Using a Multi-Layer Stacked AlGaN/GaN Structure to Improve the Current Spreading Performance of Ultraviolet Light-Emitting Diodes
Abstract
1. Introduction
2. Experiments
3. Results and Discussion
3.1. HRXRD and Raman Images
3.2. Micrographs of Light Emission and APSYS Simulations
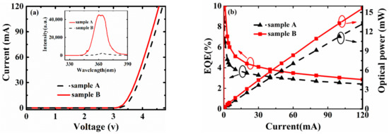
3.3. Photoelectric Characteristics
4. Conclusions
Author Contributions
Funding
Conflicts of Interest
References
- Chen, W.; Zhou, Y.G.; Yu, X.Z.; Xie, Z.L.; Zhang, R.; Zheng, Y.D. The effect of the original thickness of Ag in the graphene-Ag nanodots transparent conductive layer on the electrical and optical properties of GaN-Based UV-LEDs. IEEE Trans. Electron. Devices 2018, 65, 3803–3808. [Google Scholar] [CrossRef]
- Liang, B.L.; Wang, Z.L.; Qian, C.; Ren, Y.; Sun, B.; Yang, D.Z.; Jing, Z.; Fan, J.J. Investigation of step-stress accelerated degradation test strategy for ultraviolet light emitting diodes. Materials 2019, 12, 3119. [Google Scholar] [CrossRef] [PubMed]
- Tao, H.C.; Xu, S.R.; Zhang, J.C.; Li, P.X.; Lin, Z.Y.; Hao, Y. Numerical investigation on the enhanced performance of N-polar AlGaN-based ultraviolet light-emitting diodes with superlattice p-type doping. IEEE Trans. Electron. Devices 2019, 66, 478–483. [Google Scholar] [CrossRef]
- Maslyk, M.; Borysiewicz, M.A.; Pagowska, K.D.; Wzorek, M.; Ekielski, M.; Kamińska, E. The influence of an ultrathin Ni interface layer on the performance of GaN-based 380 nm UV LED with sputtered Zn1-xMgxO: Al transparent p-type electrode. Thin Solid Films 2018, 649, 61–68. [Google Scholar] [CrossRef]
- Guo, X.; Schubert, E.F. Current crowding in GaN/InGaN light emitting diodes on insulating substrates. J. Appl. Phys. 2001, 90, 4191–4195. [Google Scholar] [CrossRef]
- Huh, C.; Lee, J.M.; Kim, D.J.; Park, S.J. Improvement in light-output efficiency of InGaN/GaN multiple-quantum well light-emitting diodes by current blocking layer. J. Appl. Phys. 2002, 92, 2248–2250. [Google Scholar] [CrossRef]
- Chen, T.M.; Wang, S.J.; Uang, K.M.; Kuo, H.Y.; Tsai, C.C.; Lee, W.C.; Kuan, H. Current spreading and blocking designs for improving light output power from the vertical-structured GaN-based light-emitting diodes. IEEE Photonics Technol. Lett. 2008, 20, 703–705. [Google Scholar] [CrossRef]
- Zhou, S.J.; Wang, S.F.; Liu, S.; Ding, H. High power GaN-based LEDs with low optical loss electrode structure. Opt. Laser Technol. 2013, 54, 321–325. [Google Scholar] [CrossRef]
- Ryu, H.Y.; Shim, J.I. Effect of current spreading on the efficiency droop of InGaN light-emitting diodes. Opt. Express 2011, 19, 2886–2894. [Google Scholar] [CrossRef]
- Xi, Y.; Schubert, E.F. Junction--temperature measurement in GaN ultraviolet light-emitting diodes using diode forward voltage method. Appl. Phys. Lett. 2004, 85, 2163–2165. [Google Scholar] [CrossRef]
- Malyutenko, V.K.; Bolgov, S.S.; Podoltsev, A.D. Current crowding effect on the ideality factor and efficiency droop in blue lateral InGaN/GaN light emitting diodes. Appl. Phys. Lett. 2010, 97, 251110-1–251110-3. [Google Scholar] [CrossRef]
- Li, C.K.; Wu, Y.R. Study on the current spreading effect and light extraction enhancement of vertical GaN/InGaN LEDs. IEEE Trans. Electron. Devices 2012, 59, 400–407. [Google Scholar] [CrossRef]
- Wang, S.J.; Chen, S.L.; Uang, K.M.; Lee, W.C.; Chen, T.M.; Chen, C.H.; Liou, B.W. The use of transparent conducting indium-zinc oxide film as a current spreading layer for vertical-structured high-power GaN-based light-emitting diodes. IEEE Photonics Technol. Lett. 2006, 18, 1146–1148. [Google Scholar] [CrossRef]
- Wang, S.J.; Uang, K.M.; Chen, S.L.; Yang, Y.C.; Chang, S.C.; Chen, T.M.; Chen, C.H. Use of patterned laser liftoff process and electroplating nickel layer for the fabrication of vertical-structrued GaN-based light-emitting diodes. Appl. Phys. Lett. 2005, 87, 011111-1–011111-3. [Google Scholar] [CrossRef]
- Kim, H.; Park, S.J.; Hwang, H. Effects of current spreading on the performance of GaN-based light-emitting diodes. IEEE Trans. Electron. Devices 2001, 48, 1065–1069. [Google Scholar] [CrossRef]
- Sheu, G.J.; Hwu, F.S.; Chen, J.C.; Sheu, J.K.; Lai, W.C. Effect of the electrode pattern on current spreading and driving voltage in a GaN/sapphire LED chip. J. Electrochem. Soc. 2008, 155, H836–H840. [Google Scholar] [CrossRef]
- Lee, K.H.; Moon, Y.T.; Oh, S.K.; Kwak, J.S. High efficiency and ESD of GaN-based LEDs with patterned ion-damaged current blocking layer. IEEE Photonics Technol. Lett. 2015, 27, 149–152. [Google Scholar] [CrossRef]
- Liou, J.K.; Chen, C.C.; Chou, P.C.; Cheng, S.Y.; Tsai, J.H.; Liu, R.C.; Liu, W.C. Effect of the use of an aluminum reflecting and an SiO2 insulating layers (RIL) on the performance of a GaN-based light-emitting diode with the naturally textured p-GaN surface. IEEE Trans. Electron. Devices 2013, 60, 2282–2289. [Google Scholar] [CrossRef]
- Hsu, C.S.; Chen, S.Y.; Liou, J.K.; Chen, W.C.; Chang, C.H.; Chen, C.Y.; Cheng, S.Y.; Guo, D.F.; Liu, W.C. Performance enhancement of GaN-based light-emitting diodes by using transparent Ag metal line patterns. IEEE Trans. Electron. Devices 2017, 64, 2542–2547. [Google Scholar] [CrossRef]
- Yang, J.C.; Pei, Y.L.; Fan, B.F.; Huang, S.J.; Chen, Z.M.; Tong, C.S.; Luo, H.T.; Liang, J.; Wang, G. GaN-based LEDs with Al-doped ZnO transparent conductive layer grown by metal organic chemical vapor deposition: Ultralow forward voltage and highly uniformity. IEEE Electron. Device Lett. 2015, 36, 372–374. [Google Scholar] [CrossRef]
- Sheu, J.K.; Lu, Y.S.; Lee, M.L.; Lai, W.C.; Kuo, C.H.; Tun, C.J. Enhanced efficiency of GaN-based light-emitting diodes with periodic textured Ga-doped ZnO transparent contact layer. Appl. Phys. Lett. 2017, 90, 263511–263513. [Google Scholar] [CrossRef]
- Sheremet, V.; Genç, M.; Elçi, M.; Sheremet, N.; Aydιnlι, A.; Altuntas, I.; Ding, K.; Avrutin, V.; Özgür, Ü.; Morkoç, H. The role of ITO resistivity on current spreading and leakage in InGaN/GaN light emitting diodes. Superlattices Microstruct. 2017, 111, 1177–1194. [Google Scholar] [CrossRef]
- Kim, H.; Lee, J.M.; Huh, C.; Kim, S.W.; Kim, D.J.; Park, S.J.; Hwang, H. Modeling of a GaN-based light-emitting diode for uniform current spreading. Appl. Phys. Lett. 2000, 77, 1903–1904. [Google Scholar] [CrossRef]
- Wen, T.C.; Chang, S.J.; Lee, C.T.; Lai, W.C.; Sheu, J.K. Nitride-based LEDs with modulation-doped Al0.12Ga0.88N-GaN superlattice structures. IEEE Trans. Electron. Devices. 2005, 51, 1743–1746. [Google Scholar] [CrossRef]
- Liu, X.F.; Feng, Y.C.; Peng, D.S. Influence of the thickness of super lattice interlayer on the dislocation density of HT-GaN on Si (111). Chin. J. Electron. Devices 2008, 31, 61–64. [Google Scholar] [CrossRef]
- Liu, H.H.; Chen, P.R.; Lee, G.Y.; Chyi, J.I. Efficiency enhancement of InGaN LEDs with an n-type AlGaN/GaN/InGaN current spreading layer. IEEE Electron. Device Lett. 2011, 32, 1409–1410. [Google Scholar] [CrossRef]
- Zhang, J.C.; Zhao, D.G.; Wang, J.F.; Wang, Y.T.; Chen, J.; Liu, J.P.; Yang, H. The influence of AlN buffer layer thickness on the properties of GaN epilayer. J. Cryst. Growth 2004, 268, 24–29. [Google Scholar] [CrossRef]
- Brazel, E.G.; Chin, M.A.; Narayanamurti, V. Direct observation of localized high current densities in GaN films. Appl. Phys. Lett. 1999, 74, 2367–2369. [Google Scholar] [CrossRef]
- Frens, A.M.; Bennebroek, M.T.; Zakrzewski, A.; Schmidt, J.; Chen, W.M.; Janzén, E.; Lindström, J.L.; Monemar, B. Observation of rapid direct charge transfer between deep defects in silicon. Phys. Rev. Lett. 1994, 72, 2939–2942. [Google Scholar] [CrossRef]
- Monemar, B.; Sernelius, B.E. Defect related issues in the “current roll-off” in InGaN based light emitting diodes. Appl. Phys. Lett. 2007, 91, 181103. [Google Scholar] [CrossRef]
- Lobanova, A.V.; Kolesnikova, A.L.; Romanov, A.E.; Karpov, S.Y.; Rudinsky, M.E.; Yakovlev, E.V. Mechanism of stress relaxation in (0001) InGaN/GaN via formation of V-shaped dislocation half-loops. Appl. Phys. Lett. 2013, 103, 152106. [Google Scholar] [CrossRef]
- Cai, Y.F.; Zhu, C.Q.; Jiu, L.; Gong, Y.P.; Yu, X.; Bai, J.; Esendag, V.; Wang, T. Strain analysis of GaN HEMTs on (111) silicon with two transitional AlxGa1-xN layers. Materials 2018, 11, 1968. [Google Scholar] [CrossRef] [PubMed]
- Eliashevich, I.; Li, Y.X.; Osinsky, A.; Tran, C.A.; Brown, M.G.; Karlicek, R.F. InGaN blue light-emitting diodes with optimized n-GaN layer. Proc. SPIE 1999, 3621, 28–36. [Google Scholar] [CrossRef]
- Zhang, Z.H.; Chen, S.W.H.; Chu, C.S.; Tian, K.K.; Fang, M.Q.; Zhang, R.H.; Bi, W.G.; Kuo, H.C. Nearly efficiency-droop-free AlGaN-based ultraviolet light-emitting diodes with a specifically designed superlattice p-type electron blocking layer for high Mg doping efficiency. Nanoscale Res. Lett. 2018, 13. [Google Scholar] [CrossRef]
- Chang, S.J.; Shen, C.F.; Shei, S.C.; Chuang, R.W.; Chang, C.S.; Chen, W.S.; Ko, T.K.; Sheu, J.K. Highly reliable nitride-based LEDs with internal ESD protection diodes. IEEE Trans. Device Mater. Reliab. 2006, 6, 442–447. [Google Scholar] [CrossRef]






© 2020 by the authors. Licensee MDPI, Basel, Switzerland. This article is an open access article distributed under the terms and conditions of the Creative Commons Attribution (CC BY) license (http://creativecommons.org/licenses/by/4.0/).
Share and Cite
Wang, Y.; Li, P.; Zhang, X.; Xu, S.; Zhou, X.; Wu, J.; Yue, W.; Hao, Y. Using a Multi-Layer Stacked AlGaN/GaN Structure to Improve the Current Spreading Performance of Ultraviolet Light-Emitting Diodes. Materials 2020, 13, 454. https://doi.org/10.3390/ma13020454
Wang Y, Li P, Zhang X, Xu S, Zhou X, Wu J, Yue W, Hao Y. Using a Multi-Layer Stacked AlGaN/GaN Structure to Improve the Current Spreading Performance of Ultraviolet Light-Emitting Diodes. Materials. 2020; 13(2):454. https://doi.org/10.3390/ma13020454
Chicago/Turabian StyleWang, Yanli, Peixian Li, Xinyu Zhang, Shengrui Xu, Xiaowei Zhou, Jinxing Wu, Wenkai Yue, and Yue Hao. 2020. "Using a Multi-Layer Stacked AlGaN/GaN Structure to Improve the Current Spreading Performance of Ultraviolet Light-Emitting Diodes" Materials 13, no. 2: 454. https://doi.org/10.3390/ma13020454
APA StyleWang, Y., Li, P., Zhang, X., Xu, S., Zhou, X., Wu, J., Yue, W., & Hao, Y. (2020). Using a Multi-Layer Stacked AlGaN/GaN Structure to Improve the Current Spreading Performance of Ultraviolet Light-Emitting Diodes. Materials, 13(2), 454. https://doi.org/10.3390/ma13020454

