Shear Performance of Reinforced Concrete Beams Affected by Satisfactory Composite-Recycled Aggregates
Abstract
1. Introduction
2. Research Significance
3. Experimental Works
3.1. Raw Materials
3.2. Preparation of CRAC
3.3. Preparation of Reinforced CRAC Beams
3.4. Test Method
4. Test Results
4.1. Cracks and Failure Patterns
4.2. Strains of CRAC and Stirrups
4.3. Shear-Cracking Resistance
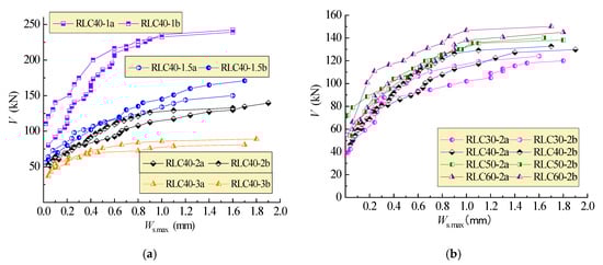
4.4. Shear-Crack Width
4.5. Shear Capacity
5. Synthetical Discussion
6. Conclusions
Author Contributions
Funding
Acknowledgments
Conflicts of Interest
References
- Xu, J.J.; Chen, Z.P.; Xue, J.Y.; Chen, Y.L.; Liu, Z.Q. A review of experimental results of steel reinforced recycled aggregate concrete members and structures in China (2010–2016). Procedia Eng. 2017, 210, 109–119. [Google Scholar] [CrossRef]
- Wijayasundara, M.; Mendis, P.; Crawford, R.H. Integrated assessment of the use of recycled concrete aggregate replacing natural aggregate in structural concrete. J. Clean. Prod. 2017, 174, 591–604. [Google Scholar] [CrossRef]
- Ostrowski, K.; Stefaniuk, D.; Sadowski, Ł.; Krzywiński, K.; Gicala, M.; Różańska, M. Potential use of granite waste sourced from rock processing for the application as coarse aggregate in high-performance self-compacting concrete. Constr. Build. Mater. 2020, 238, 117794. [Google Scholar] [CrossRef]
- Shima, H.; Tateyashiki, H.; Matsuhashi, R.; Yushida, Y. An advanced concrete recycling technology and its application assessment through input-output analysis. J. Adv. Concr. Technol. 2005, 3, 53–67. [Google Scholar] [CrossRef]
- Butler, L.; West, J.S.; Tighe, S.L. Effect of recycled concrete coarse aggregate from multiple sources on the hardened properties of concrete with equivalent compressive strength. Constr. Build. Mater. 2013, 47, 1292–1301. [Google Scholar] [CrossRef]
- Lotfi, S.; Eggimann, M.; Wagner, E.; Mroz, R.; Deja, J. Performance of recycled aggregate concrete based on a new concrete recycling technology. Constr. Build. Mater. 2015, 95, 243–256. [Google Scholar] [CrossRef]
- Katz, A. Treatment for the improvement of recycled aggregate. J. Mater. Civ. Eng. 2004, 16, 597–603. [Google Scholar] [CrossRef]
- Qiu, J.; Tng, D.Q.S.; Yang, E.H. Surface treatment of recycled concrete aggregates through microbial carbonate precipitation. Constr. Build. Mater. 2014, 57, 144–150. [Google Scholar] [CrossRef]
- Corinaldesi, V.; Moriconi, G. Influence of mineral additions on the performance of 100% recycled aggregate concrete. Constr. Build. Mater. 2009, 23, 2869–2876. [Google Scholar] [CrossRef]
- Elhakam, A.A.; Mohamed, A.E.; Awad, E. Influence of self-healing, mixing method and adding silica fume on mechanical properties of recycled aggregates concrete. Constr. Build. Mater. 2012, 35, 421–427. [Google Scholar] [CrossRef]
- Li, C.Y.; Wang, F.; Deng, X.S.; Li, Y.Z.; Zhao, S.B. Experimental study on strength development of recycled-aggregate concrete with large particle natural aggregate. Materials 2019, 12, 1891. [Google Scholar] [CrossRef] [PubMed]
- Zhao, S.B.; Guo, Q.; Li, G.; Su, Y.; Shao, W. Basic mechanical properties of concrete with machine-made sand and recycled coarse aggregate. Appl. Mech. Mater. 2013, 357–360, 1102–1105. [Google Scholar] [CrossRef]
- Brand, A.S.; Roesler, J.R.; Salas, A. Initial moisture and mixing effects on higher quality recycled coarse aggregate concrete. Constr. Build. Mater. 2012, 79, 83–89. [Google Scholar] [CrossRef]
- Liang, Y.C.; Ye, Z.M.; Vernerey, F.; Xi, Y.P. Development of processing methods to improve strength of concrete with 100% recycled coarse aggregate. J. Mater. Civ. Eng. 2015, 27, 04014163. [Google Scholar] [CrossRef]
- Ministry of Housing and Urban-Rural Construction of the People’s Republic of China. Recycled Coarse Aggregate for Concrete; GB/T 25177-2010; Standard Press of China: Beijing, China, 2011.
- Ministry of Housing and Urban-Rural Construction of the People’s Republic of China. Recycled Fine Aggregate for Concrete and Mortar; GB/T 25176-2010; Standard Press of China: Beijing, China, 2011.
- Ministry of Housing and Urban-Rural Construction of the People’s Republic of China. Technical Specification for Application of Recycled Aggregate; JGJ/T 240-2011; China Building Industry Press: Beijing, China, 2011.
- China Association for Engineering Construction Standardization. Technical Specification for Durability Control of Recycled Aggregate Concrete; CECS 385:2014; China Plan Press: Beijing, China, 2014. [Google Scholar]
- Ding, X.X.; Li, C.Y.; Xu, Y.Y.; Li, F.L.; Zhao, S.B. Experimental study on long-term compressive strength development of concrete with manufactured sand. Constr. Build. Mater. 2016, 108, 67–73. [Google Scholar] [CrossRef]
- Zhao, S.B.; Ding, X.X.; Zhao, M.S.; Li, C.Y.; Pei, S.W. Experimental study on tensile strength development of concrete with manufactured sand. Constr. Build. Mater. 2017, 138, 247–253. [Google Scholar] [CrossRef]
- Zhao, S.B.; Ding, X.X.; Li, C.M.; Li, C.Y. Experimental study of bond properties between deformed steel bar and concrete with machine-made sand. J. Build. Mater. 2013, 2, 191–196. [Google Scholar] [CrossRef]
- Li, C.Y.; Zhao, M.L.; Ren, F.; Liang, N.; Li, J.; Zhao, M.S. Bond Properties between full-recycled-aggregate concrete and deformed steel bar. Open Civ. Eng. J. 2017, 11, 685–698. [Google Scholar] [CrossRef]
- Li, C.Y.; LI, G.X.; Shao, W.J.; Guo, Q.; Liu, R. Shear-crack behaviors of reinforced full-recycled aggregate concrete beams. Appl. Mech. Mater 2013, 438–439, 794–799. [Google Scholar] [CrossRef]
- Ministry of Housing and Urban-Rural Construction of the People’s Republic of China. Standard for Technical Requirements and Test Method of Sand and Crushed Stone (or Gravel) for Ordinary Concrete; JGJ 52-2006; China Building Industry Press: Beijing, China, 2006. (In Chinese)
- Ministry of Housing and Urban-Rural Construction of the People’s Republic of China. Code for Design of Concrete Structures; GB50010-2010; China Building Industry Press: Beijing, China, 2010.
- Zhao, S.B. Design Principles of Concrete Structures, 2nd ed.; Tongji University Press: Beijing, China, 2013. [Google Scholar]
- Li, C.Y.; Geng, H.B.; Deng, C.H.; Li, B.C.; Zhao, S.B. Experimental investigation on columns of steel fiber reinforced concrete with recycled aggregates under large eccentric compression load. Materials 2019, 3, 445. [Google Scholar] [CrossRef]
- Li, X.K.; Pei, S.W.; Fan, K.P.; Geng, H.B.; Li, F.L. Bending performance of SFRC beams based on composite-recycled aggregate and matched with 500MPa rebars. Materials 2020, 13, 930. [Google Scholar] [CrossRef] [PubMed]
- Sadowska-Buraczewska, B.; Barnat-Hunek, D.; Szafraniec, M. Influence of recycled high-performance aggregate on deformation and load-carrying capacity of reinforced concrete beams. Materials 2020, 13, 186. [Google Scholar] [CrossRef] [PubMed]
- Pradhan, S.; Kumar, S.; Barai, S.V. Shear performance of recycled aggregate concrete beams: An insight for design aspects. Constr. Build. Mater. 2018, 178, 593–611. [Google Scholar] [CrossRef]
- Rahal, K.N.; Alrefaei, Y.T. Shear strength of recycled aggregate concrete beams containing stirrups. Constr. Build. Mater. 2018, 191, 866–876. [Google Scholar] [CrossRef]
- Arezoumandi, M.; Smith, A.; Volz, J.S.; Khayat, K.H. An experimental study on shear strength of reinforced concrete beams with 100% recycled concrete aggregate. Constr. Build. Mater. 2014, 53, 612–620. [Google Scholar] [CrossRef]
- Gonzἁlez-Fonteboa, B.; Martỉnez-Abella, F. Shear strength of recycled concrete beams. Constr. Build. Mater. 2007, 21, 887–893. [Google Scholar] [CrossRef]
- Gonzἁlez-Fonteboa, B.; Martỉnez-Abella, F.; Martínez-Lage, I.; Eiras-López, J. Structural shear behaviour of recycled concrete with silica fume. Constr. Build. Mater. 2009, 23, 3406–3410. [Google Scholar] [CrossRef]
- Ignjatovic, I.S.; Marinkovic, S.B.; Tosic, N. Shear behaviour of recycled aggregate concrete beams with and without shear reinforcement. Eng. Struct. 2017, 141, 386–401. [Google Scholar] [CrossRef]
- Fathifazl, G.; Razaqpur, A.G.; Isgor, O.B.; Abbas, A.; Fournier, B.; Foo, S. Shear strength of reinforced recycled concrete beams with stirrups. Mag. Concr. Res. 2010, 10, 685–699. [Google Scholar] [CrossRef]
- Tosic, N.; Marinkovic, S.; Ignjatovic, I. A database on flexural and shear strength of reinforced recycled aggregate concrete beams and comparison to Eurocode 2 predictions. Constr. Build. Mater. 2016, 127, 932–944. [Google Scholar] [CrossRef]
- Ministry of Housing and Urban-Rural Construction of the People’s Republic of China. Specification for Mix Proportion Design of Ordinary Concrete; JGJ 55-2011; China Building Industry Press: Beijing, China, 2011. (In Chinese)
- Ministry of Housing and Urban-Rural Construction of the People’s Republic of China. Standard of Test Methods of Concrete Structures; GB/T50152-2012; China Building Industry Press: Beijing, China, 2012. (In Chinese)
- Ministry of Housing and Urban-Rural Construction of the People’s Republic of China. Standard for Test Method of Mechanical Properties on Ordinary Concrete; GB/T 50081-2002; China Building Industry Press: Beijing, China, 2002. (In Chinese)
- Fenwick, R.C.; Paulay, T. Mechanisms of shear resistance of concrete beams. J. Struct. Div. ASCE 1968, 94, 2235–2350. [Google Scholar]
- Li, S.K.; Yu, Y.Y. Shear strength calculation of simple-supported reinforced concrete beams considering shear-span to depth ratio. J. Tongji Univ. 1978, 1, 81–93. [Google Scholar]
- Kotsovos, M.D. Compressive force path concept: Basis for reinforced concrete ultimate limit stat design. ACI Struct. J. 1988, 1, 68–75. [Google Scholar]
- Zhao, S.B.; Zhao, G.F.; Huang, C.K. Experimental research on shear cracking strength of steel fiber reinforced concrete beams. J. Hydroelectr. Eng. 1997, 4, 18–29. [Google Scholar]
- Rebeiz, K.S. Shear strength prediction for concrete members. J. Struct. Eng. 1999, 3, 301–308. [Google Scholar] [CrossRef]
- CEB-FIP Model Code 1990. CEB/FIP Model Code for Concrete Structures; Comite Euro-Intenational Du Beton, Thomas Telford Services Ltd.: London, UK, 1993. [Google Scholar]
- Campana, S.; Ruiz, M.F.; Anastasi, A.; Muttoni, A. Analysis of shear-transfer actions on one-way RC members based on measured cracking pattern and failure kinematics. Mag. Concr. Res. 2013, 6, 386–404. [Google Scholar] [CrossRef]
- Li, F.L.; Zhao, S.B.; Huang, C.K. Design method of shear resistance of steel fiber reinforced concrete beams. Industr. Constr. 2003, 10, 66–68. (In Chinese) [Google Scholar]
- ACI 318-19. Building Code Requirements for Structural Concrete; ACI Committee 318: Farmington Hills, MI, USA, 2019. [Google Scholar]
- DIN 1045-1-2008. Concrete, Reinforced and Prestress ed Concrete Structures-Part 1: Design and Construction; DE-DIN: Berlin, Germany, 2008. [Google Scholar]
- Fib Special Activity Group 5. Fib Model Code for Concrete Structures 2010; Case Postale 88, CH-1015; International Federation for Structural Concrete (fib): Lausanne, Switzerland, 2013. [Google Scholar]













| Properties | Coarse Aggregate | Recycled Fine Aggregate | |
|---|---|---|---|
| Natural | Recycled | ||
| Apparent density (kg/m3) | 2722 | 2674 | 2396 |
| Bulk density (kg/m3) | 1417 | 1293 | 1330 |
| Compact-closed density (kg/m3) | 1592 | 1445 | 1470 |
| Water absorption at 24 h (%) | 0.47 | 5.1 | 9.5 |
| Crush index (%) | 12.8 | 14.3 | - |
| Fineness modulus | - | - | 3.28 |
| Grade | Density (kg/m3) | Consistency | Setting Time (min) | Compressive Strength (MPa) | Flexural Strength (MPa) | |||
|---|---|---|---|---|---|---|---|---|
| Initial | Final | 3d | 28d | 3d | 28d | |||
| 42.5 | 3060 | 27.6 | 160 | 265 | 28.6 | 45.8 | 4.5 | 5.7 |
| Mix identifier | C30 | C40 | C50 | C60 |
|---|---|---|---|---|
| Water/binder ratio | 0.55 | 0.44 | 0.28 | 0.24 |
| Water (kg/m3) | 200 | 200 | 175 | 165 |
| Cement (kg/m3) | 362.8 | 455.7 | 562.5 | 584.4 |
| Fly ash (kg/m3) | - | - | 62.5 | 103.1 |
| Recycled fine aggregate: 0–5 mm (kg/m3) | 725.4 | 693.6 | 663.8 | 648.8 |
| Recycled coarse aggregate: 5–16 mm (kg/m3) | 550.9 | 526.7 | 504.1 | 412.5 |
| Natural coarse aggregate: 16–20 mm (kg/m3) | 450.8 | 431.0 | 412.5 | 403.2 |
| Additional water (kg/m3) | 51.0 | 48.8 | 39.8 | 38.9 |
| Additive (kg/m3) | 0 | 1.82 | 6.25 | 8.94 |
| Beam ID. | b (mm) | h (mm) | h0 (mm) | λ | fc (MPa) | ft (MPa) | Ec (GPa) | Vcr (kN) | Vu (kN) |
|---|---|---|---|---|---|---|---|---|---|
| RLC40-1a | 150 | 312 | 277 | 1 | 27.5 | 2.71 | 31.2 | 60.7 | 242.3 |
| RLC40-1b | 150 | 308 | 273 | 1 | 27.5 | 2.71 | 31.2 | 80.4 | 239.2 |
| RLC40-1.5a | 150 | 306 | 271 | 1.5 | 26.8 | 2.89 | 32.3 | 56.0 | 150.0 |
| RLC40-1.5b | 150 | 310 | 275 | 1.5 | 26.8 | 2.89 | 32.3 | 60.0 | 171.0 |
| RLC40-2a | 150 | 305 | 270 | 2 | 26.6 | 2.75 | 31.1 | 50.5 | 139.6 |
| RLC40-2b | 150 | 308 | 273 | 2 | 26.6 | 2.75 | 31.1 | 42.0 | 132.7 |
| RLC40-3a | 150 | 302 | 267 | 3 | 26.8 | 2.56 | 32.7 | 37.0 | 81.0 |
| RLC40-3b | 150 | 304 | 269 | 3 | 26.8 | 2.56 | 32.7 | 37.0 | 89.0 |
| RLC30-2a | 150 | 309 | 274 | 2 | 23.7 | 2.48 | 30.6 | 40.0 | 120.0 |
| RLC30-2b | 150 | 306 | 271 | 2 | 23.7 | 2.48 | 30.6 | 44.7 | 124.1 |
| RLC50-2a | 150 | 305 | 270 | 2 | 46.1 | 3.03 | 35.7 | 59.2 | 138.2 |
| RLC50-2b | 150 | 309 | 274 | 2 | 46.1 | 3.03 | 35.7 | 54.4 | 140.2 |
| RLC60-2a | 150 | 300 | 265 | 2 | 51.6 | 3.35 | 36.8 | 59.7 | 145.0 |
| RLC60-2b | 150 | 307 | 272 | 2 | 51.6 | 3.35 | 36.8 | 56.5 | 150.1 |
| Beam ID | GB50010 | ACI318-19 | Model Code 2010 | |||
|---|---|---|---|---|---|---|
| Vu/1.35 (kN) | ws,max (mm) | Vu/1.35 (kN) | ws,max (mm) | Vu/1.35 (kN) | ws,max (mm) | |
| RLC40-1a | 101.0 | 0.14 | 52.7 | - | 51.7 | - |
| RLC40-1b | 99.6 | 0.09 | 52.0 | - | 51.1 | - |
| RLC40-1.5a | 88.4 | 0.23 | 51.3 | - | 59.4 | 0.03 |
| RLC40-1.5b | 89.6 | 0.28 | 52.0 | - | 60.2 | 0.04 |
| RLC40-2a | 75.5 | 0.20 | 51.0 | 0.06 | 57.4 | 0.10 |
| RLC40-2b | 76.3 | 0.25 | 51.6 | 0.06 | 57.9 | 0.07 |
| RLC40-3a | 60.3 | 0.20 | 50.5 | 0.08 | 51.7 | 0.10 |
| RLC40-3b | 60.7 | 0.21 | 50.9 | 0.12 | 51.9 | 0.14 |
| RLC30-2a | 71.8 | 0.25 | 50.4 | 0.07 | 57.0 | 0.15 |
| RLC30-2b | 71.0 | 0.18 | 49.9 | 0.02 | 56.6 | 0.04 |
| RLC50-2a | 80.4 | 0.08 | 58.5 | - | 62.2 | 0.04 |
| RLC50-2b | 81.6 | 0.20 | 59.4 | 0.05 | 62.8 | 0.07 |
| RLC60-2a | 84.4 | 0.20 | 59.2 | 0.02 | 62.6 | 0.08 |
| RLC60-2b | 86.6 | 0.16 | 60.7 | 0.04 | 63.7 | 0.06 |
© 2020 by the authors. Licensee MDPI, Basel, Switzerland. This article is an open access article distributed under the terms and conditions of the Creative Commons Attribution (CC BY) license (http://creativecommons.org/licenses/by/4.0/).
Share and Cite
Li, C.; Liang, N.; Zhao, M.; Yao, K.; Li, J.; Li, X. Shear Performance of Reinforced Concrete Beams Affected by Satisfactory Composite-Recycled Aggregates. Materials 2020, 13, 1711. https://doi.org/10.3390/ma13071711
Li C, Liang N, Zhao M, Yao K, Li J, Li X. Shear Performance of Reinforced Concrete Beams Affected by Satisfactory Composite-Recycled Aggregates. Materials. 2020; 13(7):1711. https://doi.org/10.3390/ma13071711
Chicago/Turabian StyleLi, Changyong, Na Liang, Minglei Zhao, Kunqi Yao, Jie Li, and Xiaoke Li. 2020. "Shear Performance of Reinforced Concrete Beams Affected by Satisfactory Composite-Recycled Aggregates" Materials 13, no. 7: 1711. https://doi.org/10.3390/ma13071711
APA StyleLi, C., Liang, N., Zhao, M., Yao, K., Li, J., & Li, X. (2020). Shear Performance of Reinforced Concrete Beams Affected by Satisfactory Composite-Recycled Aggregates. Materials, 13(7), 1711. https://doi.org/10.3390/ma13071711

