Quantum Transport in a Silicon Nanowire FET Transistor: Hot Electrons and Local Power Dissipation
Abstract
1. Introduction
1.1. Context
1.2. Electro Thermal Properties of NWFET
1.3. Need for Efficient Modelling
1.4. Review of Modelling Approaches
1.5. Content of This Paper
2. Methodology and Models
2.1. Basic Concepts of Electro-Thermal Modelling
2.2. LDOS and the Transition from Classical to Quantum Modelling
2.3. The NEGF Formalism
2.3.1. The Keldysh Picture
2.3.2. The Steady State NEGF Equations
2.3.3. The Projection Theorem
2.3.4. Numerical Solution of NEGF Equations
2.3.5. NEGF Electro-Thermal Modelling
3. Simulation Methodology for the Silicon Gate-All-Around Nanowire FET
3.1. Device Structure and the 1D Representation
3.2. Non Equilibrium Green Function Formalism: Density and Current Density
- (i)
- energy close to the top of the barrier and
- (ii)
- energy close to the sub-band energy at the source contact.
3.3. Energy Balance and Power
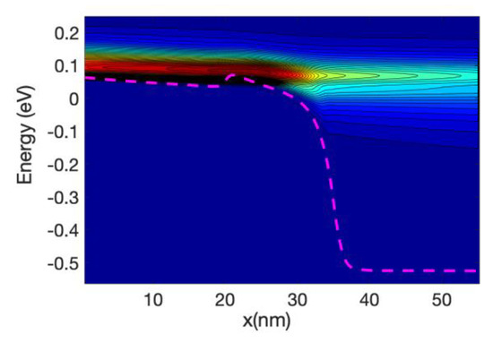
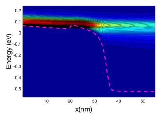
3.4. Results and Discussion
3.5. Perspectives and Challenges
4. Conclusions
Author Contributions
Funding
Conflicts of Interest
Appendix A. Local Density of States for Simple Systems


Appendix B. Use of Self-Energies to Project Coupling of Contacts into Finite Device Domain

Appendix C. The Keldysh NEGF Equations
Appendix D. Phonon Green Functions and Electron-Phonon Self-Energies
Appendix E. Elastic Phonon Scattering Gives no Heat Dissipation
Appendix F. Detailed Balance
Appendix G. Kramers-Kronig Relations
References
- Pop, E. Energy dissipation and transport in nanoscale devices. Nano Res. 2010, 3, 147–169. [Google Scholar] [CrossRef]
- Farrah, H.; Steinberg, R. Analysis of double-gate thin-film transistor. IEEE Trans. Electron Devices 1967, 14, 69–74. [Google Scholar] [CrossRef]
- Colinge, J.P. FinFETs and Other Multi-Gate Transistors; Springer Science & Business Media: Berlin/Heidelberg, Germany, 2008. [Google Scholar]
- Martinez, J.; Martinez, R.V.; Garcia, R. Silicon nanowire transistors with a channel width of 4 nm fabricated by atomic force microscope nano-lithography. Nano Lett. 2008, 8, 3636–3639. [Google Scholar] [CrossRef] [PubMed]
- Wang, D.; Wang, Q.; Javey, A.; Tu, R.; Dai, H.; Kim, H.; McIntyre, P.C.; Krishnamohan, T.; Saraswat, K.C. Germanium nanowire field-effect transistors with SiO2 and high-k HfO2 gate dielectrics. Appl. Phys. Lett. 2003, 483, 2432–2434. [Google Scholar] [CrossRef]
- Vashaee, D.; Shakouri, A.; Goldberger, J.E.; Kuykendall, T.; Pauzauskie, P.; Yang, P. Electrostatics of nanowire transistors with triangular cross sections. J. Appl. Phys. 2006, 99, 054310. [Google Scholar] [CrossRef]
- Suk, S.D.; Li, M.; Yeoh, Y.Y.; Yeo, K.H.; Cho, K.H.; Ku, I.K.; Cho, H.; Jang, W.; Kim, N.-W.; Park, D.; et al. Investigation of nanowire size dependency on TSNWFET. In Proceedings of the 2007 IEEE International Electron Devices Meeting, Washington, DC, USA, 5–7 December 2011. [Google Scholar]
- Ieong, M.; Doris, B.; Kedzierski, J.; Rim, K.; Yang, M. Silicon Device Scaling to the Sub-10-nm Regime. Science 2004, 306, 2057–2060. [Google Scholar] [CrossRef]
- Majima, H.; Ishikuro, H.; Hiramoto, T. Experimental evidence for quantum mechanical narrow channel effect in ultra-narrow MOSFET’s. IEEE Elect. Dev. Lett. 2000, 21, 396–398. [Google Scholar] [CrossRef]
- Barker, J.R.; Martinez, A. Image charge models for accurate construction of the electrostatic self-energy of 3D layered nanostructure devices. J. Phys. Condens. Matter 2018, 30, 134002. [Google Scholar] [CrossRef]
- Martinez, A.; Aldegunde, M.; Seoane, N.; Brown, A.; Barker, J.R.; Asenov, A. Quantum-Transport Study on the Impact of Channel Length and Cross Sections on Variability Induced by Random Discrete Dopants in Narrow Gate-All-Around Silicon Nanowire Transistors. IEEE Trans. Electron Devices 2011, 58, 2209–2217. [Google Scholar] [CrossRef]
- Pop, E.; Sinha, S.; Goodson, K. Heat Generation and Transport in Nanometer-Scale Transistors. Proc. IEEE 2006, 94, 1587–1601. [Google Scholar] [CrossRef]
- Feser, J.P.; Sadhu, J.S.; Azeredo, B.P.; Hsu, K.H.; Ma, J.; Kim, J.; Seong, M.; Fang, N.X.; Li, X.; Ferreira, P.M.; et al. Thermal conductivity of silicon nanowire arrays with controlled roughness. J. App. Phys. 2012, 112, 114306. [Google Scholar] [CrossRef]
- Karg, S.; Mensch, P.; Gotsmann, B.; Schmid, H.; Das Kanungo, P.; Ghoneim, H.; Schmidt, V.; Björk, M.T.; Troncale, V.; Riel, H. Measurement of Thermoelectric Properties of Single Semiconductor Nanowires. J. Electron. Mater. 2013, 42, 2409–2414. [Google Scholar] [CrossRef]
- Menges, F.; Riel, H.; Stemmer, A.; Gotsmann, B. Quantitative Thermometry of Nanoscale Hot Spots. Nano Lett. 2012, 12, 596–601. [Google Scholar] [CrossRef] [PubMed]
- Menges, F.; Mensch, P.; Schmid, H.; Riel, H.; Stemmer, A.; Gotsmann, B. Measurement of Thermoelectric Properties of Single Semiconductor Nanowires. Nat. Commun. 2016, 7, 10874. [Google Scholar] [CrossRef] [PubMed]
- Goodson, K.; Flik, M. Effect of microscale thermal conduction on the packing limit of silicon-on-insulator electronic devices. IEEE Trans. Compon. Hybrids Manuf. Technol. 1992, 15, 715–722. [Google Scholar] [CrossRef]
- Shakouri, A.; Lee, E.Y.; Smith, D.L.; Narayanamurti, V.; Bowers, J.E. Thermoelectric Effects In Submicron Heterostructure Barriers. Microscale Thermophys. Eng. 1998, 2, 37–47. [Google Scholar] [CrossRef]
- Chen, G.; Shakouri, A. Heat Transfer in Nanostructures for Solid-State Energy Conversion. J. Heat Transf. 2001, 124, 242–252. [Google Scholar] [CrossRef]
- Shakouri, A.; Zebarjadi, M. Nanoengineered Materials for Thermoelectric Energy Conversion. In Thermal Nanosystems and Nanomaterials; Topics in Applied, Physics, Volz, S., Eds.; Springer: Berlin/Heidelberg, Germany, 2009; Volume 118, pp. 225–299. [Google Scholar]
- Borkar, S. Design challenges of technology scaling. IEEE Micro 1999, 19, 23–29. [Google Scholar] [CrossRef]
- Whitney, R.S.; Sánchez, R.; Splettstoesser, J. Quantum Thermodynamics of Nanoscale Thermoelectrics and Electronic Devices. In Thermodynamics in the Quantum Regime. Fundamental Theories of Physics; Binder, F., Correa, L., Gogolin, C., Anders, J., Adesso, G., Eds.; Springer: Berlin/Heidelberg, Germany, 2018; Volume 195. [Google Scholar]
- Van Roosbroeck, W. Theory of the Flow of Electrons and Holes in Germanium and Other Semiconductors. Bell Syst. Tech. J. 1950, 29, 560–607. [Google Scholar] [CrossRef]
- Shockley, W. Electrons and Holes in Semiconductors; D. Van Nostrand Company, Inc.: Princeton, NJ, USA, 1950. [Google Scholar]
- Sze, S.M.; Mattis, D.C. Physics of Semiconductor Devices; Wiley-Interscience: New York, NY, USA, 1981. [Google Scholar]
- Rohr, P.; Lindholm, F.A.; Allen, K.R. Questionability of drift-diffusion transport in the analysis of small semiconductor devices. Solid State Electron. 1974, 17, 729–734. [Google Scholar] [CrossRef]
- Barker, J.; Ferry, D. On the physics and modeling of small semiconductor devices—I. Solid State Electron. 1980, 23, 519–530. [Google Scholar] [CrossRef]
- Jacoboni, C.; Lugli, P. The Monte Carlo Method for Semiconductor Device Simulation; Springer Science: Berlin/Heidelberg, Germany, 2012. [Google Scholar]
- Fischetti, M.V. Monte Carlo simulation of transport in technologically significant semiconductors of the diamond and zinc-blende structures. I. Homogeneous transport. IEEE Trans. Electron Devices 1991, 38, 634–649. [Google Scholar] [CrossRef]
- Frank, D.J.; Laux, S.E.; Fischetti, M.V. Monte Carlo simulation of a 30 nm dual-gate MOSFET: How short can Si go? In IEDM Tech. Dig. 1992, 553–556. [Google Scholar] [CrossRef]
- Sadi, T.; Kelsall, R.W.; Pilgrim, N.J. Electrothermal Monte Carlo simulation of submicrometer Si/SiGe MO DFETs. IEEE Trans. Electron Devices 2007, 54, 332–339. [Google Scholar] [CrossRef]
- Chen, Y.; Li, D.; Lukes, J.R.; Majumdar, A. Monte Carlo Simulation of Silicon Nanowire Thermal Conductivity. ASME J. Heat Transfer 2005, 127, 1129–1137. [Google Scholar] [CrossRef]
- Mazumder, S.; Majumdar, A. Monte Carlo Study of Phonon Transport in Solid Thin Films including Dispersion and Polarization. ASME J. Heat Transfer 2001, 123, 749–759. [Google Scholar]
- Sinha, S.; Goodson, K.E. Review: Multiscale Thermal Modeling in Nanoelectronics. Int. J. Multiscale Comput. Eng. 2005, 3, 107–133. [Google Scholar] [CrossRef]
- Raleva, K.; Vasileska, D.; Goodnick, S.M.; Nedjalkov, M. Modeling Thermal Effects in Nanodevices. IEEE Trans. Electron Devices 2008, 55, 1306–1316. [Google Scholar] [CrossRef]
- Vasileska, D.; Goodnick, S.M.; Klimeck, G. Computational Electronics: Semiclassical and Quantum Transport Modeling; CRC Press: Boca Raton, FL, USA, 2010. [Google Scholar]
- Hossein, A.; Raleva, K.; Vasileska, D.; Goodnick, S.M. Self-Heating effects in nanowire transistors. NST Nanotech. 2010, 2, 45–48. [Google Scholar]
- Callen, H.B. Thermodynamics and an Introduction to Thermostatistics, 2nd ed.; John Wiley and Sons: Chichester, UK, 1985. [Google Scholar]
- Lindefelt, U. Heat generation in semiconductor devices. J. Appl. Phys. 1994, 75, 942–957. [Google Scholar] [CrossRef]
- Langreth, D.C. Linear and Non Linear Response Theory with Applications. In Linear and Non-Linear Electron Transport in Solids; Devreese, J.T., van Boren, E., Eds.; Plenum: New York, NY, USA, 1976; pp. 3–32. [Google Scholar]
- Khan, F.S.; Davies, J.H.; Wilkins, J.W. Quantum transport equations for high electric fields. Phys. Rev. B 1987, 36, 2578–2597. [Google Scholar] [CrossRef] [PubMed]
- Schwinger, J. Brownian Motion of a Quantum Oscillator. J. Math. Phys. 1961, 2, 407. [Google Scholar] [CrossRef]
- Keldysh, L.V. Diagram technique for non-equilibrium processes. Sov. Phys. JETP 1965, 20, 1018. [Google Scholar]
- Kadanoff, L.P.; Baym, G. Quantum Statistical Mechanics; CRC Press: Boca Raton, FL, USA, 2018. [Google Scholar]
- Barker, J.R. Quantum theory of high field transport in semiconductors. J. Phys. C 1973, 6, 2663–2685. [Google Scholar] [CrossRef]
- Barker, J.R.; Ferry, D.K. Self-Scattering Path-Variable Formulation of High-Field, Time-Dependent, Quantum Kinetic Equations for Semiconductor Transport in the Finite-Collision-Duration Regime. Phys. Rev. Lett. 1979, 42, 1779–1781. [Google Scholar] [CrossRef]
- Barker, J.R. Fundamental aspects of quantum transport. In Handbook of Semiconductors; Paul, W., Ed.; North Holland: Amsterdam, The Netherlands, 1982; Volume 1, Chapter 13; pp. 617–659. [Google Scholar]
- Pop, E. Heat Generation and Transport in SOI and GOI Devices. ECS Meet. Abstr. 2007, 6, 151–157. [Google Scholar] [CrossRef]
- Pala, M.; Cresti, A. Increase of self-heating effects in nanodevices induced by surface roughness: A full-quantum study. J. Appl. Phys. 2015, 117, 084313. [Google Scholar] [CrossRef]
- Rhyner, R.; Luisier, M. Influence of anharmonic phonon decay on self-heating in Si nanowire transistors. Appl. Phys. Lett. 2014, 105, 062113. [Google Scholar] [CrossRef]
- Fischetti, M.V.; Laux, S.E. Performance degradation of small silicon devices caused by long-range Coulomb interactions. Appl. Phys. Lett. 2000, 76, 2277–2279. [Google Scholar] [CrossRef]
- Fischetti, M.V. Long-Range Coulomb interactions in small Si devices. Part II. Effective electron mobility in thin-oxide structures. J. Appl. Phys. 2001, 89, 1232–1250. [Google Scholar] [CrossRef]
- Fischetti, M.V.; Neumayer, D.A.; Cartier, E.A. Effective electron mobility in Si inversion layers in metal oxide-semiconductor systems with a high-k insulator: The role of remote phonon scattering. J. App. Phys. 2001, 90, 4587–4608. [Google Scholar] [CrossRef]
- Barker, J.R.; Martinez, A. Remote soft-optical phonon scattering in Si nanowire FETs. In Proceedings of the 2014 International Workshop on Computational Electronics (IWCE 2014), Institute of Electrical and Electronics Engineers (IEEE), Paris, France, 3–6 June 2014; pp. 143–145. [Google Scholar]
- Srivastava, G.P.; Kresin, V. The Physics of Phonons. Phys. Today 1991, 44, 75. [Google Scholar] [CrossRef]
- Broido, D.; Malorny, M.; Birner, G.; Mingo, N.; Stewart, D.A. Intrinsic lattice thermal conductivity of semiconductors from first principles. Appl. Phys. Lett. 2007, 91, 231922. [Google Scholar] [CrossRef]
- Datta, S. Electronic Transport in Mesoscopic Systems; Cambridge University Press: Cambridge, UK, 1997. [Google Scholar]
- Datta, S. Quantum Transport: Atom to Transistor; Cambridge University Press: Cambridge, UK, 2005. [Google Scholar]
- Landauer, R. Spatial Variation of Currents and Fields Due to Localized Scatterers in Metallic Conduction. IBM J. Res. Dev. 1957, 1, 223–231. [Google Scholar] [CrossRef]
- Wachutka, G. Rigorous thermodynamic treatment of heat generation and conduction in semiconductor device modeling. IEEE Trans. Comput. Des. Integr. Circuits Syst. 1990, 9, 1141–1149. [Google Scholar] [CrossRef]
- Sadi, T.; Thobel, J.-L.; Dessenne, F. Self-Consistent electrothermal Monte Carlo simulation of single InAs nanowire channel metal-insulator field-effect transistors. J. Appl. Phys. 2010, 108, 084506. [Google Scholar] [CrossRef]
- Lai, J.; Majumdar, A. Concurrent thermal and electrical modeling of sub-micrometer silicon devices. J. Appl. Phys. 1996, 79, 7353–7361. [Google Scholar] [CrossRef]
- Majumdar, A.; Fushinobu, K.; Hijikata, K. Effect of gate voltage on hot-electron and hot phonon interaction and transport in a submicrometer transistor. J. Appl. Phys. 1995, 77, 6686–6694. [Google Scholar] [CrossRef]
- Goodnick, S.; Raleva, K.; Vasileska, D. Self-Consistent thermal electron-phonon simulator for SOI devices. In Proceedings of the 11th Annual NSTI Nanotechnology Conference and Trade Show, Boston, MA, USA, 1–5 June 2008; pp. 537–540. [Google Scholar]
- Goodnick, S.M.; Raleva, K.; Vasileska, D. Heating Effects in Dual-Gate Devices. In Proceedings of the 2008 8th IEEE Conference on Nanotechnology, Arlington, TX, USA, 18–21 August 2008; pp. 10–13. [Google Scholar]
- Goodnick, S.M.; Honsberg, C. Ultrafast carrier relaxation and nonequilibrium phonons in hot carrier solar cells. In Proceedings of the 2011 37th IEEE Photovoltaic Specialists Conference, Seattle, WA, USA, , 19–24 June 2011; pp. 002066–002070. [Google Scholar]
- Raleva, K.; Bury, E.; Kaczer, B.; Vasileska, D. Uncovering the temperature of the hotspot in nanoscale devices. In Proceedings of the 2014 International Workshop on Computational Electronics, Paris, France, 3–6 June 2014; pp. 104–106. [Google Scholar]
- Mohamed, M.; Aksamija, Z.; Vitale, W.; Hassan, F.; Park, K.H.; Ravaioli, U. A Conjoined Electron and Thermal Transport Study of Thermal Degradation Induced During Normal Operation of Multigate Transistors. IEEE Trans. Electron Devices 2014, 61, 976–983. [Google Scholar] [CrossRef]
- Mohamed, M.; Aksamija, Z.; Godoy, A.; Martin, P.; Hahm, H.-S.; Lee, W.; Lee, K.; Ravaioli, U. Size effects and performance assessment in nanoscale multigate MOS FET structures. J. Comput. Theoret. Nanosci. 2009, 6, 1927–1936. [Google Scholar] [CrossRef]
- Lifshitz, E.M.; Pitaevski, L.P. Lehrbuch der Theoretischen Physik; Band X Physikalische Kinetik; Akademie-Verlag: Berlin, Germany, 1983. [Google Scholar]
- Bruus, H.; Flensberg, K. Many-Body Quantum Theory in Condensed Matter Physics; Oxford University Press: New York, NY, USA, 2004. [Google Scholar]
- Rammer, J.; Smith, H. Quantum field-theoretical methods in transport theory of metals. Rev. Mod. Phys. 1986, 58, 323–359. [Google Scholar] [CrossRef]
- Danielewicz, P. Quantum Theory of Non-Linear Processes. Ann. Phys. 1984, 152, 239. [Google Scholar] [CrossRef]
- Haug, H.; Jauho, A. -P. Quantum Kinetics in Transport and Optics of Semiconductors; Springer: Berlin/Heidelberg, Germany, 1996. [Google Scholar]
- Mathieu, L.; Rhyner, R. Atomistic simulation of electron and phonon transport in nano-devices. In Proceedings of the European Solid-State Device Research Conference (ESSDERC), Bucharest, Romania, 16–20 September 2020; pp. 308–313. [Google Scholar]
- Aldegunde, M.; Martinez, A.; Barker, J.R. Study of individual phonon scattering mechanisms and the validity of Matthiessen’s rule in a gate-all-around silicon nanowire transistor. J. Appl. Phys. 2013, 113, 14501. [Google Scholar] [CrossRef]
- Valin, R.; Aldegunde, M.; Martinez, A.; Barker, J.R. Quantum Transport of a Nanowire FET with Complex Phonon Self-Energy. J. Appl. Phys. 2014, 116, 084507. [Google Scholar] [CrossRef]
- Luttinger, J.M.; Kohn, W. Motion of Electrons and Holes in Perturbed Periodic Fields. Phys. Rev. 1955, 97, 869–883. [Google Scholar] [CrossRef]
- Martínez, A.; Bescond, M.; Barker, J.R.; Svizhenko, A.; Anantram, M.; Millar, C.; Asenov, A. A Self-Consistent Full 3-D Real-Space NEGF Simulator for Studying Nonperturbative Effects in Nano-MOSFETs. IEEE Trans. Electron Devices 2007, 54, 2213–2222. [Google Scholar] [CrossRef]
- Nehari, K.; Cavassilas, N.; Autran, J.; Bescond, M.; Munteanu, D.; Lannoo, M. Influence of band structure on electron ballistic transport in silicon nanowire MOSFET’s: An atomistic study. Solid State Electron. 2006, 50, 716–721. [Google Scholar] [CrossRef]
- Barker, J.R. Theory of quantum transport in lateral nanostructures. In Physics and Fabrication of Nanostructures; Read, M., Kirk, W.P., Eds.; Academic Press: Cambridge, MA, USA, 1989; pp. 253–262. [Google Scholar]
- Barker, J.; Pepin, J.; Finch, M.; Laughton, M. Theory of non-linear transport in quantum waveguides. Solid State Electron. 1989, 32, 1155–1159. [Google Scholar] [CrossRef]
- Venugopal, R.; Ren, Z.; Datta, S.; Lundstrom, M.S.; Jovanović, D. Simulating quantum transport in nanoscale transistors: Real versus mode-space approaches. J. Appl. Phys. 2002, 92, 3730–3739. [Google Scholar] [CrossRef]
- Luisier, M.; Schenk, A.; Fichtner, W. Quantum transport in two- and three-dimensional nanoscale transistors: Coupled mode effects in the nonequilibrium Green’s function formalism. J. Appl. Phys. 2006, 100, 43713. [Google Scholar] [CrossRef]
- Lundstrom, M. Fundamentals of Carrier Transport; Cambridge University Press: Cambridge, UK, 2000. [Google Scholar]
- Martinez, A.; Price, A.; Valin, R.; Aldegunde, M.; Barker, J. Impact of phonon scattering in Si/GaAs/InGaAs nanowires and FinFets: A NEGF perspective. J. Comput. Electron. 2016, 15, 1130–1147. [Google Scholar] [CrossRef]
- Supriyo, D. Nanoscale device modeling: the Green’s function method. Superlattices Microstruct. 2000, 28, 253–278. [Google Scholar]
- Kubo, R. The fluctuation-dissipation theorem. Rep. Prog. Phys. 1966, 29, 255–284. [Google Scholar] [CrossRef]
- Smith, A.C.; Janak, J.F.; Adler, R.B. Electronic Conduction in Solids; McGraw Hill: New York, NY, USA, 1967. [Google Scholar]
- Lake, R.; Datta, S. Nonequilibrium Green’s-Function method applied to double-barrier resonant-tunneling diodes. Phys. Rev. B 1992, 45, 6670–6685. [Google Scholar] [CrossRef]
- Lake, R.; Datta, S. Energy balance and heat exchange in mesoscopic systems. Phys. Rev. B 1992, 46, 4757–4763. [Google Scholar] [CrossRef]
- Martinez, A.; Barker, J.R.; Aldegunde, M.; Valin, R. Study of Local Power Dissipation in Ultrascaled Silicon Nanowire FETs. IEEE Electron Device Lett. 2014, 36, 2–4. [Google Scholar] [CrossRef]
- Rhyner, R.; Luisier, M. Atomistic modeling of coupled electron-phonon transport in nanowire transistors. Phys. Rev. B 2014, 89, 235311. [Google Scholar] [CrossRef]
- Price, A.; Martinez, A. Electrothermal simulations of Si and III-V nanowire field effect transistors: A non-equilibrium Green’s function study. J. Appl. Phys. 2017, 122, 074502. [Google Scholar] [CrossRef]
- Laux, S.; Kumar, A.; Fischetti, M. QDAME simulation of 7.5 nm double-gate Si nFETs with differing access geometries. In Proceedings of the Digest International Electron Devices Meeting, San Francisco, CA, USA, 8–11 December 2002; pp. 715–718. [Google Scholar] [CrossRef]
- K urniawan, O.; Bai, P.; Li, E. Ballistic calculation of nonequilibrium Green’s function in nanoscale devices using finite element method. J. Phys. D Appl. Phys. 2009, 42, 105109. [Google Scholar] [CrossRef]
- Svizhenko, A.; Anantram, M.P.; Govindan, T.R.; Biegel, B.; Venugopal, R. Two-Dimensional quantum mechanical modeling of nano-transistors. J. Appl. Phys. 2002, 91, 2343–2354. [Google Scholar] [CrossRef]
- Jin, S.; Fischetti, M.V.; Tang, T.-W. Modeling of electron mobility in gated silicon nanowires at room temperature: Surface roughness scattering, dielectric screening, and band nonparabolicity. J. Appl. Phys. 2007, 102, 83715. [Google Scholar] [CrossRef]
- Yu, S.; Iafrate, G.J.; Kim, K.W.; Stroscio, M.A. Electron-Acoustic-phonon scattering rates in cylindrical quantum wires. Phys. Rev. B 1995, 51, 4695–4698. [Google Scholar] [CrossRef] [PubMed]
- Tanaka, H.; Suda, J.; Kimoto, T. Insight into phonon scattering in Si nanowires through high-field hole transport: Impacts of boundary condition and comparison with bulk phonon approximation. J. Phys. Conf. Ser. 2017, 864, 012046. [Google Scholar] [CrossRef]
- Ajami, A.; Banerjee, K.; Pedram, M. Modeling and analysis of nonuniform substrate temperature effects on global ULSI interconnects. IEEE Trans. Comput. Des. Integr. Circuits Syst. 2005, 24, 849–861. [Google Scholar] [CrossRef]
- Ma, J.; Sadhu, J.S.; Ganta, D.; Tian, H.; Sinha, S. Thermal transport in 2 and 3 dimensional periodic holey nanostructures. AIP Adv. 2014, 4, 124502. [Google Scholar] [CrossRef]
- Caroli, C.; Combescot, R.; Lederer, D.; Nozieres, P.; Saint-James, D. Direct calculation of the tunneling current. J. Phys. C Solid State Phys. 1971, 4, 916. [Google Scholar] [CrossRef]
- Kubis, T.; Vogl, P. Self-Consistent quantum transport theory: Applications and assessment of approximate models. J. Comput. Electron. 2006, 6, 183–186. [Google Scholar] [CrossRef]
- Kubis, T.; Vogl, P. Assessment of approximations in non-equilibrium Green’s function theory. Phys. Rev. B 2011, 83, 195304. [Google Scholar] [CrossRef]
- Barker, J.R.; Martinez, A. Self-Energy Models for Scattering in Semiconductor Nanoscale Devices: Causality Considerations and the Spectral Sum Rule. Mat. Res. Soc. Proc. 2013, 1551, 17–22. [Google Scholar] [CrossRef]
- Barker, J.; Martinez, A.; Aldegunde, M.; Valin, R. Causal self-energies for NEGF modelling of quantum nanowires. J. Phys. Conf. Ser. 2014, 526, 012001. [Google Scholar] [CrossRef]
- Svizhenko, A.; Anantram, M.P. Effect of scattering and contacts on current and electrostatics in carbon nanotubes. Phys. Rev. B 2005, 72. [Google Scholar] [CrossRef]




















© 2020 by the authors. Licensee MDPI, Basel, Switzerland. This article is an open access article distributed under the terms and conditions of the Creative Commons Attribution (CC BY) license (http://creativecommons.org/licenses/by/4.0/).
Share and Cite
Martinez, A.; Barker, J.R. Quantum Transport in a Silicon Nanowire FET Transistor: Hot Electrons and Local Power Dissipation. Materials 2020, 13, 3326. https://doi.org/10.3390/ma13153326
Martinez A, Barker JR. Quantum Transport in a Silicon Nanowire FET Transistor: Hot Electrons and Local Power Dissipation. Materials. 2020; 13(15):3326. https://doi.org/10.3390/ma13153326
Chicago/Turabian StyleMartinez, Antonio, and John R. Barker. 2020. "Quantum Transport in a Silicon Nanowire FET Transistor: Hot Electrons and Local Power Dissipation" Materials 13, no. 15: 3326. https://doi.org/10.3390/ma13153326
APA StyleMartinez, A., & Barker, J. R. (2020). Quantum Transport in a Silicon Nanowire FET Transistor: Hot Electrons and Local Power Dissipation. Materials, 13(15), 3326. https://doi.org/10.3390/ma13153326
