Grain Growth Kinetics of 0.65Ca0.61La0.26TiO3-0.35Sm(Mg0.5Ti0.5)O3 Dielectric Ceramic
Abstract
1. Introduction
2. Experimental Process
3. Results and Discussion
3.1. Microstructure Analysis
3.2. Effects of Sintering Temperature and Holding Time on Grain Growth
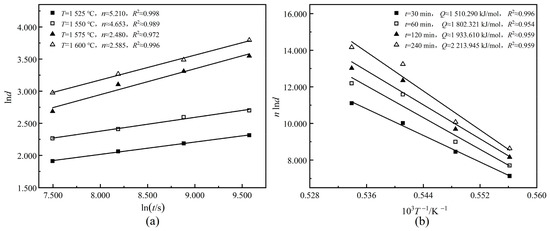
4. Grain Growth
4.1. Hillert Model
4.2. Simplified Sellars Model
4.3. Sellars-Anelli Model
4.4. Comparison of Different Grain Growth Models
5. Conclusions
- (1)
- The 0.65Ca0.61La0.26TiO3-0.35Sm(Mg0.5Ti0.5)O3[0.65CLT-0.35SMT] ceramic was prepared by the solid-state reaction method. The microstructure and grain growth behavior under different sintering processes were studied. The results showed that with the increase of sintering temperature and the holding time, the grain size was getting larger. Meanwhile, the effect of sintering temperature on grain growth is more obvious than that of holding time.
- (2)
- The Hillert model and simplified Sellars model of the grain growth of 0.65CLT-0.35SMT ceramic were established by the linear regression method. In addition, considering that the growth of grains may become a certain power relationship with the holding time, the nonlinear regression method was used to construct the Sellars-Anelli model with a time index.
- (3)
- An error analysis was made on the grain size predicted by the three models. The Sellars-Anelli model,, has the highest prediction accuracy, i.e., it is able to predict the grain growth process of 0.65CLT-0.35SMT ceramic effectively.
Author Contributions
Funding
Conflicts of Interest
References
- Heintz, J.M.; Letullier, P.; Miane, J.L.; Ravez, J. Dielectric properties of alumina lamellar ceramics. Mater. Sci. Eng. B 1998, 52, 84–88. [Google Scholar] [CrossRef]
- Zhang, J.; Wu, D.X.; Chang, X.H.; Lu, T.C.; Jiang, Y.H.; Zhu, J.G. Dielectric properties of MgAl2O4 transparent nano-ceramic. Key Eng. Mater. 2008, 368–372, 412–413. [Google Scholar] [CrossRef]
- Su, Y.S.; Jean, J.H. Low-fire processing of microwave BaTi4O9 dielectric with BaO-Li2O-B2O3-SiO2-ZnO glass. Jpn. J. Appl. Phys. 2008, 47, 7254–7256. [Google Scholar] [CrossRef]
- Bafrooei, H.B.; Nassaj, E.T.; Hu, C.F.; Huang, Q.; Ebadzadeh, T. Microwave sintering of nanopowder ZnNb2O6: Densification, microstructure and microwave dielectric properties. Physica B 2014, 454, 35–41. [Google Scholar] [CrossRef]
- Jesus, L.M.; Silva, R.S.; Raj, R.; M’Peko, J.C. Electric field-assisted flash sintering of CaCu3Ti4O12: Microstructure characteristics and dielectric properties. J. Alloys Compd. 2016, 682, 753–758. [Google Scholar] [CrossRef]
- Li, E.; Zou, M.; Duan, S.; Xu, N.; Yuan, Y.; Zhou, X.H. Effect of excess Li content on the microwave dielectric properties of the M-Phase of Li2O-Nb2O5-TiO2 ceramics. J. Electron. Mater. 2014, 43, 3954–3958. [Google Scholar] [CrossRef]
- Plourde, J.K.; Ren, C.L. Application of dielectric resonators in microwave components. IEEE Trans. Microw. Theory Tech. 1981, 29, 754–770. [Google Scholar] [CrossRef]
- Petzelt, J.; Kamba, S.; Kozlov, G.V.; Volkov, A.A. Dielectric properties of microwave ceramics investigated by infrared and submillimetre spectroscopy. Ferroelectrics 1996, 176, 145–165. [Google Scholar] [CrossRef]
- Shih, C.F.; Li, W.M.; Tung, K.S. Low-loss microwave dielectric material based on magnesium titanate. J. Am. Ceram. Soc. 2010, 93, 2448–2451. [Google Scholar] [CrossRef]
- Liao, Q.W.; Li, L.X.; Zhang, P.; Ding, X.; Ren, X.; Zhang, W. A microwave dielectric material for microstrip patch antenna substrate. J. Mater. Res. 2011, 26, 2503–2510. [Google Scholar] [CrossRef]
- Chen, Y.B. New dielectric material system of La(Mg1/2Ti1/2)O3–Ca0.6La0.8/3TiO3 for microwave applications. J. Alloys Compd. 2009, 490, 265–269. [Google Scholar] [CrossRef]
- Chen, J.Y.; Huang, C.L. Crystal structure and dielectric properties of La(Mg0.5Ti0.5)O3–Ca0.8Sm0.4/3TiO3 solid solution system at microwave frequencies. J. Alloys Compd. 2011, 509, 426–430. [Google Scholar] [CrossRef]
- Jeon, S.C.; Fisher, J.G.; Kang, S.L.; Moon, K.S. Grain growth behavior of 0.95(Na0.5Bi0.5)TiO3-0.05BaTiO3 controlled by grain shape and second phase. Materials 2020, 13, 1344. [Google Scholar] [CrossRef] [PubMed]
- Opiela, M.; Fojt-Dymara, G.; Grajcar, A.; Borek, W. Effect of grain size on the microstructure and strain hardening behavior of solution heat-treated low-C high-Mn steel. Materials 2020, 13, 1489. [Google Scholar] [CrossRef]
- Yang, Q.; Zhang, L.W.; Zhang, C.; Shen, W.F.; Li, F. Austenite grain growth behavior of low carbon Nb-V-Ti microalloyed steel X70. Heat Treat. Met. 2019, 44, 1–5. [Google Scholar] [CrossRef]
- Du, W.Y.; Ai, Y.L.; Chen, W.H.; Zhang, J.J.; Fan, Y.Q.; Gong, Y.X. Grain growth kinetics and growth mechanism of columnar Al2O3 crystals in xNb2O5-7.5La2O3-Al2O3 ceramic composites. Ceram. Int. 2019, 45, 6788–6794. [Google Scholar] [CrossRef]
- Kipkoech, E.R.; Azough, F.; Freer, R. Microstructural control of microwave dielectric properties in CaTiO3-La(Mg1/2Ti1/2)O3 ceramics. J. Appl. Phys. 2005, 97, 1–11. [Google Scholar] [CrossRef]
- Staśko, R.; Adrian, H.; Adrian, A. Effect of nitrogen and vanadium on austenite grain growth kinetics of a low alloy steel. Mater. Charact. 2006, 56, 340–347. [Google Scholar] [CrossRef]
- Sellars, C.M.; Whiteman, J.A. Recrystallization and grain growth in hot rolling. Met. Sci. 1979, 13, 187–194. [Google Scholar] [CrossRef]
- Feng, Y.; Pu, Z.T.; Wu, M.M.; Mi, J. Microwave calcination of nano-grained iron oxide and grain growth kinetics. Energy Chem. Ind. 2015, 36, 55–59. [Google Scholar] [CrossRef]
- Chen, J.; Che, M.C.; LI, Y.; Yan, F. Study on Grain Growth Kinetics of Barium Strontium Titanate Ceramics. J. Synth. Cryst. 2015, 44, 2433–2437. [Google Scholar] [CrossRef]
- Li, G.S.; Li, L.P.; Boerio, G.J.; Woodfield, B.F. High purity anatase TiO2 nanocrystals: Near room-temperature synthesis, grain growth kinetics, and surface hydration chemistry. J. Am. Chem. Soc. 2005, 127, 8659–8666. [Google Scholar] [CrossRef] [PubMed]








| t/min | 30 | 60 | 120 | 240 | ||
|---|---|---|---|---|---|---|
| d/μm(η/g·cm−3) | ||||||
| T/°C | ||||||
| 1525 | 6.67 (5.07) | 7.87 (5.08) | 8.90 (4.96) | 10.11 (5.00) | ||
| 1550 | 9.63 (5.02) | 11.13 (4.99) | 13.41 (5.00) | 14.87 (5.10) | ||
| 1575 | 14.66 (4.98) | 22.28 (5.06) | 27.36 (5.06) | 34.75 (5.13) | ||
| 1600 | 19.59 (5.09) | 26.25 (5.09) | 32.74 (5.08) | 44.49 (5.15) | ||
© 2020 by the authors. Licensee MDPI, Basel, Switzerland. This article is an open access article distributed under the terms and conditions of the Creative Commons Attribution (CC BY) license (http://creativecommons.org/licenses/by/4.0/).
Share and Cite
Liu, J.; Liang, B.; Zhang, J.; He, W.; Ouyang, S.; Chen, W.; Liu, C.; Ai, Y. Grain Growth Kinetics of 0.65Ca0.61La0.26TiO3-0.35Sm(Mg0.5Ti0.5)O3 Dielectric Ceramic. Materials 2020, 13, 3905. https://doi.org/10.3390/ma13173905
Liu J, Liang B, Zhang J, He W, Ouyang S, Chen W, Liu C, Ai Y. Grain Growth Kinetics of 0.65Ca0.61La0.26TiO3-0.35Sm(Mg0.5Ti0.5)O3 Dielectric Ceramic. Materials. 2020; 13(17):3905. https://doi.org/10.3390/ma13173905
Chicago/Turabian StyleLiu, Jin, Bingliang Liang, Jianjun Zhang, Wen He, Sheng Ouyang, Weihua Chen, Changhong Liu, and Yunlong Ai. 2020. "Grain Growth Kinetics of 0.65Ca0.61La0.26TiO3-0.35Sm(Mg0.5Ti0.5)O3 Dielectric Ceramic" Materials 13, no. 17: 3905. https://doi.org/10.3390/ma13173905
APA StyleLiu, J., Liang, B., Zhang, J., He, W., Ouyang, S., Chen, W., Liu, C., & Ai, Y. (2020). Grain Growth Kinetics of 0.65Ca0.61La0.26TiO3-0.35Sm(Mg0.5Ti0.5)O3 Dielectric Ceramic. Materials, 13(17), 3905. https://doi.org/10.3390/ma13173905

