Physical Characterization of Sintered NiMnGa Ferromagnetic Shape Memory Alloy
Abstract
1. Introduction
2. Materials and Methods
3. Results and Discussion
3.1. Morphological Investigation
3.2. XRD Analysis
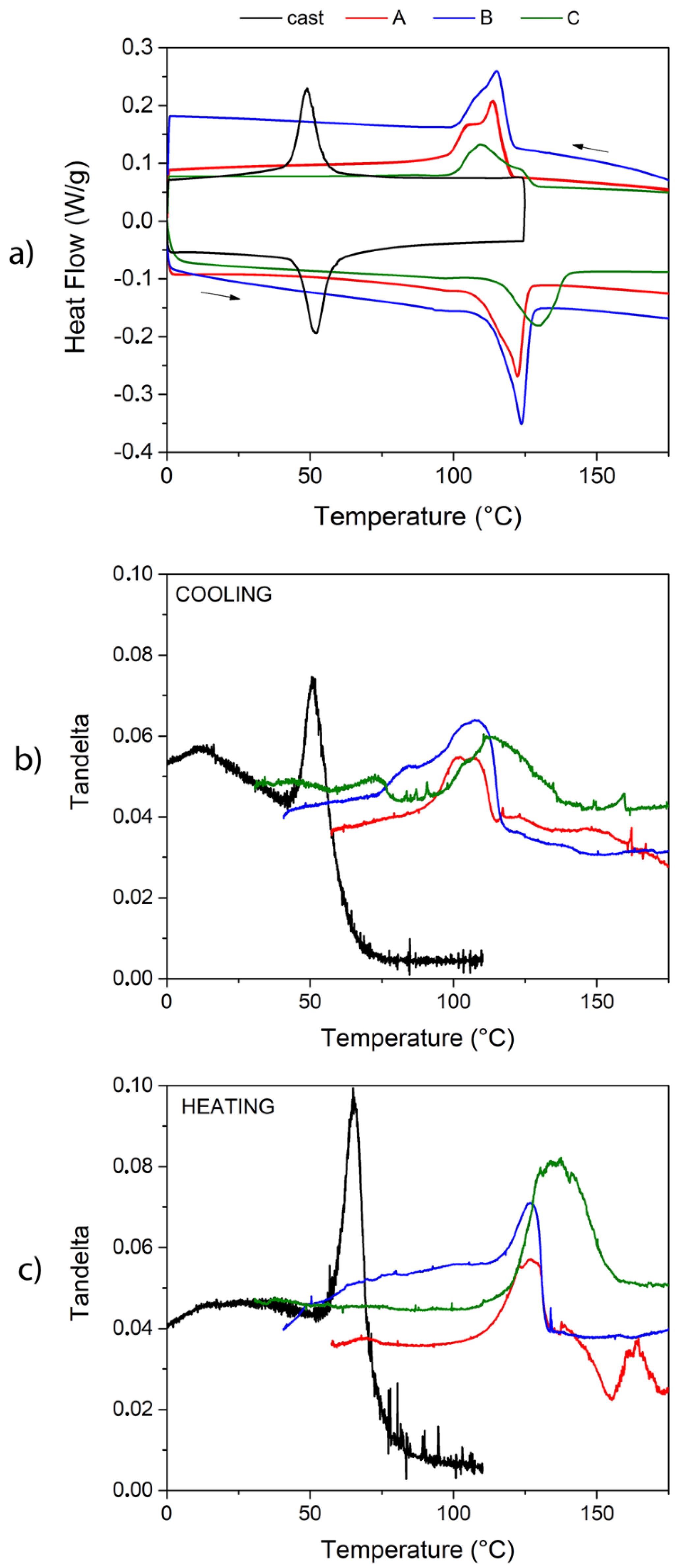
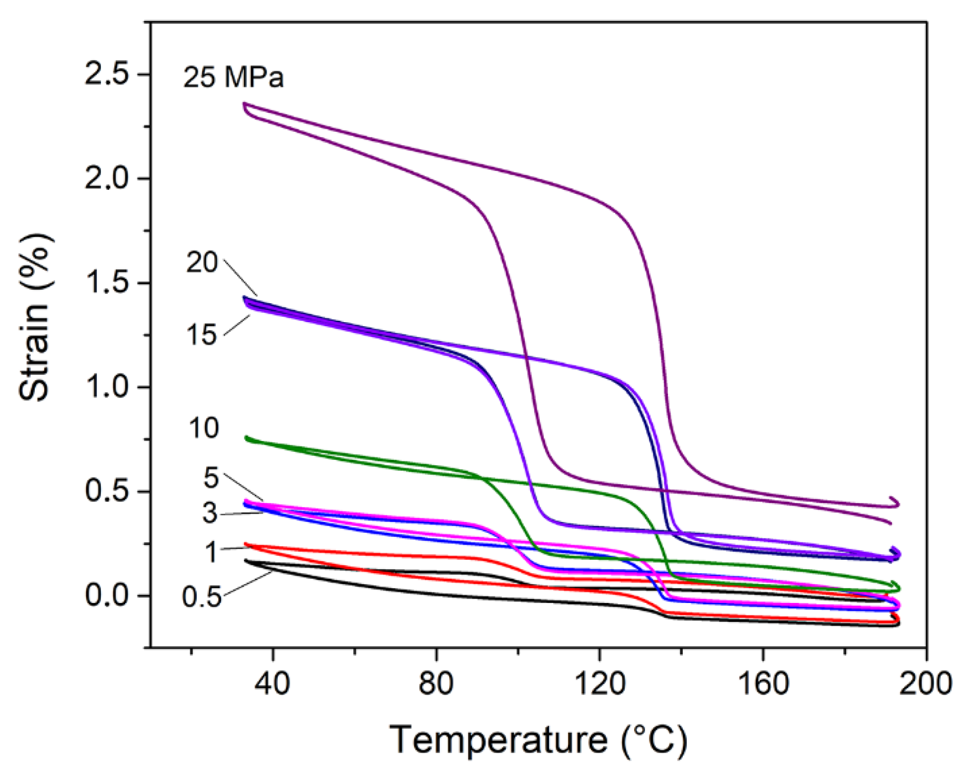
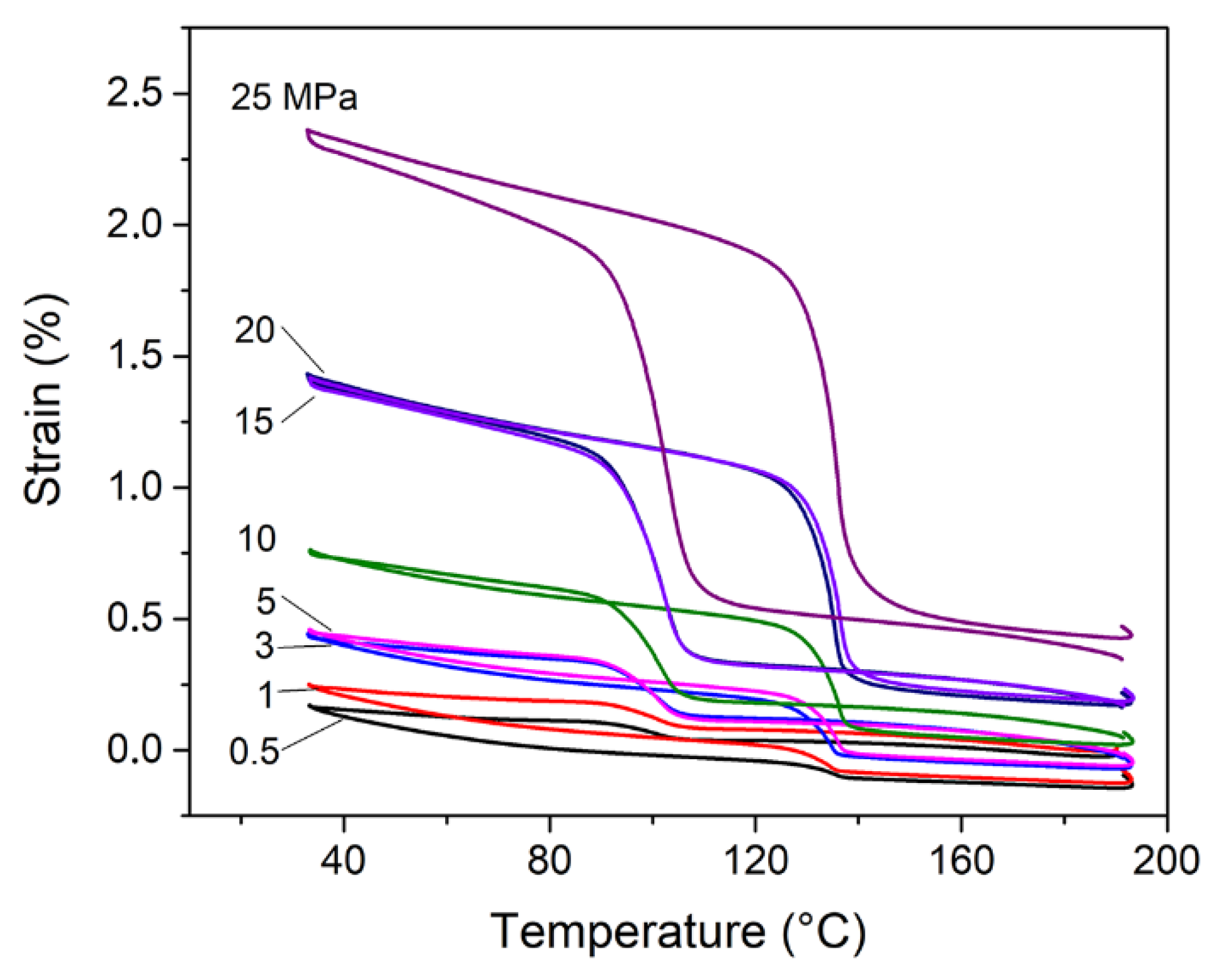
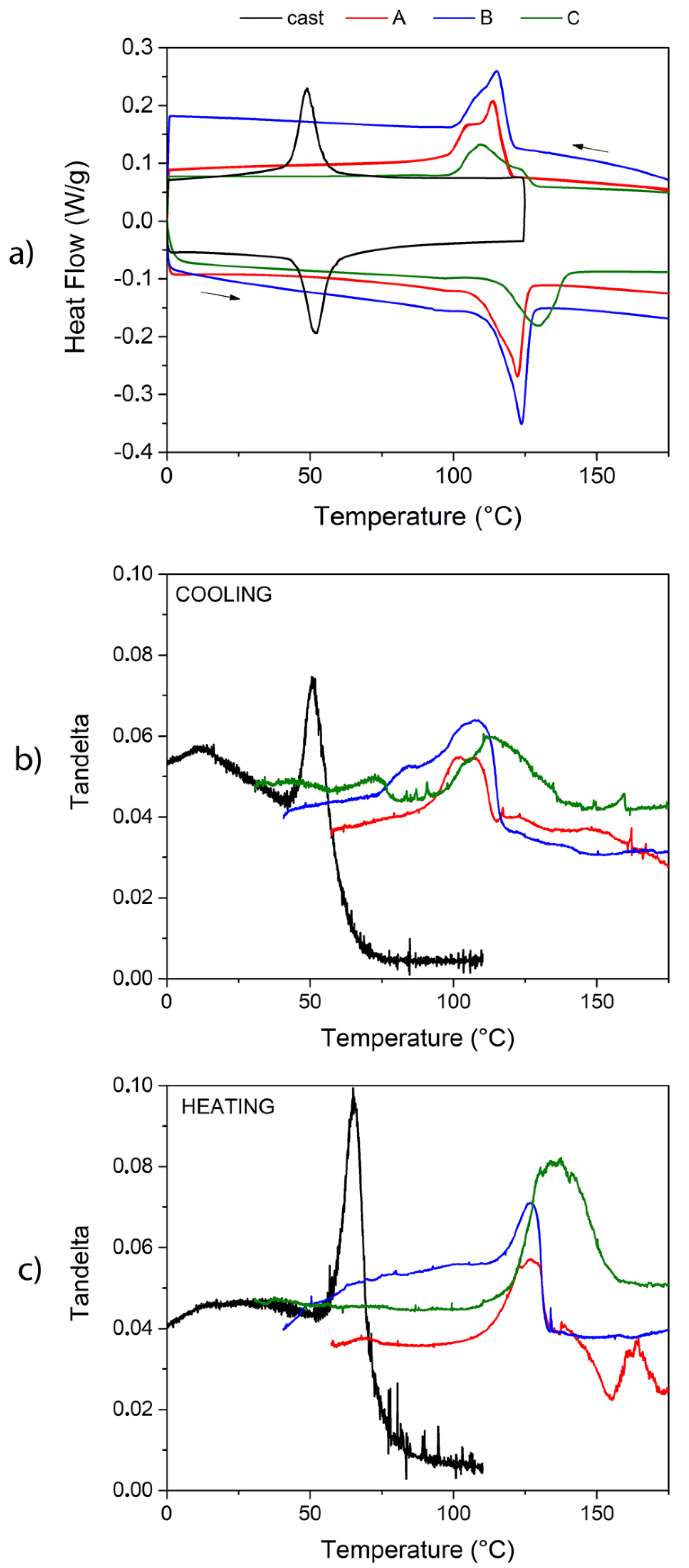
3.3. Thermal and Mechanical Characterization
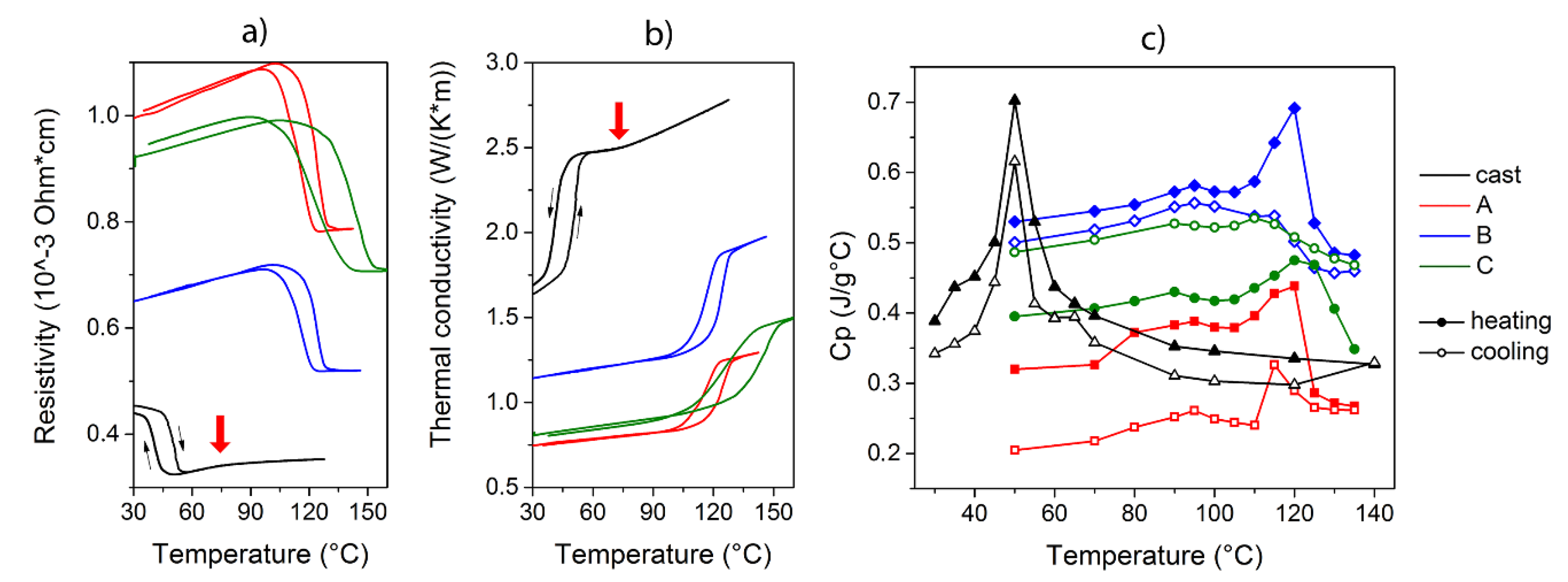
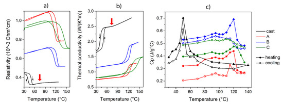
3.4. Electrical and Thermal Properties
4. Conclusions
Author Contributions
Funding
Acknowledgments
Conflicts of Interest
Data Availability
References
- Entel, P.; Buchelnikov, V.D.; Gruner, M.E.; Hucht, A.; Khovailo, V.V.; Nayak, S.K.; Zayak, A.T. Shape Memory Alloys: A Summary of Recent Achievements. Mater. Sci. Forum 2008, 583, 21–41. [Google Scholar] [CrossRef]
- Dunand, D.C.; Müllner, P. Size Effects on Magnetic Actuation in Ni-Mn-Ga Shape-Memory Alloys. Adv. Mater. 2011, 23, 216–232. [Google Scholar] [CrossRef] [PubMed]
- Vallal Peruman, K.; Vinodh Kumar, S.; Pushpanathan, K.; Mahendran, M. Structural and martensitic transformation of bulk, disordered and nanocrystalline Ni2MnGa alloys. Funct. Mater. Lett. 2011, 4, 415–418. [Google Scholar] [CrossRef]
- Mostafaei, A.; Kimes, K.A.; Stevens, E.L.; Toman, J.; Krimer, Y.L.; Ullakko, K.; Chmielus, M. Microstructural evolution and magnetic properties of binder jet additive manufactured Ni-Mn-Ga magnetic shape memory alloy foam. Acta Mater. 2017, 131, 482–490. [Google Scholar] [CrossRef]
- Taylor, S.L.; Shah, R.N.; Dunand, D.C. Ni-Mn-Ga micro-trusses via sintering of 3D-printed inks containing elemental powders. Acta Mater. 2018, 143, 20–29. [Google Scholar] [CrossRef]
- Caputo, M.P.; Solomon, C.V. A facile method for producing porous parts with complex geometries from ferromagnetic Ni-Mn-Ga shape memory alloys. Mater. Lett. 2017, 200, 87–89. [Google Scholar] [CrossRef]
- Caputo, M.P.; Berkowitz, A.E.; Armstrong, A.; Müllner, P.; Solomon, C.V. 4D printing of net shape parts made from Ni-Mn-Ga magnetic shape-memory alloys. Addit. Manuf. 2018, 21, 579–588. [Google Scholar] [CrossRef]
- Mostafaei, A.; De Vecchis, P.R.; Stevens, E.L.; Chmielus, M. Sintering regimes and resulting microstructure and properties of binder jet 3D printed Ni-Mn-Ga magnetic shape memory alloys. Acta Mater. 2018, 154, 355–364. [Google Scholar] [CrossRef]
- Taylor, S.L.; Shah, R.N.; Dunand, D.C. Microstructure and porosity evolution during sintering of Ni-Mn-Ga wires printed from inks containing elemental powders. Intermetallics 2019, 104, 113–123. [Google Scholar] [CrossRef]
- Ahamed, R.; Ghomashchi, R.; Xie, Z.; Chen, L. Powder Metallurgy Synthesis of Heusler Alloys: Effects of Process Parameters. Materials 2019, 12, 1596. [Google Scholar] [CrossRef] [PubMed]
- Tan, C.-L.; Zhang, K.; Tian, X.-H.; Cai, W. Magnetic and mechanical properties of Ni–Mn–Ga/Fe–Ga ferromagnetic shape memory composite. Chin. Phys. B 2015, 24, 057502. [Google Scholar]
- Tian, B.; Tong, Y.X.; Chen, F.; Li, L.; Zheng, Y.F. Microstructure, phase transformation and mechanical property of Ni–Mn–Ga particles/Mg composites. Mater. Sci. Eng. A 2014, 615, 273–277. [Google Scholar] [CrossRef]
- Tian, X.H.; Sui, J.H.; Zhang, X.; Feng, X.; Cai, W. Martensitic transformation, mechanical property and magnetic-field-induced strain of Ni–Mn–Ga alloy fabricated by spark plasma sintering. J. Alloy Compd. 2011, 509, 4081–4083. [Google Scholar] [CrossRef]
- Zhou, L.; Sohn, Y.H. Diffusion and its Application in NiMnGa Alloys. Diffus. Found. 2018, 19, 80–95. [Google Scholar] [CrossRef]
- Besseghini, S.; Pasquale, M.; Passaretti, F.; Sciacca, A.; Villa, E. NiMnGa polycrystalline magnetically activated shape memory alloy: A calorimetric investigation. Scr. Mater. 2001, 44, 2681–2687. [Google Scholar] [CrossRef]
- Yilmaz, S. The geometric resistivity correction factor for several geometrical samples. J. Semicond. 2015, 36, 082001. [Google Scholar] [CrossRef]
- Gelbstein, Y.; Haim, Y.; Kalabukhov, S.; Kasiyan, V.; Hartmann, S.; Rothe, S.; Frage, N. Correlation between thermal and electrical properties of Spark Plasma Sintered (SPS) porous copper. In Sintering Techniques of Materials; Lakshmanan, A., Ed.; IntechOpen: London, UK, 2015; pp. 155–166. ISBN 978-953-51-2033-9. [Google Scholar]
- Righi, F.L.; Albertini, E.; Villa, A.; Paoluzi, G.; Calestani, V.; Chernenko, S.; Besseghini, C.; Ritter, F. Passaretti, Crystal structure of 7M modulated NiMnGa martensitic phase. Acta Mater. 2008, 56, 4529–4535. [Google Scholar] [CrossRef]
- Cong, D.Y.; Zhang, Y.D.; Esling, C.; Wang, Y.D.; Lecomte, J.S.; Zhao, X.; Zuo, L. Microstructural and crystallographic characteristics of interpenetrating and non-interpenetrating multiply twinned nanostructure in a Ni–Mn–Ga ferromagnetic shape memory alloy. Acta Mater. 2011, 59, 7070–7081. [Google Scholar] [CrossRef]
- Villa, E.; Villa, F.; Nespoli, A.; Passaretti, F. Damping properties of NiTi and NiTiCu SMA samples: Correlation with microstructure and perspectives in aerospace and aeronautic applications. In Proceedings of the XXV International Congress of the Italian Association of Aeronautics and Astronautics, Rome, Italy, 9–12 September 2019. [Google Scholar]
- Álvarez-Alonso, P.; Aguilar-Ortiz, C.O.; Villa, E.; Nespoli, A.; Flores-Zúñiga, H.; Chernenko, V.A. Conventional and inverse elastocaloric effect in Ni-Fe-Ga and Ni-Mn-Sn ribbons. Scr. Mater. 2017, 128, 36–40. [Google Scholar] [CrossRef]








| Sample | Size of Grain Powders | Sintering Time at 925 °C |
|---|---|---|
| A | ≤50 μm | 24 h |
| B | ≤50 μm | 72 h |
| C | 50 μm < size ≤ 100 μm | 72 h |
| D | ≤50 μm | 168 h |
| Sample | As (°C) | Af (°C) | ΔHHEAT (J g−1) | Ms (°C) | Mf (°C) | ΔHCOOL (J g−1) |
|---|---|---|---|---|---|---|
| cast | 45.4 | 57.1 | 6.4 | 55.7 | 42.9 | −6.9 |
| A | 108.4 | 125.6 | 8.2 | 119.7 | 98.2 | −8.0 |
| B | 113 | 127.1 | 9.5 | 120.1 | 101.2 | −8.9 |
| C | 115.4 | 137.7 | 7.7 | 128.7 | 101.1 | −6.0 |
Publisher’s Note: MDPI stays neutral with regard to jurisdictional claims in published maps and institutional affiliations. |
© 2020 by the authors. Licensee MDPI, Basel, Switzerland. This article is an open access article distributed under the terms and conditions of the Creative Commons Attribution (CC BY) license (http://creativecommons.org/licenses/by/4.0/).
Share and Cite
Villa, F.; Nespoli, A.; Fanciulli, C.; Passaretti, F.; Villa, E. Physical Characterization of Sintered NiMnGa Ferromagnetic Shape Memory Alloy. Materials 2020, 13, 4806. https://doi.org/10.3390/ma13214806
Villa F, Nespoli A, Fanciulli C, Passaretti F, Villa E. Physical Characterization of Sintered NiMnGa Ferromagnetic Shape Memory Alloy. Materials. 2020; 13(21):4806. https://doi.org/10.3390/ma13214806
Chicago/Turabian StyleVilla, Francesca, Adelaide Nespoli, Carlo Fanciulli, Francesca Passaretti, and Elena Villa. 2020. "Physical Characterization of Sintered NiMnGa Ferromagnetic Shape Memory Alloy" Materials 13, no. 21: 4806. https://doi.org/10.3390/ma13214806
APA StyleVilla, F., Nespoli, A., Fanciulli, C., Passaretti, F., & Villa, E. (2020). Physical Characterization of Sintered NiMnGa Ferromagnetic Shape Memory Alloy. Materials, 13(21), 4806. https://doi.org/10.3390/ma13214806

