Cu-Doped KCl Unfolded Band Structure and Optical Properties Studied by DFT Calculations
Abstract
1. Introduction
2. Theoretical Methods and Computational Details
3. Results and Discussion
3.1. Optimized Lattice Constant
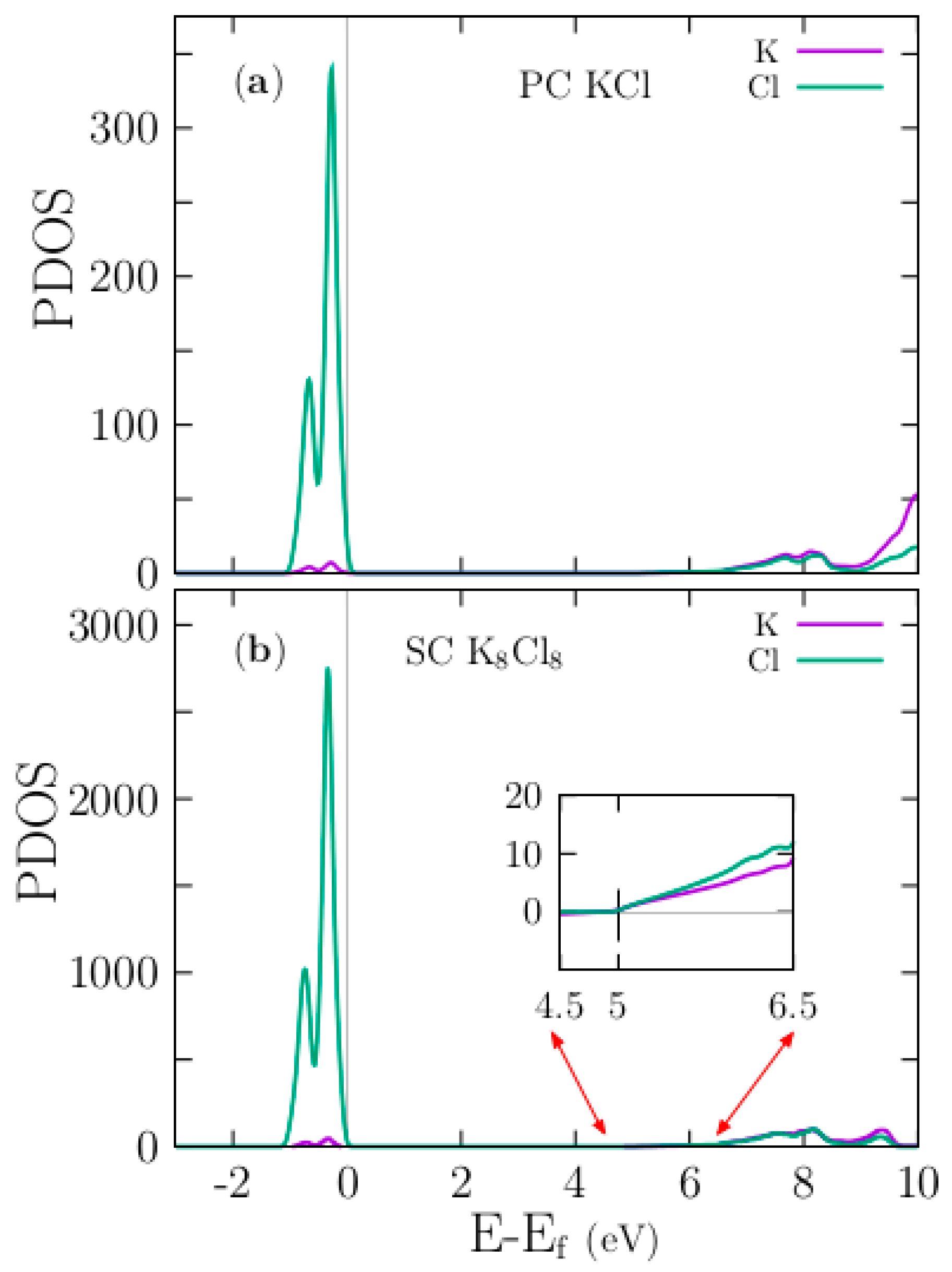
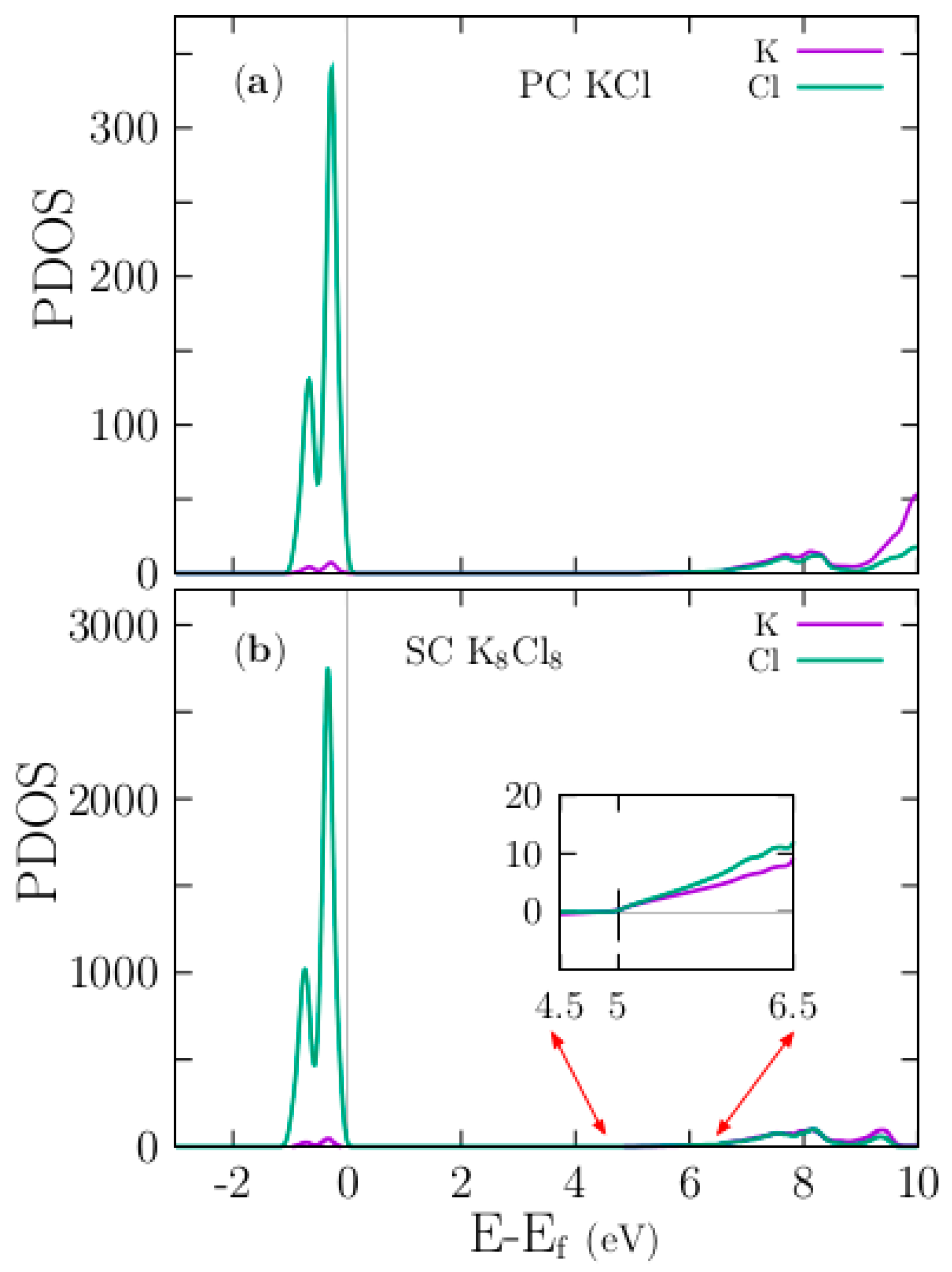
3.2. Electronic Band Structure and Density of States
3.3. Folded Band Structure of the Doped K7Cl8:Cu
3.4. Unfolded Band Structure of Pristine K8Cl8 and Doped K7Cl8:Cu
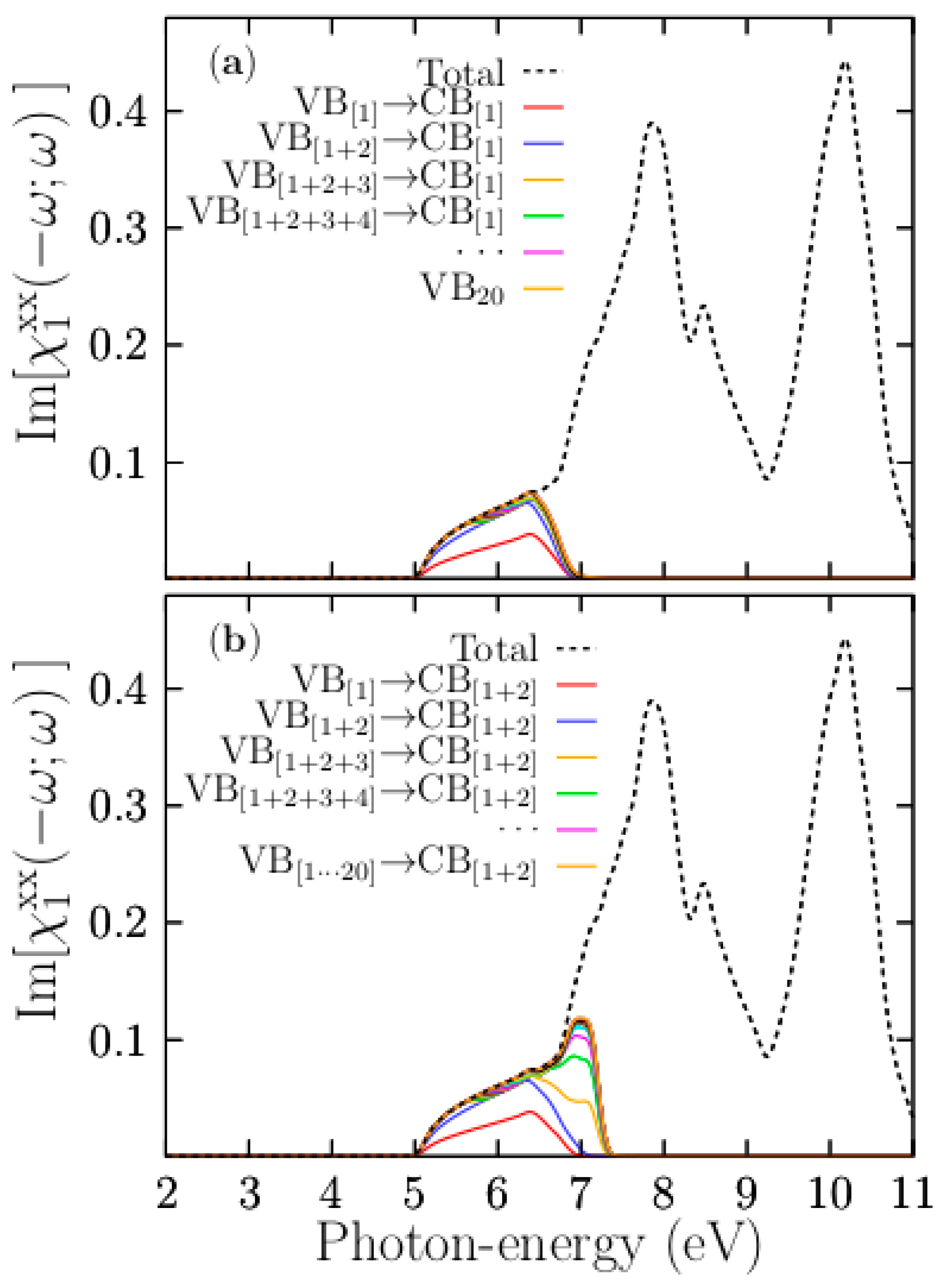
3.5. Optical Properties
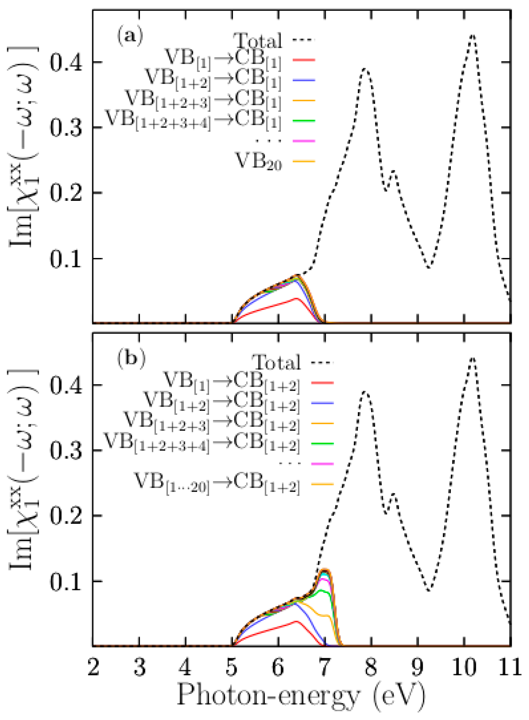
3.6. Breakdown of the Part of Pristine Supercell (SC) KCl into Different Band Contributions
3.7. The Part of the Doped K7Cl8:Cu
3.8. Breakdown of the Part of the Doped SC K7Cl8:Cu into Band Contributions
4. Conclusions
Supplementary Materials
Author Contributions
Funding
Acknowledgments
Conflicts of Interest
References
- Bhandari, K.P. Optical properties of alkali halides in ultraviolet spectral regions. Optics 2019, 1, 18–31. [Google Scholar] [CrossRef]
- Baldochi, S.; Ranieri, I. Alkali halide crystals growth. In Reference Module in Materials Science and Materials Engineering; Elsevier: Amsterdam, The Netherlands, 2016; Volume 657, pp. 74–78. [Google Scholar]
- Sirdeshmukh, D.B.; Sirdeshmukh, L.; Subhadra, K.G. Alkali Halides: A handbook of Physical Properties; Springer: Berlin/Heidelberg, Germany, 2001; Volume 49, pp. 1–281. [Google Scholar] [CrossRef]
- Gopikrishnan, C.R.; Jose, D.; Datta, A. Electronic structure, lattice energies and born exponents for alkali halides from first principles. AIP Adv. 2012, 2, 012131. [Google Scholar] [CrossRef]
- Zhang, C.; Andersson, T.; Svensson, S.; Bjorneholm, O.; Huttula, M.; Mikkela, M.H.; Tchaplyguine, M.; Ohrwall, G. Ionic bonding in free nanoscale NaCl clusters as seen by photoelectron spectroscopy. J. Chem. Phys. 2011, 134, 124507. [Google Scholar] [CrossRef] [PubMed]
- Chen, Z.; Xiao, H.; Zu, X. First Principles Study of Structural, Electronic and Optical Properties of KCl Crystal. Chem. Phys. 2006, 330, 1–8. [Google Scholar] [CrossRef]
- Cepanec, K.; Vugrinec, S.; Cvetkovic, T.; Ranilovic, J. Potassium Chloride-Based Salt Substitutes: A Critical Review with a Focus on the Patent Literature. Compr. Rev. Food Sci. Food Saf. 2017, 16, 881–894. [Google Scholar] [CrossRef]
- Palik, E. Handbook of Optical Constants of Solids. In Handbook of Thermo-Optic Coefficients of Optical Materials with Applications; Elsevier Science: Amsterdam, The Netherlands, 1997. [Google Scholar]
- Feridoun, S.; Ebrahim, H.A.; Somayeh, S.P.; Taravati, A. KCl single crystals growth with Mn, Ag and in impurities by Czochralski method and study of impurities influence on their properties. Open J. Phys. Chem. 2012, 2, 185–188. [Google Scholar] [CrossRef]
- Polosan, S.; Tsuboi, T.; Apostol, E.; Topa, V. Electrolytic reduction of Tl+ ions in KCl crystals. Opt. Mater. 2007, 30, 95–97. [Google Scholar] [CrossRef]
- Shiehpour, M.; Solgi, S.; Tafreshi, M.J. ZnO-doped KCl single crystal with enhanced UV emission lines. Appl. Phys. A 2019, 125, 1–9. [Google Scholar] [CrossRef]
- Tomiki, T. Optical Constants and Exciton States in KCl Single Crystals. II. The Spectra of Reflectivity and Absorption Constant. J. Phys. Soc. Jpn. 1967, 23, 1280–1296. [Google Scholar] [CrossRef]
- Baldini, G.; Bosacchi, B. Optical properties of alkali-halide crystals. Phys. Rev. 1968, 166, 863–870. [Google Scholar] [CrossRef]
- Baldini, G.; Bosacchi, A.; Bosacchi, B. Exciton-phonon interaction in alkali halides. Phys. Rev. Lett. 1969, 23, 846–848. [Google Scholar] [CrossRef]
- Said, K.I.; Green, G.W. Optical properties of caesium iodide in the vacuum ultraviolet. J. Phys. C Solid State Phys. 1977, 10, 479–488. [Google Scholar] [CrossRef]
- Philipp, H.R.; Ehrenreich, H. Intrinsic optical properties of alkali halides. Phys. Rev. 1963, 131, 2016–2022. [Google Scholar] [CrossRef]
- Blechschmidt, D.; Klucker, R.; Skibowski, M. Dielectric properties of KCl, KBr, and KI single crystals in the extreme ultraviolet up to 35 eV. Phys. Status Solidi 1969, 36, 625–634. [Google Scholar] [CrossRef]
- Kondo, S.I.; Nakamura, K. Strain effects on the fundamental absorption in alkali iodides. J. Phys. Soc. Jpn. 1970, 28, 1381. [Google Scholar] [CrossRef]
- Erdinc, B.; Secuk, M.N.; Aycibin, M.; Gülebagan, S.E.; Dogan, E.K.; Akkus, H. Ab-initio calculations of physical properties of alkali chloride XCl (X = K, Rb and Li) under pressure. Comput. Condens. Matter 2015, 4, 6–12. [Google Scholar] [CrossRef]
- Shamp, A.; Saitta, P.; Zurek, E. Theoretical predictions of novel potassium chloride phases under pressure. Phys. Chem. Chem. Phys. 2015, 17, 12265–12272. [Google Scholar] [CrossRef]
- Aguado, A. Ga+, In+, and Tl+ impurities in alkali halide crystals: Distortion trends. J. Chem. Phys. 2000, 113, 8680–8685. [Google Scholar] [CrossRef]
- Bouhdjer, L.; Addala, S.; Chala, A.; Halimi, O.; Boudine, B.; Sebais, M. Elaboration and characterization of a KCl single crystal doped with nanocrystals of a Sb2O3 semiconductor. J. Semicond. 2013, 34, 043001. [Google Scholar] [CrossRef]
- Myasnikova, A.; Mysovsky, A.; Paklin, A.; Shalaev, A. Structure and optical properties of copper impurity in LiF and NaF crystals from ab initio calculations. Chem. Phys. Lett. 2015, 633, 218–222. [Google Scholar] [CrossRef]
- Daniel, D.J.; Ramasamy, P.; Madhusoodanan, U. Optical properties and irradiation effects of Cu+ and Eu2+ doped alkali halide single crystals grown from melt using Czochralski technique. Optik 2013, 124, 1466–1468. [Google Scholar] [CrossRef]
- Winter, N.W.; Pitzer, R.M.; Temple, D.K. Theoretical study of a Cu+ ion impurity in a NaF host. J. Chem. Phys. 1987, 86, 3549–3556. [Google Scholar] [CrossRef]
- Preto, P.D.; Balraj, V.; Dhabekar, B.S.; Watanabe, S.; Rao, T.G.; Cano, N.F. Synthesis, thermoluminescence, defect center and dosimetric characteristics of LiF: Mg, Cu, P, Si phosphor. Appl. Radiat. Isot. 2017, 130, 21–28. [Google Scholar] [CrossRef] [PubMed]
- Preto, P.D.; Balraj, V.; Dhabekar, B.S.; Watanabe, S.; Rao, T.G. Synthesis, thermoluminescence, defect centers and dosimetric characteristics of LiF:Mg,Cu,B phosphor. Appl. Radiat. Isot. 2016, 118, 95–101. [Google Scholar] [CrossRef] [PubMed]
- Núñez-González, R.; Aceves, R.; Cabellos, J.L.; Posada-Amarillas, A. Effect of substitutional Cu atoms on the electronic and optical properties of KCl: A DFT approach. Mater. Today Commun. 2020, 22, 100831. [Google Scholar] [CrossRef]
- Goldberg, A.; McClure, D.; Pedrini, C. Optical absorption and emission spectra of Cu+: NaF single crystals. Chem. Phys. Lett. 1982, 87, 508–511. [Google Scholar] [CrossRef]
- Uhl, E.; Leitão, A.A.; Rocha, A.B. Transition energies and oscillator strength calculated for d–s symmetry-forbidden electronic transition for Cu+ impurities in sodium fluoride host lattice. Chem. Phys. 2011, 389, 102–106. [Google Scholar] [CrossRef]
- Sun, Y.; Zhang, J.; Ding, J.; Yan, X. First-principles study on electronic and optical properties of Cu-doped LiF with Li vacancy. Phys. B Condens. Matter 2012, 407, 2458–2461. [Google Scholar] [CrossRef]
- Cabellos, J.L.; Mendoza, B.S.; Escobar, M.A.; Nastos, F.; Sipe, J.E. Effects of nonlocality on second-harmonic generation in bulk semiconductors. Phys. Rev. B 2009, 80, 155205. [Google Scholar] [CrossRef]
- Walker, D.; Verma, P.; Cranswick, L.; Jones, R.; Clark, S.; Buhre, S. Halite-sylvite thermoelasticity. Am. Mineral. 2004, 89. [Google Scholar] [CrossRef]
- Schwabegger, G.; Djuric, T.; Sitter, H.; Resel, R.; Simbrunner, C. Morphological and structural investigation of sexithiophene growth on KCl (100). Cryst. Growth Des. 2013, 13, 536–542. [Google Scholar] [CrossRef] [PubMed]
- Li, J.; Duan, C.g.; Gu, Z.q.; Wang, D.s. Linear optical properties and multiphoton absorption of alkali halides calculated from first principles. Phys. Rev. B 1998, 57, 2222–2228. [Google Scholar] [CrossRef]
- Aroyo, M.I.; Kirov, A.; Capillas, C.; Perez-Mato, J.M.; Wondratschek, H. Bilbao Crystallographic Server. II. Representations of crystallographic point groups and space groups. Acta Crystallogr. Sect. A 2006, 62, 115–128. [Google Scholar] [CrossRef] [PubMed]
- Setyawan, W.; Curtarolo, S. High-throughput electronic band structure calculations: Challenges and tools. Comput. Mater. Sci. 2010, 49, 299–312. [Google Scholar] [CrossRef]
- Cartoixa, X.; Palummo, M.; Hauge, H.I.T.; Bakkers, E.P.A.M.; Rurali, R. Optical emission in hexagonal SiGe nanowires. Nano Lett. 2017, 17, 4753–4758. [Google Scholar] [CrossRef]
- Popescu, V.; Zunger, A. Extracting E versus ~k effective band structure from supercell calculations on alloys and impurities. Phys. Rev. B 2012, 85, 085201. [Google Scholar] [CrossRef]
- Maspero, R.; Sweeney, S.J.; Florescu, M. Unfolding the band structure of GaAsBi. J. Phys. Condens. Matter 2016, 29, 075001. [Google Scholar] [CrossRef]
- Dargam, T.G.; Capaz, R.B.; Koiller, B. Disorder and size effects in the envelope-function approximation. Phys. Rev. B 1997, 56, 9625–9629. [Google Scholar] [CrossRef]
- Boykin, T.B.; Klimeck, G. Practical application of zone-folding concepts in tight-binding calculations. Phys. Rev. B 2005, 71, 115215. [Google Scholar] [CrossRef]
- Popescu, V.; Zunger, A. Effective band structure of random alloys. Phys. Rev. Lett. 2010, 104, 236403. [Google Scholar] [CrossRef]
- Chen, M.; Weinert, M. Layer k-projection and unfolding electronic bands at interfaces. Phys. Rev. B 2018, 98, 245421. [Google Scholar] [CrossRef]
- Lee, C.C.; Yamada-Takamura, Y.; Ozaki, T. Unfolding method for first-principles LCAO electronic structure calculations. J. Phys. Condens. Matter 2013, 25, 345501. [Google Scholar] [CrossRef] [PubMed]
- Ku, W.; Berlijn, T.; Lee, C.C. Unfolding first-principles band structures. Phys. Rev. Lett. 2010, 104, 216401. [Google Scholar] [CrossRef]
- Allen, P.B.; Berlijn, T.; Casavant, D.A.; Soler, J.M. Recovering hidden Bloch character: Unfolding electrons, phonons, and slabs. Phys. Rev. B 2013, 87, 085322. [Google Scholar] [CrossRef]
- Rubel, O.; Bokhanchuk, A.; Ahmed, S.J.; Assmann, E. Unfolding the band structure of disordered solids: From bound states to high-mobility Kane fermions. Phys. Rev. B 2014, 90, 115202. [Google Scholar] [CrossRef]
- Medeiros, P.V.C.; Stafström, S.; Björk, J. Effects of extrinsic and intrinsic perturbations on the electronic structure of graphene: Retaining an effective primitive cell band structure by band unfolding. Phys. Rev. B 2014, 89, 041407. [Google Scholar] [CrossRef]
- Medeiros, P.V.C.; Tsirkin, S.S.; Stafström, S.; Björk, J. Unfolding spinor wave functions and expectation values of general operators: Introducing the unfolding-density operator. Phys. Rev. B 2015, 91, 041116. [Google Scholar] [CrossRef]
- Huang, H.; Zheng, F.; Zhang, P.; Wu, J.; Gu, B.L.; Duan, W. A general group theoretical method to unfold band structures and its application. New J. Phys. 2014, 16, 033034. [Google Scholar] [CrossRef][Green Version]
- Kosugi, T.; Nishi, H.; Kato, Y.; Matsushita, Y.i. Periodicity-free unfolding method of electronic energy spectra. J. Phys. Soc. Jpn. 2017, 86, 124717. [Google Scholar] [CrossRef]
- Mayo, S.G.; Yndurain, F.; Soler, J.M. Band unfolding made simple. J. Phys. Condens. Matter 2020, 32, 205902. [Google Scholar] [CrossRef]
- Dombrowski, D.; Jolie, W.; Petrović, M.; Runte, S.; Craes, F.; Klinkhammer, J.; Kralj, M.; Lazić, P.; Sela, E.; Busse, C. Energy-dependent chirality effects in quasifree-standing graphene. Phys. Rev. Lett. 2017, 118, 116401. [Google Scholar] [CrossRef] [PubMed]
- Warmuth, J.; Bruix, A.; Michiardi, M.; Hänke, T.; Bianchi, M.; Wiebe, J.; Wiesendanger, R.; Hammer, B.; Hofmann, P.; Khajetoorians, A.A. Band-gap engineering by Bi intercalation of graphene on Ir(111). Phys. Rev. B 2016, 93, 165437. [Google Scholar] [CrossRef]
- Abdollahi, A.; Golzan, M.M.; Aghayar, K. Electronic properties of GaxIn1-xP ternary alloy from first-principles. Comput. Mater. Sci. 2016, 120, 70–76. [Google Scholar] [CrossRef]
- Molina-Sánchez, A.; Sangalli, D.; Hummer, K.; Marini, A.; Wirtz, L. Effect of spin-orbit interaction on the optical spectra of single-layer, double-layer, and bulk MoS2. Phys. Rev. B 2013, 88, 045412. [Google Scholar] [CrossRef]
- Sipe, J.E.; Shkrebtii, A.I. Second-order optical response in semiconductors. Phys. Rev. B 2000, 61, 5337–5352. [Google Scholar] [CrossRef]
- Salazar, C.; Cheng, J.L.; Sipe, J.E. Coherent control of current injection in zigzag graphene nanoribbons. Phys. Rev. B 2016, 93, 075442. [Google Scholar] [CrossRef]
- Lee, M.H.; Yang, C.H.; Jan, J.H. Band-resolved analysis of nonlinear optical properties of crystalline and molecular materials. Phys. Rev. B 2004, 70, 235110. [Google Scholar] [CrossRef]
- Nastos, F.; Olejnik, B.; Schwarz, K.; Sipe, J.E. Scissors implementation within length-gauge formulations of the frequency-dependent nonlinear optical response of semiconductors. Phys. Rev. B 2005, 72, 045223. [Google Scholar] [CrossRef]
- Stahrenberg, K.; Herrmann, T.; Wilmers, K.; Esser, N.; Richter, W.; Lee, M.J.G. Optical properties of copper and silver in the energy range 2.5–9.0 eV. Phys. Rev. B 2001, 64, 115111. [Google Scholar] [CrossRef]
- Reshak, A.H.; Chen, X.; Auluck, S.; Kamarudin, H. Linear and nonlinear optical susceptibilities and hyperpolarizability of borate LiNaB4O7 single crystals: Theory and experiment. J. Appl. Phys. 2012, 112, 053526. [Google Scholar] [CrossRef]
- Okoye, C.M.I. Theoretical study of the electronic structure, chemical bonding and optical properties of KNbO3in the paraelectric cubic phase. J. Phys. Condens. Matter 2003, 15, 5945–5958. [Google Scholar] [CrossRef]
- Leitsmann, R.; Schmidt, W.G.; Hahn, P.H.; Bechstedt, F. Second-harmonic polarizability including electron-hole attraction from band-structure theory. Phys. Rev. B 2005, 71, 195209. [Google Scholar] [CrossRef]
- Gonze, X.; Jollet, F.; Araujo, F.A.; Adams, D.; Amadon, B.; Applencourt, T.; Audouze, C.; Beuken, J.M.; Bieder, J.; Bokhanchuk, A.; et al. Recent developments in the ABINIT software package. Comput. Phys. Commun. 2016, 205, 106–131. [Google Scholar] [CrossRef]
- Gonze, X.; Amadon, B.; Anglade, P.M.; Beuken, J.M.; Bottin, F.; Boulanger, P.; Bruneval, F.; Caliste, D.; Caracas, R.; Côté, M.; et al. ABINIT: First-principles approach to material and nanosystem properties. Comput. Phys. Commun. 2009, 180, 2582–2615. [Google Scholar] [CrossRef]
- Hamann, D.R. Optimized norm-conserving Vanderbilt pseudopotentials. Phys. Rev. B 2013, 88, 085117. [Google Scholar] [CrossRef]
- Perdew, J.P.; Burke, K.; Ernzerhof, M. Generalized gradient approximation made simple. Phys. Rev. Lett. 1996, 77, 3865–3868. [Google Scholar] [CrossRef]
- Monkhorst, H.J.; Pack, J.D. Special points for Brillouin-zone integrations. Phys. Rev. B 1976, 13, 5188–5192. [Google Scholar] [CrossRef]
- Persson, K. Materials Data on KCl (SG:225) by Materials Project, 2014; Lawrence Berkeley National Lab: Berkeley, CA, USA, 2014. [CrossRef]
- Roessler, D.M.; Walker, W.C. Electronic Spectra of Crystalline NaCl and KCl. Phys. Rev. 1968, 166, 599–606. [Google Scholar] [CrossRef]
- Phillips, J.C. Ultraviolet Absorption of Insulators. III. fcc Alkali Halides. Phys. Rev. 1964, 136, A1705–A1713. [Google Scholar] [CrossRef]
- Jones, R.O.; Gunnarsson, O. The density functional formalism, its applications and prospects. Rev. Mod. Phys. 1989, 61, 689–746. [Google Scholar] [CrossRef]
- Boykin, T.B.; Kharche, N.; Klimeck, G.; Korkusinski, M. Approximate bandstructures of semiconductors alloys from tight-binding supercell calculations. J. Phys. Condens. Matter 2007, 19, 036203. [Google Scholar] [CrossRef]
- Dai, Z.H.; Xie, Y.P.; Qian, Y.C.; Hu, L.J.; Li, X.D.; Ma, H.T. Effects of P, As, and Sb heavy doping on band gap narrowing of germanium as light emmiting materials. arXiv 2017, arXiv:1706.04050. [Google Scholar]
- Deretzis, I.; Calogero, G.; Angilella, G.G.N.; Magna, A.L. Role of basis set on the unfolding of supercell band structure: From tight-binding to density functional thoery EPL. Europhys. Lett. 2014, 107, 27006. [Google Scholar] [CrossRef]
- Onida, G.; Reining, L.; Rubio, A. Electronic excitations: Density-functional versus many-body Greeen’s function approaches. Rev. Mod. Phys. 2002, 74, 601–659. [Google Scholar] [CrossRef]
- Hybertsen, M.S.; Louie, S.G. Electron correlation in semiconductors and insulators: Band gaps and quasiparticule energies. Phys. Rev. B 1986, 34, 5390–5413. [Google Scholar] [CrossRef]
- Fox, M. Optical Properties of Solids. In Oxford Master Series in Condensed Matter Physics; Oxford University Press: New York, NY, USA, 2001; p. 288. [Google Scholar]












| Unit Cell. | Number of k-Points | Size Grid | Energy Cutoff (Ha) |
|---|---|---|---|
| (a) KCl | 3864 | 55 × 55 × 55 | 25 |
| (b) K8Cl8 | 2920 | 19 × 19 × 19 | 25 |
| (c) K7Cl8:Cu | 2920 | 19 × 19 × 19 | 25 |
| Figure. | Unit Cell | Lattice Constant (Å) | Bandgap (eV) |
|---|---|---|---|
| Figure 1a | KCl | 4.507 | 5.07 |
| Figure 1b | K8Cl8 | 9.014 | 5.07 |
| Figure 1c | K7Cl8:Cu | 8.390 | 2.20 |
| Figure S1b | K7Cl8:Cu | 8.480 | 3.20 |
| Figure S1c | K7Cl8:Cu | 8.480 | 3.20 |
| Figure S1d | K7Cl8:Cu | 8.580 | 3.20 |
| Figure S1e | K7Cl8:Cu | 8.480 | 3.20 |
| Figure S1f | K7Cl8:Cu | 8.480 | 3.20 |
| Figure S1g | K7Cl8:Cu | 8.480 | 3.20 |
| Figure S1h | K7Cl8:Cu | 8.394 | 2.20 |
© 2020 by the authors. Licensee MDPI, Basel, Switzerland. This article is an open access article distributed under the terms and conditions of the Creative Commons Attribution (CC BY) license (http://creativecommons.org/licenses/by/4.0/).
Share and Cite
Castillo-Quevedo, C.; Cabellos, J.L.; Aceves, R.; Núñez-González, R.; Posada-Amarillas, A. Cu-Doped KCl Unfolded Band Structure and Optical Properties Studied by DFT Calculations. Materials 2020, 13, 4300. https://doi.org/10.3390/ma13194300
Castillo-Quevedo C, Cabellos JL, Aceves R, Núñez-González R, Posada-Amarillas A. Cu-Doped KCl Unfolded Band Structure and Optical Properties Studied by DFT Calculations. Materials. 2020; 13(19):4300. https://doi.org/10.3390/ma13194300
Chicago/Turabian StyleCastillo-Quevedo, César, Jose Luis Cabellos, Raul Aceves, Roberto Núñez-González, and Alvaro Posada-Amarillas. 2020. "Cu-Doped KCl Unfolded Band Structure and Optical Properties Studied by DFT Calculations" Materials 13, no. 19: 4300. https://doi.org/10.3390/ma13194300
APA StyleCastillo-Quevedo, C., Cabellos, J. L., Aceves, R., Núñez-González, R., & Posada-Amarillas, A. (2020). Cu-Doped KCl Unfolded Band Structure and Optical Properties Studied by DFT Calculations. Materials, 13(19), 4300. https://doi.org/10.3390/ma13194300

