Impact of Laboratory-Accelerated Aging Methods to Study Alkali–Silica Reaction and Reinforcement Corrosion on the Properties of Concrete
Abstract
1. Introduction
2. Experimental Program
2.1. Materials
2.2. Mixture Proportions and Specimen Preparation
2.3. Characterization Methods
3. Results and Discussion
3.1. Density, Void and Absorption
3.2. Cracking Observations
3.3. Effect of ASR on Diffusivity
3.4. Effect of Chloride on Corrosion Activity of Steel Rebar
3.5. Surface Resistivity
3.6. Expansion Measurements
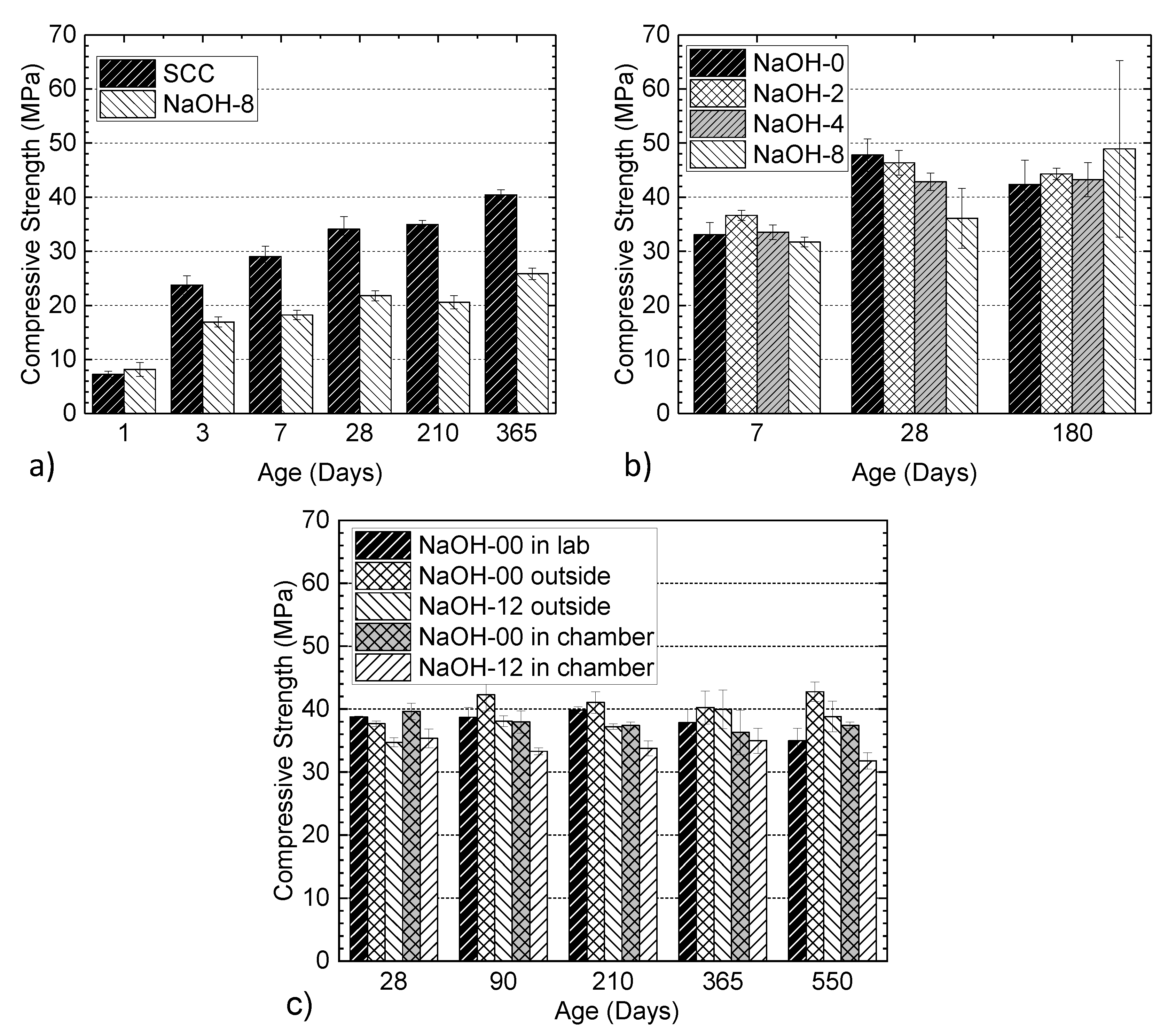
3.7. Compressive Strength
3.8. Split Tensile Strength
3.9. Flexural Strength
4. Conclusions
- (1)
- Using reactive fine aggregate, no fly ash and adding alkalis in the form of NaOH directly into the fresh concrete paste was found to be an effective method to accelerate ASR of specimens kept in ambient outdoor conditions. The increase in total alkali loading resulted in a decrease in the compressive and splitting tensile strength of concrete at 28 days but an increase in strength after 180 days. When the error bars are considered, the general trend of decreasing strength with increasing NaOH addition is observed, suggesting accelerated ASR in the presence of alkali.
- (2)
- The first ASR cracks on specimens with a total alkali loading of 5.57 kg/m3 were observed at around 90 days and the crack intensity increased over time during the 432-day measurement period. While the crack intensity on the surface increased and the cracks coalesced, the crack widths remained between 0.05 mm and 0.1 mm throughout the measurement period of 432 days.
- (3)
- The addition of chloride accelerated the rebar corrosion, evidenced by the reduced open circuit corrosion potential measurements and crack maps. Cracks due to corrosion in specimens with 4% chloride by weight of cement were first observed approximately 90 days after casting. Differently from the cracks generated by ASR, both the crack length and width increased with time.
- (4)
- The effect of 4% chloride addition on the physical and mechanical properties of concrete was observed to be more severe than that of 1% and 2% chloride, indicating that the corrosion of the embedded steel rebar with a high probability occurred at a chloride level of 4%.
- (5)
- The bulk diffusivity results show that the chloride diffusivity of concrete with fly ash and no NaOH addition was lower than that of the mix without fly ash and a 0.8% NaOH addition. This indicates the role of sodium hydroxide in increasing the porosity of the ensuing concrete in addition to the increased diffusivity created from the interconnectedness of micro-cracks due to ASR gel expansion.
- (6)
- In comparison with SCC, a lower surface resistivity was observed for the NaOH-8 mixture and its difference from the SCC grew over time. The addition of chloride resulted in a decreased surface resistivity and the chloride permeability of concrete increased with increasing chloride addition.
- (7)
- The concrete reinforcement ratio was shown to reduce the ASR expansion. Increasing the longitudinal reinforcement ratio of concrete from 0% to 3.41% reduced the ASR-induced expansion by 29% to 56% in different environments. The ASR expansion of plain concrete prisms from the mixture with a 5.3 kg/m3 total alkali content was 0.62% during the 575 days in the outside environment, while this value for the same concrete with a 3.41% reinforcement ratio was 0.28%.
Author Contributions
Funding
Acknowledgments
Conflicts of Interest
Abbreviations
| ASR | alkali–silica reactivity |
| DEMEC | demountable mechanical strain gauge |
| RC | reinforced concrete |
| RH | relative humidity |
| SCC | self-consolidating concrete |
References
- Tong, L.; Liu, B.; Xian, Q.; Zhao, X.-L. Experimental study on fatigue behavior of Steel Reinforced Concrete (SRC) beams. Eng. Struct. 2016, 123, 247–262. [Google Scholar] [CrossRef]
- Ou, Y.-C.; Nguyen, N.D. Influences of location of reinforcement corrosion on seismic performance of corroded reinforced concrete beams. Eng. Struct. 2016, 126, 210–223. [Google Scholar] [CrossRef]
- Naus, D.J. The management of aging in nuclear power plant concrete structures. JOM 2009, 61, 35–41. [Google Scholar] [CrossRef]
- Ju, Y.; Liu, J.; Liu, H.; Tian, K.; Ge, Z. On the thermal spalling mechanism of reactive powder concrete exposed to high temperature: Numerical and experimental studies. Int. J. Heat Mass Transf. 2016, 98, 493–507. [Google Scholar] [CrossRef]
- Xiong, M.-X.; Liew, J.Y.R. Mechanical behaviour of ultra-high strength concrete at elevated temperatures and fire resistance of ultra-high strength concrete filled steel tubes. Mater. Des. 2016, 104, 414–427. [Google Scholar] [CrossRef]
- Maes, M.; De Belie, N. Resistance of concrete and mortar against combined attack of chloride and sodium sulphate. Cem. Concr. Compos. 2014, 53, 59–72. [Google Scholar] [CrossRef]
- Shi, C.; Wang, D.; Behnood, A. Review of Thaumasite Sulfate Attack on Cement Mortar and Concrete. J. Mater. Civ. Eng. 2012, 24, 1450–1460. [Google Scholar] [CrossRef]
- Suraneni, P.; Azad, V.J.; Isgor, O.B.; Weiss, W.J. Deicing Salts and Durability of Concrete Pavements and Joints. Concr. Int. 2016, 38, 48–54. [Google Scholar]
- Zhou, Y.; Gencturk, B.; Willam, K.; Attar, A. Carbonation-Induced and Chloride-Induced Corrosion in Reinforced Concrete Structures. J. Mater. Civ. Eng. 2015, 27, 04014245. [Google Scholar] [CrossRef]
- Ma, Y.; Xiang, Y.; Wang, L.; Zhang, J.; Liu, Y. Fatigue life prediction for aging RC beams considering corrosive environments. Eng. Struct. 2014, 79, 211–221. [Google Scholar] [CrossRef]
- El-Tayeb, E.H.; El-Metwally, S.E.; Askar, H.S.; Yousef, A.M. Thermal analysis of reinforced concrete beams and frames. HBRC J. 2017, 13, 8–24. [Google Scholar] [CrossRef]
- Benboudjema, F.; Meftah, F.; Torrenti, J.M. Interaction between drying, shrinkage, creep and cracking phenomena in concrete. Eng. Struct. 2005, 27, 239–250. [Google Scholar] [CrossRef]
- Zapała-Sławeta, J.; Owsiak, Z. The role of lithium compounds in mitigating alkali-gravel aggregate reaction. Constr. Build. Mater. 2016, 115, 299–303. [Google Scholar] [CrossRef]
- RILEM. Prognosis of Deterioration and Loss of Serviceability in Structures Affected by Alkali-Silica Reactions, Technical Committee 259-ISR. Available online: http://www.rilem.org/gene/main.php?base=8750&gp_id=323 (accessed on 20 March 2016).
- Ballarini, R.; Gencturk, B.; Jain, A.; Aryan, H.; Xi, Y.; Abdelrahman, M.; Spencer, B.W. Multiple Degradation Mechanisms in Reinforced Concrete Structures, Modeling and Risk Analysis; Idaho National Lab.: Idaho Falls, ID, USA, 2020. [Google Scholar]
- Kim, M.O.; Bordelon, A.; Lee, M.K.; Oh, B.H. Cracking and failure of patch repairs in RC members subjected to bar corrosion. Constr. Build. Mater. 2016, 107, 255–263. [Google Scholar] [CrossRef]
- Broomfield, J.P. Corrosion of Steel in Concrete, Understanding, Investigation and Repair, 1st ed.; E & FN Spon: London, UK, 1997. [Google Scholar]
- Pesavento, F.; Gawin, D.; Wyrzykowski, M.; Schrefler, B.A.; Simoni, L. Modeling Alkali-Silica Reaction in Non-Isothermal, Partially Saturated Cement Based Materials. Comput. Method Appl. Mech. Eng. 2012, 225–228, 95–115. [Google Scholar] [CrossRef]
- Bažant, Z.P.; Steffens, A. Mathematical Model for Kinetics of Alkali–Silica Reaction in Concrete. Cem. Concr. Res. 2000, 30, 419–428. [Google Scholar] [CrossRef]
- ACI. Report on Alkali-Aggregate Reactivity (ACI 221.1R); American Concrete Institute (ACI): Farmington Hills, MI, USA, 1998. [Google Scholar]
- Ferraris, C.F. Alkali-Silica Reaction and High Performance Concrete; National Institute of Standards and Technology (NIST): Gaithersburg, MD, USA, 1995; p. 5742.
- Mukhopadhyay, A.K.; Ghanem, H.; Shon, C.-S.; Gress, D.; Hooton, D. Mitigation of ASR in Concrete Pavement-Combined Materials Testing; Innovative Pavement Research Foundation (IPRF): Skokie, IL, USA, 2009; IPRF-01-G-002-03-2.
- Stanton, T.E. Studies to Develop an Accelerated Test Procedure for The Detection Of Adversely Reactive Cement-Aggregate Combination. Am. Soc. Test. Mater. Proc. 1943, 43, 875–893. [Google Scholar]
- Davis, G.; Oberholster, R.E. Alkali-Silica Reaction Products and Their Development. Cem. Concr. Res. 1988, 18, 621–635. [Google Scholar] [CrossRef]
- Nuruddin, M.F.; Demie, S.; Ahmed, M.F.; Shafiq, N. Effect of Superplasticizer and NaOH Molarity on Workability, Compressive Strength and Microstructure Properties of Self-Compacting Geopolymer Concrete. Int. J. Environ. Chem. Ecol. Geol. Geophys. Eng. 2011, 5, 187–194. [Google Scholar]
- Bahadure, B.M.; Naik, N.S. Effect of Alkaline Activator on Workability and Compressive Strength of Cement Concrete with RHA. Int. J. Comput. Eng. Res. 2013, 3, 15–20. [Google Scholar]
- Kupwade-Patil, K.; Allouche, E. Impact of Alkali Silica Reaction on Fly Ash-Based Geopolymer Concrete. ASCE J. Mater. Civ. Eng. 2013, 25, 131–139. [Google Scholar] [CrossRef]
- Memon, F.A.; Nuruddin, M.F.; Khan, S.; Shafiq, N.; Ayub, T. Effect of Sodium Hydroxide Concentration on Fresh Properties and Compressive Strength of Self-Compacting Geopolymer Concrete. J. Eng. Sci. Technol. 2013, 8, 44–56. [Google Scholar]
- Aryan, H.; Gencturk, B.; Hanifehzadeh, M.; Wei, J. ASR Degradation and Expansion of Plain and Reinforced Concrete. In Structures Congress 2020; ASCE: Reston, VA, USA, 2020. [Google Scholar]
- Sanchez, L.F.M.; Fournier, B.; Jolin, M.; Mitchell, D.; Bastien, J. Overall assessment of Alkali-Aggregate Reaction (AAR) in concretes presenting different strengths and incorporating awide range of reactive aggregate types and natures. Cem. Concr. Res. 2017, 93, 7–31. [Google Scholar] [CrossRef]
- Esposito, R.; Anac, C.; Hendriks, M.A.N.; Copuroglu, O. Influence of the alkali-silica reaction on the mechanical degradation of concrete. J. Mater. Civ. Eng. 2016, 28, 04016007. [Google Scholar] [CrossRef]
- Berra, M.; Mangialardi, T.; Paolini, A.E. Alkali Release from Aggregates in Long-Service Concrete Structures: Laboratory Test Evaluation and ASR Prediction. Materials 2018, 11, 1393. [Google Scholar] [CrossRef] [PubMed]
- Holder, T.B. The Determination of Chloride Threshold Concentrations Using Different Supplementary Cementing Materials in Steel-Reinforced Concrete. Master’s Thesis, University of Toronto, Toronto, ON, Canada, 1999. [Google Scholar]
- Zhao, Y.; Yu, J.; Hu, B.; Jin, W. Crack shape and rust distribution in corrosion-induced cracking concrete. Corros. Sci. 2012, 55, 385–393. [Google Scholar] [CrossRef]
- Bertolini, L.; Elsener, B.; Pedeferri, P.; Redaelli, E.; Polder, R. Corrosion of Steel in Concrete: Prevention, Diagnosis, Repair, 2nd ed.; Wiley-VCH: Singapore, 2013. [Google Scholar]
- Almusallam, A.A.; Al-Gahtani, A.S.; Aziz, A.R. Effect of Reinforcement Corrosion on Bond Strength. Constr. Build. Mater. 1996, 10, 123–129. [Google Scholar] [CrossRef]
- Jaffer, S.J.; Hansson, C.M. Chloride-Induced Corrosion Products of Steel in Cracked-Concrete Subjected to Different Loading Conditions. Cem. Concr. Res. 2009, 39, 116–125. [Google Scholar] [CrossRef]
- TAl-Attar, S.; Abdul-Kareem, M.S. Effect of Chloride ions Source on Corrosion of Reinforced Normal and High Performance Concrete. Bul. Asoc. Gen. A Ing. Din Rom. (AGIR) 2011, 2, 107–112. [Google Scholar]
- Pruckner, F.; Gjørv, O.E. Effect of CaCl2 and NaCl Additions on Concrete Corrosivity. Cem. Concr. Res. 2004, 34, 1209–1217. [Google Scholar] [CrossRef]
- Kelestemur, O.; Yildiz, S. Effect of Various NaCl Concentration on Corrosion of Steel in Concrete Produced by Addition of Styrofoam. Gazi Univ. J. Sci. 2006, 19, 163–172. [Google Scholar]
- Otieno, M.; Beushausen, H.; Alexander, M. Chloride-induced corrosion of steel in cracked concrete—Part I: Experimental studies under accelerated and natural marine environments. Cem. Concr. Res. 2016, 79, 373–385. [Google Scholar] [CrossRef]
- Choe, G.; Shinohara, Y.; Kim, G.; Nam, J. Numerical Investigation on Lateral Confinement Effects on Concrete Cracking Induced by Rebar Corrosion. Materials 2020, 13, 1156. [Google Scholar] [CrossRef] [PubMed]
- Castaldo, P.; Palazzo, B.; Mariniello, A. Effects of the axial force eccentricity on the time-variant structural reliability of aging r.c. cross-sections subjected to chloride-induced corrosion. Eng. Struct. 2017, 130, 261–274. [Google Scholar] [CrossRef]
- Islam, M.S.; Ghafoori, N. Relation of ASR-induced expansion and compressive strength of concrete. Mater. Struct. 2015, 48, 4055–4066. [Google Scholar] [CrossRef]
- Bleszynski, R.F.; Thomas, M.D.A. Microstructural Studies of Alkali-Silica Reaction in Fly Ash Concrete Immersed in Alkaline Solutions. Adv. Cem. Based Mater. 1998, 7, 66–78. [Google Scholar] [CrossRef]
- Gao, X.X.; Multon, S.; Cyr, M.; Sellier, A. Alkali–silica reaction (ASR) expansion: Pessimum effect versus scale effect. Cem. Concr. Res. 2013, 44, 25–33. [Google Scholar] [CrossRef]
- Deus, J.M.; Freire, L.; Montemor, M.F.; Nóvoa, X.R. The corrosion potential of stainless steel rebars in concrete: Temperature effect. Corros. Sci. 2012, 65, 556–560. [Google Scholar] [CrossRef]
- Tang, F.; Chen, G.; Brow, R.K.; Volz, J.S.; Koenigstein, M.L. Corrosion resistance and mechanism of steel rebar coated with three types of enamel. Corros. Sci. 2012, 59, 157–168. [Google Scholar] [CrossRef]
- Ann, K.Y.; Song, H.-W. Chloride threshold level for corrosion of steel in concrete. Corros. Sci. 2007, 49, 4113–4133. [Google Scholar] [CrossRef]
- Yuan, Y.; Ji, Y.; Shah, S.P. Comparison of Two Accelerated Corrosion Techniques for Concrete Structures. ACI Struct. J. 2007, 104, 344–347. [Google Scholar]
- Castro, J.; Bentz, D.; Weiss, J. Effect of sample conditioning on the water absorption of concrete. Cem. Concr. Compos. 2011, 33, 805–813. [Google Scholar] [CrossRef]
- ASTM. Standard Test Method for Potential Alkali Reactivity of Aggregates (Mortar-Bar Method); American Society for Testing of Materials (ASTM): West Conshohocken, PA, USA, 2014.
- ASTM. Standard Test Method for Compressive Strength of Cylindrical Concrete Specimens; ASTM C39-12; American Society for Testing of Materials (ASTM): West Conshohocken, PA, USA, 2012.
- ASTM. Standard Test Method for Splitting Tensile Strength of Cylindrical Concrete Specimens; ASTM C496-11; American Society for Testing of Materials (ASTM): West Conshohocken, PA, USA, 2011.
- ASTM. Standard Practice for Preparing, Cleaning, and Evaluating Corrosion Test Specimens; ASTM G1-03; American Society for Testing of Materials (ASTM): West Conshohocken, PA, USA, 2011.
- NT-build. Concrete, Hardened: Chloride Content by Volhard Titration; NT build 208; Nordtest: Esbo, Finland, 1996. [Google Scholar]
- NT-build. Concrete, Hardened: Accelerated Chloride Penetration; NT build 443; Nordtest: Esbo, Finland, 1995. [Google Scholar]
- ASTM. Standard Test Method for Corrosion Potentials of Uncoated Reinforcing Steel in Concrete; ASTM C876-09; American Society for Testing of Materials (ASTM): West Conshohocken, PA, USA, 2009.
- AASHTO. Standard Method of Test for Surface Resistivity Indication of Concrete’s Ability to Resist Chloride Ion Penetration; AASHTO TP 95-14; American Association of State Highway and Transportation Officials (AASHTO): Washington, DC, USA, 2014.
- ASTM. Standard Test Method for pH of Chemically Cleaned or Etched Concrete Surfaces; ASTM D4262-05; American Society for Testing of Materials (ASTM): West Conshohocken, PA, USA, 2012.
- ASTM. Standard Test Method for Density, Absorption, and Voids in Hardened Concrete; ASTM C642; American Society for Testing of Materials (ASTM): West Conshohocken, PA, USA, 2013.
- ASTM. Standard Test Method for Flexural Strength of Concrete (Using Simple Beam with Third-Point Loading); ASTM C78-18; American Society for Testing of Materials (ASTM): West Conshohocken, PA, USA, 2018.
- MathWorks. MATLAB; R2017a; MathWorks, Inc.: Natick, MA, USA, 2018. [Google Scholar]
- Song, H.-W.; Saraswathy, V. Corrosion Monitoring of Reinforced Concrete Structures—A Review. Int. J. Electrochem. Sci. 2007, 2, 1–28. [Google Scholar]
- Clear, K.C. FCP Annual Progress Report-Year Ending September 30, 1981, Project 4K: Cost Effective Rigid Concrete Construction and Rehabilitation in Adverse Environments; Federal Highway Administration: Washington, DC, USA, 1981.
- Bilodeau, A.; Malhotral, V.M. Concretes Incorporating High Volume of ASTM Class F Fly Ashes: Mechanical Properties and Resistance to De-Icing Salt Scaling and To Chloride-Ion Penetration. In Proceedings of the Fourth International Conference on the Use of Fly Ash, Silica Fume, Slag and Natural Pozzolans in Concrete, Istanbul, Turkey, 3–8 May 1992; pp. 319–349. [Google Scholar]
- Naik, T.R.; Ramme, B.W.; Tews, J.H. Pavement Construction with High-Volume Class C and Class F Fly Ash Concrete. ACI Mater. J. 1995, 92, 200–210. [Google Scholar]
- TNaik, R.; Singh, S.S.; Hossain, M.M. Permeability of Concrete Containing Large Amount of Fly Ash. Cem. Concr. Res. 1994, 24, 913–922. [Google Scholar]
- Marinoni, N.; Voltolini, M.; Broekmans, M.A.T.M.; Mancini, L.; Monteiro, P.J.M.; Rotiroti, N.; Ferrari, E.; Bernasconi, A. A combined synchrotron radiation micro computed tomography and micro X-ray diffraction study on deleterious alkali-silica reaction. J. Mater. Sci. 2015, 50, 7985–7997. [Google Scholar] [CrossRef]
- NEA. Electrochemical Techniques to Detect Corrosion in Concrete Structures in Nuclear Installations-Technical Note; Nuclear Energy Agency of the OECD (NEA): Paris, France, 2002; NEA-CSNI-R(2002)21.
- Smaoui, N.; Bérubé, M.A.; Fournier, B.; Bissonnette, B.; Durand, B. Effects of alkali addition on the mechanical properties and durability of concrete. Cem. Concr. Res. 2005, 35, 203–212. [Google Scholar] [CrossRef]
- Sargolzahi, M.; Kodjo, S.A.; Rivard, P.; Rhazi, J. Effectiveness of nondestructive testing for the evaluation of alkali–silica reaction in concrete. Constr. Build. Mater. 2010, 24, 1398–1403. [Google Scholar] [CrossRef]
- Juenger, M.C.G.; Jennings, H.M. Effects of High Alkalinity on Cement Pastes. ACI Mater. J. 2001, 98, 251–255. [Google Scholar]
- Bentz, D.P. Influence of alkalis on porosity percolation in hydrating cement pastes. Cem. Concr. Compos. 2006, 28, 427–431. [Google Scholar] [CrossRef]
- Kishar, E.A.; Ahmed, D.A.; Mohammed, M.R.; Noury, R. Effect of calcium chloride on the hydration characteristics of ground clay bricks cement pastes. Beni-Suef Univ. J. Basic Appl. Sci. 2013, 2, 20–30. [Google Scholar] [CrossRef]
- Rapp, P. Effect of Calcium Chloride on Portland Cements and Concretes. J. Res. Natl. Bur. Stand. 1935, 14, 499–517. [Google Scholar] [CrossRef]
- Ramachandran, V.S. Concrete Admixtures Handbook: Properties, Science and Technology; William Andrew: Norwich, NY, USA, 1996. [Google Scholar]
- Al-Kadhimi, T.K.; Baha’a, G.I.; Al-Takarli, S.F. The combined effect of chlorides and sulphates present in water and aggregates on properties of concrete. Mater. Struct. 1988, 21, 436–442. [Google Scholar] [CrossRef]




















| Chemical Compositions (wt.%) | Mineralogical Phase Composition of Cement (wt.%) | |||||
|---|---|---|---|---|---|---|
| Materials | Fly Ash | Cement | Cement | |||
| Type/Class | F | I/II | II | Type | I/II | II |
| SiO2 | 58.21 | 21.11 | 20.9 | Tricalcium silicate (C3S) | 58 | 55 |
| Al2O3 | 24.06 | 4.43 | 4.0 | Dicalcium silicate (C2S) | 17 | 18 |
| Fe2O3 | 4.13 | 3.87 | 3.6 | Tricalcium aluminate (C3A) | 5 | 5 |
| CaO | 8.12 | 63.96 | 63.9 | Na2O equivalent (wt.%) | ||
| MgO | 1.96 | 1.54 | 1.9 | Fly ash | Cement | |
| Class F | Type I/II | Type II | ||||
| SO3 | 0.29 | 2.48 | 2.8 | 0.84 | 0.49 | 0.58 |
| Concrete Mixtures | Materials (kg/m3) | Admixtures (mL/m3) | |||||||||||
|---|---|---|---|---|---|---|---|---|---|---|---|---|---|
| Cement Type | Fly Ash | Sand | Pea Gravel | Crushed Rock | Water | NaOH | CaCl2 | 1 a | 2 b | 3 c | 4 d | ||
| I/II | II | ||||||||||||
| NaOH-0 | 432 | – | – | 1087 e | 1228 f | – | 213 | – | – | 1155 | 2320 | – | – |
| NaOH-00 | – | 291 | – | 727 g | 208 h | 1038 | 154 | 3.6 | – | – | – | 1238 | 1625 |
| NaOH-2 | 432 | – | – | 1087 e | 1228 f | – | 213 | 0.9 | – | 1155 | 2320 | – | – |
| NaOH-4 | 432 | – | – | 1087 e | 1228 f | – | 213 | 1.8 | – | 1155 | 2320 | – | – |
| NaOH-8 | 432 | – | – | 1087 e | 1228 f | – | 213 | 3.7 | – | 1155 | 2320 | – | – |
| NaOH-12 | – | 291 | – | 727 g | 208 h | 1038 | 154 | 3.6 | – | – | – | 1238 | 1625 |
| SCC | 324 | – | 108 | 1087 e | 1228 f | – | 213 | – | – | 1155 | 2320 | – | – |
| CaCl2-1 | 324 | – | 108 | 1087 e | 1228 f | – | 213 | – | 4.9 | 1155 | 2320 | – | – |
| CaCl2-2 | 324 | – | 108 | 1087 e | 1228 f | – | 213 | – | 9.8 | 1155 | 2320 | – | – |
| CaCl2-4 | 324 | – | 108 | 1087 e | 1228 f | – | 213 | – | 19.7 | 1155 | 2320 | – | – |
| Standards | ASTM C39 [53], ASTM C496 [54], ASTM G1-03 [55], NT-build 208 [56], NT-build 443 [57], ASTM C876 [58], AASHTO TP 95-14 [59], ASTM D4262 [60] |
|---|---|
| Specimen type | Cylinders for compressive and split tensile strength (100 × 200 mm) |
| Chloride penetration specimens (for SCC and NaOH-8 mixes only) (100 × 100 mm) | |
| Cylindrical specimen for mass loss and open circuit corrosion potential measurements: 75 × 254 mm cylinder with a single embedded #10 rebar at the center | |
| Property measured a | Compressive strength, splitting tensile strength, mass loss, chloride content, chloride penetration, open circuit corrosion potential, surface resistivity, pH |
| Test ages | Compressive and splitting tensile strength: 1 day, 3 days, 7 days, 28 days, 210 days and 365 days Chloride penetration: 28 days, 180 days and 365 days |
| NaOH a | CaCl2 b | |
|---|---|---|
| Standards | ASTM C39 [53], ASTM C496 [54], ASTM C642 [61], AASHTO TP 95-14 [59] | ASTM C39 [53], ASTM C496 [54], AASHTO TP 95-14 [59], ASTM C876 [58] |
| Specimen type | Cylinders for compressive and split tensile strength (100 × 200 mm) | |
| Cylinders for density, absorption and void (75 × 150 mm) | ||
| Unnotched prisms for length change measurement (100 × 100 × 350 mm) | Cylindrical specimen for open circuit corrosion potential measurements 75 × 254 mm cylinders with embedded #10 bar (9.525 mm) in the middle | |
| Property measured | Compressive strength, splitting tensile strength, density, absorption and void, surface resistivity | Compressive strength, splitting tensile strength, density, surface resistivity, open circuit corrosion potential |
| Test ages | Density, absorption and void: 28 days Compressive and split tensile strength: 7 days, 28 days, 90 days and 180 days | |
| Standards | ASTM C39 [53], ASTM C496 [54], ASTM C78 [62] |
|---|---|
| Specimen type | Cylinders for compressive and split tensile strength (100 × 200 mm) |
| Prisms for flexural strength (150 × 150 × 525 mm) | |
| Prisms for expansion (150 × 150 × 525 mm; 0%, 1.23%, 2.18% and 3.41% reinforcement ratios) | |
| Property measured | Compressive strength, splitting tensile strength, elastic modulus, modulus of rupture, expansion |
| Test ages | Compressive and splitting tensile strength: 28 days, 90 days, 210 days, 365 days, 550 days Flexural strength: 90 days, 210 days, 365 days Expansion: once every other week for 575 days |
| Mix | Bulk Density, Dry (g/cm3) | Bulk Density after Immersion (g/cm3) | Apparent Density (g/cm3) | Absorption after Immersion (%) | Absorption after Immersion and Boiling (%) | Void (%) |
|---|---|---|---|---|---|---|
| NaOH-0 | 1.66 | 1.74 | 1.81 | 4.62 | 4.81 | 8.00 |
| NaOH-2 | 1.64 | 1.72 | 1.78 | 4.48 | 4.65 | 7.64 |
| NaOH-4 | 1.64 | 1.71 | 1.77 | 4.22 | 4.44 | 7.28 |
| NaOH-8 | 1.65 | 1.73 | 1.79 | 4.65 | 4.90 | 8.09 |
| SCC | 1.67 | 1.75 | 1.82 | 4.44 | 4.86 | 8.13 |
| CaCl2-1 | 1.65 | 1.73 | 1.80 | 4.70 | 5.02 | N.A. a |
| CaCl2-2 | 1.65 | 1.73 | 1.79 | 4.49 | 4.83 | N.A. |
| CaCl2-4 | 1.66 | 1.74 | 1.80 | 4.58 | 4.86 | N.A. |
| Mix | 28 Days | 210 Days | 365 Days |
|---|---|---|---|
| De (10−11 m2/s) | De (10−11 m2/s) | De (10−11 m2/s) | |
| SCC | 0.964 | 1.18 | 1.10 |
| NaOH-8 | 4.86 | 5.09 | 7.27 |
© 2020 by the authors. Licensee MDPI, Basel, Switzerland. This article is an open access article distributed under the terms and conditions of the Creative Commons Attribution (CC BY) license (http://creativecommons.org/licenses/by/4.0/).
Share and Cite
Attar, A.; Gencturk, B.; Aryan, H.; Wei, J. Impact of Laboratory-Accelerated Aging Methods to Study Alkali–Silica Reaction and Reinforcement Corrosion on the Properties of Concrete. Materials 2020, 13, 3273. https://doi.org/10.3390/ma13153273
Attar A, Gencturk B, Aryan H, Wei J. Impact of Laboratory-Accelerated Aging Methods to Study Alkali–Silica Reaction and Reinforcement Corrosion on the Properties of Concrete. Materials. 2020; 13(15):3273. https://doi.org/10.3390/ma13153273
Chicago/Turabian StyleAttar, Arezou, Bora Gencturk, Hadi Aryan, and Jianqiang Wei. 2020. "Impact of Laboratory-Accelerated Aging Methods to Study Alkali–Silica Reaction and Reinforcement Corrosion on the Properties of Concrete" Materials 13, no. 15: 3273. https://doi.org/10.3390/ma13153273
APA StyleAttar, A., Gencturk, B., Aryan, H., & Wei, J. (2020). Impact of Laboratory-Accelerated Aging Methods to Study Alkali–Silica Reaction and Reinforcement Corrosion on the Properties of Concrete. Materials, 13(15), 3273. https://doi.org/10.3390/ma13153273

