Effect of Low Atmospheric Pressure on Air Entrainment in Cement-Based Materials: An On-Site Experimental Study at Different Elevations
Abstract
1. Introduction
- –
- The nature of a bubble in the glass tube is a layer of spherical liquid film, which has two curved surfaces (outer liquid-inner gas surface and outer gas-inner liquid surface), while the air bubble in fresh concrete has only one curved surface (outer liquid-inner gas surface).
- –
- In the glass tube, there is a gas-liquid two-phase system, while in fresh concrete there is a gas-liquid-solid (bubble-paste-aggregate) three-phase system.
- –
- Bubbles observed and analyzed in the glass tube are at the top of liquid phase, however, in fresh concrete, bubbles that emerge to the surface would vanish quickly.
2. Materials and Methods
2.1. Test Site
- –
- the Shigatse Branch of Sichuan Zhentong Highway Test Consultants Co., Ltd., Shigatse, Tibet;
- –
- School of Transportation Science and Engineering, Harbin Institute of Technology, Harbin, Heilongjiang;
- –
- the High and Cold Area and High Altitude Region’s Highway Engineering Materials Technology Key Laboratory, Transportation Survey, Design and Research Institute of Tibet Autonomous Region, Lhasa, Tibet.
2.2. Raw Materials
2.2.1. Raw Materials Selection
2.2.2. Raw Materials Pretreatments
2.2.3. Mix Proportions
2.3. Test Methods
2.3.1. Density of Cement Paste
2.3.2. Air Content and Air Bubble Stability of Mortar
2.3.3. Air Content of Fresh Concrete
2.3.4. Air Void Characteristics of Hardened Mortar
3. Results
3.1. Densities of Fresh Cement Paste Prepared in Different Atmospheric Pressures
3.2. Air Entrainment Efficiency and Stability in Mortar Prepared in Different Atmosphric Pressures
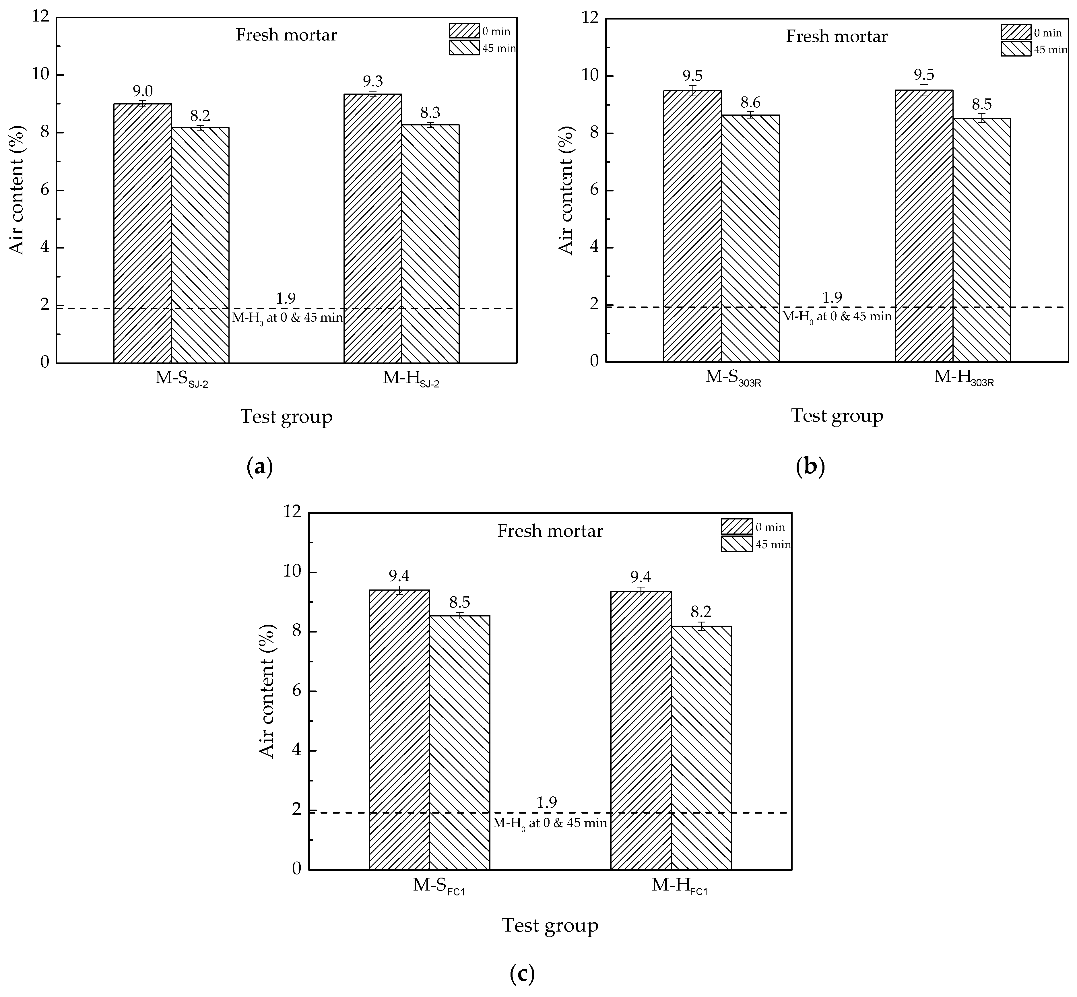
3.2.1. Fresh Mortar
3.2.2. Hardened Mortar
3.3. Air Entrainment in Concrete Prepared in Low Atmosphric Pressure
3.4. Air Void Chacracteristics of Mortar Prepared in Different Atmosphric Pressures
3.5. Significance of Temperature of Raw Materials in Air Entrainment
4. Discussion
4.1. Significance and Limitations
4.2. Comparsion with Other Studies
4.3. Other Potential Effect of Low Atmospheric Pressure
5. Conclusions
- –
- In fresh cement paste, SJ-2 type AEAs perform stably in different atmospheric pressures, however, the air-entraining efficiency of 303R or FC1 type AEA is higher in lower atmospheric pressure.
- –
- The initial air content and the loss rate of air content are similar between fresh mortar prepared in different atmospheric pressures. The tendency is applicable for three types of AEAs studied.
- –
- The air content and the air void characteristics of hardened mortar prepared in different atmospheric pressures are basically unchanged if SJ-2 or 303R is selected as the AEA.
- –
- In low atmospheric pressure, there is no challenge for SJ-2 or 303R type AEA to entrain enough air content in fresh concrete to satisfy the requirements of freeze-thaw attack resistance.
- –
- The low temperature of raw materials stored at high elevation negatively affects the air entrainment in cement-based materials.
Author Contributions
Funding
Acknowledgments
Conflicts of Interest
Appendix A. Critical Discussion about Research Outcomes Based on Simulated Air Pressures
| AEA | A60→1011, % | A1012, % | A603, % |
|---|---|---|---|
| Abietic soap | 2.50 | 4.60 | 4.24 |
| Alkyl sulfonate | 2.54 | 4.87 | 4.31 |
| Saponin | 3.03 | 4.92 | 5.14 |
| Polyether | 2.95 | 4.92 | 5.00 |
References
- Ge, X.; Ge, Y.; Li, Q.; Cai, X.; Yang, W.; Du, Y. Effect of low air pressure on the durability of concrete. Constr. Build. Mater. 2018, 187, 830–838. [Google Scholar] [CrossRef]
- Ge, X.; Ge, Y.; Du, Y.; Cai, X. Effect of low air pressure on mechanical properties and shrinkage of concrete. Mag. Concr. Res. 2018, 70, 919–927. [Google Scholar] [CrossRef]
- He, R.; Wang, T.; Chen, H.; Xue, C.; Bai, Y. Impact of Qinghai-Tibet Plateau’s Climate on Strength and Permeability of Concrete. China J. Highw. Transp. 2020, 33, 29–41. [Google Scholar]
- Chen, H.; Wang, T.; He, R.; Zhang, J.; Fang, J.; Bai, Y. Effect of complex climatic environment on pore structure and mechanical properties of concrete. J. Chang’an. Univ. (Nat. Sci. Edn.). 2020, 40, 30–37. [Google Scholar]
- Cen, G.; Hong, G.; Wang, J.; Yang, W.; Tan, X. Factors influencing air content of pavement concrete for plateau airport and its control measures. Constr. Tech. 2012, 41, 33–35. [Google Scholar]
- Huo, J.; Wang, Z.; Chen, H.; He, R. Impacts of low atmospheric pressure on properties of cement concrete in plateau areas: A literature review. Mater. 2019, 12, 1384. [Google Scholar] [CrossRef] [PubMed]
- Zeng, X.; Lan, X.; Zhu, H.; Liu, H.; Umar, H.A.; Xie, Y.; Long, G.; Ma, C. A review on bubble stability in fresh concrete: Mechanisms and main factors. Mater 2020, 13, 1820. [Google Scholar] [CrossRef] [PubMed]
- Li, Y.; Wang, Z.; Wang, L. Effect of low pressure on bubble generation and development of air entraining agent solution. Concrete 2019, 8, 144–148. [Google Scholar]
- Zhu, C.; Xie, Y.; Zhang, Y.; Jia, Y. The effect of air pressure on environment on concrete’s air-containing. Concrete 2004, 4, 9–10. [Google Scholar]
- Shi, Y.; Yang, H.; Zhou, S.; Wang, A.; Lv, X. Effect of atmospheric pressure on performance of AEA and air entraining concrete. Adv. Mater. Sci. Eng. 2018, 6, 1–7. [Google Scholar] [CrossRef]
- Li, Y.; Wang, Z.; Wang, L. The influence of atmospheric pressure on air content and pore structure of air-entrained concrete. J. Wuhan. Univ. Technol.-Mater. Sci. Ed. 2019, 34, 1365–1370. [Google Scholar] [CrossRef]
- Li, X.; Fu, Z.; Luo, Z. Effect of atmospheric pressure on air content and air void parameters of concrete. Mag. Concr. Res. 2015, 67, 391–400. [Google Scholar] [CrossRef]
- Li, X.; Fu, Z. Effect of low-pressure of environment on air content and bubble stability of concrete. J. Chin. Ceram. Soc. 2015, 43, 1076–1082. [Google Scholar]
- Li, X.; Fu, Z. Effect of low atmospheric pressure of plateau environment on air content and bubble stability of air-entrained concrete. Trans. Chin. Soc. Agric. Eng. 2015, 31, 165–172. [Google Scholar]
- Ran, Y. Research on Mixing and Air Entraining Characteristics of Cement-based Materials in Low Air Pressure Environment. Master’s Thesis, Southwest Jiaotong University, Chengdu, China, 2019. [Google Scholar]
- Chen, Z. Study on Frost Resistance Design and Measures of Concrete in Qinghai Tibet Plateau. Master’s Thesis, Xi’an University of Architecture and Technology, Xi’an, China, 2017. [Google Scholar]
- Ley, M.T.; Chancey, R.; Junenger, M.C.G.; Folliard, K.J. The physical and chemical characteristics of the shell of air-entrained bubbles in cement paste. Cem. Concr. Res. 2009, 39, 417–425. [Google Scholar] [CrossRef]
- Methods of test for mortar for masonry—Part 7: Determination of Air Content of Fresh Mortar; BS EN 1015-7:1999; BSI Standards Limited: London, UK, 1999.
- Testing Fresh Concrete—Part 7: Air Content—Pressure methods; BS EN 12350-7:2000; BSI Standards Limited: London, UK, 2000.
- Concrete Admixtures; GB 8076-2008; China Quality and Standards Publishing & Media Co., Ltd: Beijing, China, 2008.
- Test Methods of Cement and Concrete for Highway Engineering; JEG E30-2005; China Communications Press Co., Ltd: Beijing, China, 2005.
- Testing Hardened Concrete—Part 7: Density of Hardened Concrete; BS EN 12390-7:2009; BSI Standards Limited: London, UK, 2009.
- Technical Specifications for Design and Construction of Highway in Seasonal frozen soil Region; JTG/T D31-06—2017; China Communications Press Co., Ltd.: Beijing, China, 2017.
- Concrete—Specification, Performance, Production and Conformity; BS EN 206:2013; BSI Standards Limited: London, UK, 2013.
- Specification for Mix Proportion Design of Ordinary Concrete; JGJ 55-2011; China Architecture & Building Press: Beijing, China, 2011.
- Zhang, A.; Yang, W.; Ge, Y.; Liu, P. Effect of nanomaterials on the mechanical properties and microstructure of cement mortar under low air pressure curing. Constr. Build. Mater. 2020, 249, 118787. [Google Scholar] [CrossRef]




| Site | Altitude, m | Atmospheric Pressure, kPa | Mean Daily Maximum Temperature of December, °C | Mean Daily Minimum Temperature of December, °C |
|---|---|---|---|---|
| Shigatse 1 | 3860 | 64 | 9 | −12 |
| Harbin | 150 | 101 | −11 | −21 |
| Lhasa 2 | 3646 | 66 | 8 | −8 |
| Site | Heating System | Indoor Temperature, °C | Tap Water Temperature, °C |
|---|---|---|---|
| Shigatse | Electric air conditioner | 5 | 4 |
| Harbin 1 | Water heating | 20 | 18 |
| Lhasa | None | 5 | 8 |
| Item | SJ-2 | 303R | FC1 |
|---|---|---|---|
| Manufacturer | Shanghai Fengyang Industrial Co., Ltd. | Research Institute of Highway, Ministry of Transport | Guiling Chemical Co., Ltd. |
| Physical state | Solid/powder | Fluid/solution | Fluid/solution |
| Chemical composition | Triterpenoid saponin | Alkyl polyglycoside | Perfluoroalkyl polyoxyethylene ether |
| Dosage used | 1.63/104 | 2.70/104 | 0.34/104 |
| Site | Cement and Aggregates | Tap Water | Temperature of Fresh Mixtures, °C |
|---|---|---|---|
| Shigatse | - | Heated to 20 °C | 10 ± 1 |
| Harbin 1 | Moved outdoors for 1 hour | Cooled to 8 °C | 10 ± 1 |
| Lhasa | - | - | 10 ± 1 |
| Specimen | Test Type | Test Site | AEA | Cement/Water/Sand/Pebble |
|---|---|---|---|---|
| P-SSJ-2 | Cement paste | Shigatse | SJ-2 | 1:0.45:0:0 (1450 g per batch) |
| P-S303R | 303R | |||
| P-SFC1 | FC1 | |||
| P-H0 | Harbin | - | ||
| P-HSJ-2 | SJ-2 | |||
| P-H303R | 303R | |||
| P-HFC1 | FC1 | |||
| M-SSJ-2 | Mortar | Shigatse | SJ-2 | 1:0.45:2:0 (2329 g per batch) |
| M-S303R | 303R | |||
| M-SFC1 | FC1 | |||
| M-H0 | Harbin | - | ||
| M-HSJ-2 | SJ-2 | |||
| M-H303R | 303R | |||
| M-HFC1 | FC1 | |||
| M-H-SupSJ-2 1 | SJ-2 | |||
| M-H-Sup303R | 303R | |||
| M-H-SupFC1 | FC1 | |||
| C-L0 | Concrete | Lhasa | - | 1:0.45:2:2.7 (33.22 kg per batch) |
| C-LSJ-2 | SJ-2 | |||
| C-L303R | 303R | |||
| C-LFC1 | FC1 |
| Mortar with SJ-2 | Mortar with 303R | Mortar with FC1 | |||
|---|---|---|---|---|---|
| Shigatse | Harbin | Shigatse | Harbin | Shigatse | Harbin |
| 0.8 | 1.0 | 0.9 | 1.0 | 0.9 | 1.1 |
| AEA | Comparison | Air Content | Deviation 1 | Is the Air Content of Concrete Anticipated? |
|---|---|---|---|---|
| Blank | 60% of mortar | 1.1 | +0.2 | Yes |
| concrete | 1.3 | |||
| SJ-2 | 60% of mortar | 5.4 | +0.3 | Yes |
| concrete | 5.7 | |||
| 303R | 60% of mortar | 5.7 | +0.6 | Yes |
| concrete | 6.3 | |||
| FC1 | 60% of mortar | 5.2 | −1.2 | No |
| concrete | 4.0 |
| Air Void Characteristic | M-SSJ-2 | M-HSJ-2 | M-S303R | M-H303R | M-SFC1 | M-HFC1 |
|---|---|---|---|---|---|---|
| Air content, % | 8.9 | 9.2 | 8.9 | 9.1 | 9.0 | 9.3 |
| Average air void radius, mm | 0.120 | 0.124 | 0.125 | 0.142 | 0.113 | 0.110 |
| Specific surface area, mm2/mm3 | 25.1 | 24.3 | 24.1 | 21.2 | 26.6 | 27.2 |
| Air void spacing factor, mm | 0.188 | 0.190 | 0.195 | 0.218 | 0.177 | 0.169 |
© 2020 by the authors. Licensee MDPI, Basel, Switzerland. This article is an open access article distributed under the terms and conditions of the Creative Commons Attribution (CC BY) license (http://creativecommons.org/licenses/by/4.0/).
Share and Cite
Chen, X.; Liu, X.; Tian, B.; Ge, Y.; Li, L. Effect of Low Atmospheric Pressure on Air Entrainment in Cement-Based Materials: An On-Site Experimental Study at Different Elevations. Materials 2020, 13, 3975. https://doi.org/10.3390/ma13183975
Chen X, Liu X, Tian B, Ge Y, Li L. Effect of Low Atmospheric Pressure on Air Entrainment in Cement-Based Materials: An On-Site Experimental Study at Different Elevations. Materials. 2020; 13(18):3975. https://doi.org/10.3390/ma13183975
Chicago/Turabian StyleChen, Xin, Xu Liu, Bo Tian, Yong Ge, and Lihui Li. 2020. "Effect of Low Atmospheric Pressure on Air Entrainment in Cement-Based Materials: An On-Site Experimental Study at Different Elevations" Materials 13, no. 18: 3975. https://doi.org/10.3390/ma13183975
APA StyleChen, X., Liu, X., Tian, B., Ge, Y., & Li, L. (2020). Effect of Low Atmospheric Pressure on Air Entrainment in Cement-Based Materials: An On-Site Experimental Study at Different Elevations. Materials, 13(18), 3975. https://doi.org/10.3390/ma13183975

