-Chover, H., Peñarrocha-Diago, M., & Peñarrocha-Oltra, D. (2020). In Vitro Study on Bone Heating during Drilling of the Implant Site: Material, Design and Wear of the Surgical Drill. Materials, 13(8), 1921. https://doi.org/10.3390/ma13081921




