Experimental Investigation of the Magnetoelectric Effect in NdFeB-Driven A-Line Shape Terfenol-D/PZT-5A Structures
Abstract
1. Introduction
2. Experiment Details
2.1. ME Structures and Working Principle
2.2. Measurement Setup
3. Results and Discussion
3.1. The ME Coefficient in the A-Line Shape Terfenol-D/PZT Structure
3.2. Transient Signal
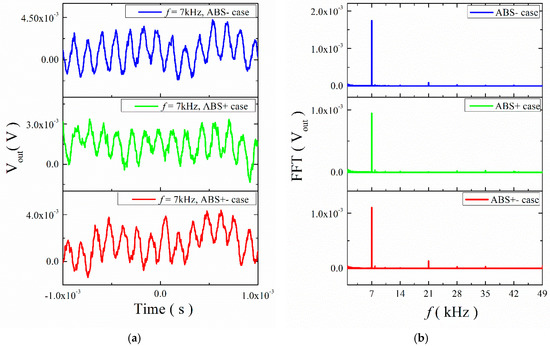
3.3. The Effects of AC Magnetic Fields on ME Voltage
3.4. The Finite Element Model of Vibration Mode and Magnetic Field Distribution of ME Structures
4. Conclusions
Author Contributions
Funding
Acknowledgments
Conflicts of Interest
References
- Bichurin, M.I.; Nan, C.-W.; Bichurin, M.; Dong, S.; Viehland, D.; Srinivasan, G. Multiferroic magnetoelectric composites: Historical perspective, status, and future directions. J. Appl. Phys. 2008, 103, 31101. [Google Scholar]
- Wang, Y.; Hu, J.; Lin, Y.; Nan, C.-W. Multiferroic magnetoelectric composite nanostructures. NPG Asia Mater. 2010, 2, 61–68. [Google Scholar] [CrossRef]
- Bichurin, M.; Petrov, V.; Zakharov, A.; Kovalenko, D.; Yang, S.C.; Maurya, D.; Bedekar, V.; Priya, S. Magnetoelectric lnteractions in lead-based and lead-free composites. Materials 2011, 4, 651–702. [Google Scholar] [CrossRef] [PubMed]
- Scott, J.F. Applications of magnetoelectrics. J. Mater. Chem. 2012, 22, 4567–4574. [Google Scholar] [CrossRef]
- Schoenherr, P.; Giraldo, L.M.; Lilienblum, M.; Trassin, M.; Meier, D.; Fiebig, M. Magnetoelectric force microscopy on antiferromagnetic 180o domains in Cr2O. Materials 2017, 10, 1051. [Google Scholar] [CrossRef] [PubMed]
- Fang, F.; Zhao, C.; Yang, W. Thickness effects on magnetoelectric coupling for Metglas/PZT/Metglas laminates. Sci. Phys. Mech. Astron. 2011, 54, 581–585. [Google Scholar] [CrossRef]
- Lorenz, M.; Wagner, G.; Lazenka, V.; Schwinkendorf, P.; Bonholzer, M.; Van Bael, M.J.; Vantomme, A.; Temst, K.; Oeckler, O.; Grundmann, M.; et al. Correlation of High Magnetoelectric Coupling with Oxygen Vacancy Superstructure in Epitaxial Multiferroic BaTiO3-BiFeO3 Composite Thin Films. Materials 2016, 9, 44. [Google Scholar] [CrossRef] [PubMed]
- Vopson, M.M.; Fetisov, Y.K.; Caruntu, G.; Srinivasan, G. Measurement Techniques of the Magneto-Electric Coupling in Multiferroics. Materials 2017, 10, 963. [Google Scholar] [CrossRef]
- Israel, C.; Mathur, N.D.; Scott, J.F. A one-cent room-temperature magnetoelectric sensor. Nat. Mater. 2008, 7, 93–94. [Google Scholar] [CrossRef]
- Hui, Y.; Nan, T.X.; Sun, N.X.; Rinaldi, M. In MEMS resonant magnetic field sensor based on an AlN/FeGaB bilayer nano-plate resonator. In Proceedings of the 2013 IEEE 26th International Conference on Micro Electro Mechanical Systems (MEMS), Taipei, Taiwan, 20–24 January 2013; pp. 721–724. [Google Scholar]
- Zhu, Y.; Zu, J.W. A Magnetoelectric Generator for Energy Harvesting from the Vibration of Magnetic Levitation. IEEE Trans. Magn. 2012, 48, 3344–3347. [Google Scholar] [CrossRef]
- Bibes, M.; Barthélémy, A. Towards a magnetoelectric memory. Nat. Mater. 2008, 7, 425–426. [Google Scholar] [CrossRef]
- Tatarenko, A.; Bichurin, M. Microwave magnetoelectric devices. Adv. Condens. Matter Phys. 2012, 2012, 286562. [Google Scholar] [CrossRef]
- Leung, C.M.; Li, J.-F.; Viehland, D.; Zhuang, X. A review on applications of magnetoelectric composites: From heterostructural uncooled magnetic sensors, energy harvesters to highly efficient power converters. J. Phys. D Appl. Phys. 2018, 51, 263002. [Google Scholar] [CrossRef]
- Chu, Z.; Annapureddy, V.; PourhosseiniAsl, M.; Palneedi, H.; Ryu, J.; Dong, S. Dual-stimulus magnetoelectric energy harvesting. MRS Bull. 2018, 43, 199–205. [Google Scholar] [CrossRef]
- Annapureddy, V.; Palneedi, H.; Hwang, G.-T.; Peddigari, M.; Jeong, D.-Y.; Yoon, W.-H.; Kim, K.-H.; Ryu, J. Magnetic energy harvesting with magnetoelectrics: An emerging technology for self-powered autonomous systems. Sustain. Fuels 2017, 1, 2039–2052. [Google Scholar] [CrossRef]
- Rambausek, M.; Keip, M.-A. Analytical estimation of non-local deformation-mediated magneto-electric coupling in soft composites. Proc. R. Soc. A Math. Phys. Eng. Sci. 2018, 474, 20170803. [Google Scholar] [CrossRef] [PubMed]
- Zhou, Y.; Maurya, D.; Yan, Y.; Srinivasan, G.; Quandt, E.; Priya, S. Self-Biased Magnetoelectric Composites: An Overview and Future Perspectives. Harvest. Syst. 2016, 3, 1–42. [Google Scholar] [CrossRef]
- Wang, Y.; Weng, G.J. Magnetoelectric Coupling and Overall Properties of a Class of Multiferroic Composites. In Advances in Nanocomposites; Springer: Cham, Germany, 2016; pp. 189–233. [Google Scholar]
- Shi, Y.; Wang, Y. Size-Dependent and Multi-Field Coupling Behavior of Layered Multiferroic Nanocomposites. Materials 2019, 12, 260. [Google Scholar] [CrossRef] [PubMed]
- Zhang, B.; Yu, J.; Elmaimouni, L.; Zhang, X. Magneto-Electric Effect on Guided Waves in Functionally Graded Piezoelectric–Piezomagnetic Fan-Shaped Cylindrical Structures. Materials 2018, 11, 2174. [Google Scholar] [CrossRef]
- Chen, Z.; Su, Y.; Meguid, S.A. The effect of field-orientation on the magnetoelectric coupling in Terfenol-D/PZT/Terfenol-D laminated structure. J. Appl. Phys. 2014, 116, 173910. [Google Scholar] [CrossRef]
- Dong, S.X.; Zhai, J.Y.; Li, J.F.; Viehland, D.; Bichurin, M.I. Magnetoelectric gyration effect in Tb1-xDyxFe2-y/Pb(Zr,Ti)O3 laminated composites at the electromechanical resonance. Appl. Phys. Lett. 2006, 89, 243512. [Google Scholar] [CrossRef]
- Yin, X.; Zhang, N.; Bao, J. Single magnetic field-driven magnetoelectric effect in Tb1–xDyxFe2–yPb(Zr, Ti)O3 laminate composites. Phys. Lett. A 2007, 361, 434–436. [Google Scholar] [CrossRef]
- Dai, X.; Wen, Y.; Li, P.; Yang, J.; Zhang, G. Modeling, characterization and fabrication of vibration energy harvester using Terfenol-D/PZT/Terfenol-D composite transducer. Sens. Actuators A Phys. 2009, 156, 350–358. [Google Scholar] [CrossRef]
- Yao, Y.; Hou, Y.; Dong, S.; Huang, X.; Yu, Q.; Li, X. Influence of magnetic fields on the mechanical loss of Terfenol-D/PbZr0.52Ti0.48O3/Terfenol-D laminated composites. J. Alloys Compd. 2011, 509, 6920–6923. [Google Scholar] [CrossRef]
- Shan, S.C.; Fang, F.; Yang, W. Magnetoelectric coupling of Terfenol-D/P(VDF-TrFe)/Terfenol-D laminates mediated by crystallite size of electroactive polymer. Acta Mech. 2013, 224, 1169–1174. [Google Scholar]
- Pan, D.A.; Zhang, S.G.; Volinsky, A.A.; Qiao, L.J. Shape and size effects on layered Ni/PZT/Ni composites magnetoelectric performance. J. Phys. D Appl. Phys. 2008, 41, 172003. [Google Scholar] [CrossRef]
- Burdin, D.A.; Chashin, D.V.; Ekonomov, N.A.; Fetisov, L.Y.; Fetisov, Y.K.; Sreenivasulu, G.; Srinivasan, G. Nonlinear magneto-electric effects in ferromagnetic-piezoelectric composites. J. Magn. Magn. Mater. 2014, 358, 98–104. [Google Scholar] [CrossRef]
- Zhang, C.L.; Chen, W.Q.; Zhang, C. Magnetoelectric effects in functionally graded multiferroic bilayers. J. Appl. Phys. 2013, 113, 84502. [Google Scholar] [CrossRef]
- Zhou, H.-M.; Chen, Q.; Qu, S.-X.; Li, M.-H. Model of resonance mechanical loss that considers bias field and pre-stress in magnetostricitve/piezoelectric sandwich laminate. J. Alloys Compd. 2015, 631, 165–170. [Google Scholar] [CrossRef]
- Palneedi, H.; Annapureddy, V.; Lee, H.-Y.; Choi, J.-J.; Choi, S.-Y.; Chung, S.-Y.; Kang, S.-J.L.; Ryu, J. Strong and anisotropic magnetoelectricity in composites of magnetostrictive Ni and solid-state grown lead-free piezoelectric BZT–BCT single crystals. J. Ceram. Soc. 2017, 5, 36–41. [Google Scholar] [CrossRef]
- Burdin, D.A.; Ekonomov, N.A.; Chashin, D.V.; Fetisov, L.Y.; Fetisov, Y.K.; Shamonin, M. Temperature Dependence of the Resonant Magnetoelectric Effect in Layered Heterostructures. Materials 2017, 10, 1183. [Google Scholar] [CrossRef]
- Zhang, J.; Kang, Y.; Yu, Y.; Gao, Y. Enhancement of the magnetoelectric coupling in an A-line shape magnetostrictive/piezoelectric structure. Phys. Lett. A 2017, 381, 1–9. [Google Scholar] [CrossRef]
- Bi, K.; Wang, Y.G.; Pan, D.A.; Wu, W. Large magnetoelectric effect in mechanically mediated structure of TbFe2, Pb(Zr,Ti)O3, and nonmagnetic flakes. Appl. Phys. Lett. 2011, 98, 133504. [Google Scholar] [CrossRef]
- Bi, K.; Zhou, J.; Wu, W.; Hong, H. Giant magnetoelectric effect in mechanically mediated composite structure of TbFe2 alloy and Pb(Zr,Ti)O3 ceramics. J. Appl. Phys. 2013, 113, 114504. [Google Scholar] [CrossRef]
- Lu, C.; Li, P.; Wen, Y.; Yang, A.; He, W.; Zhang, J. Enhancement of resonant magnetoelectric effect in magnetostrictive/piezoelectric heterostructure by end bonding. Appl. Phys. Lett. 2013, 102, 132410. [Google Scholar] [CrossRef]
- Zeng, L.; Zhou, M.; Bi, K.; Lei, M. Giant magnetoelectric effect in negative magnetostrictive/piezoelectric/positive magnetostrictive semiring structure. J. Appl. Phys. 2016, 119, 034102. [Google Scholar] [CrossRef]
- Wen, J.-B.; Zhang, J.-J.; Gao, Y.-W. Multiple broadband magnetoelectric response in Terfenol-D/PZT structure. Chin. Phys. B 2018, 27, 027702. [Google Scholar] [CrossRef]
- Wen, J.; Zhang, J.; Gao, Y. A coupling finite element model for analysis the nonlinear dynamic magnetoelectric response of tri-layer laminate composites. Compos. Struct. 2017, 166, 163–176. [Google Scholar] [CrossRef]
- Shen, Y.; Hasanyan, D.; Viehland, D.; Wang, Y.J.; Gao, J.Q.; Li, M.H.; Li, J.F. A review on equivalent magnetic noise of magnetoelectric laminate sensors. Philos. Trans. R. Soc. A Math. Phys. Eng. Sci. 2014, 372, 20120455. [Google Scholar]
- Ma, B.; Herchenroeder, J.; Smith, B.; Suda, M.; Brown, D.; Chen, Z. Recent development in bonded NdFeB magnets. J. Magn. Magn. Mater. 2002, 239, 418–423. [Google Scholar] [CrossRef]
- Pawlowski, B.; Töpfer, J. Permanent magnetic NdFeB thick films. J. Mater. Sci. 2004, 39, 1321–1324. [Google Scholar] [CrossRef]
- Xing, Z.; Xu, K.; Dai, G.; Li, J.; Viehland, D. Giant magnetoelectric torque effect and multicoupling in two phases ferromagnetic/piezoelectric system. J. Appl. Phys. 2011, 110, 104510. [Google Scholar] [CrossRef]
- Zeng, M.; Or, S.W.; Chan, H.L.W. Giant resonance frequency tunable magnetoelectric effect in a device of Pb(Zr0.52Ti0.48)O3 drum transducer, NdFeB magnet, and Fe-core solenoid. Appl. Phys. Lett. 2010, 96, 203502. [Google Scholar] [CrossRef]
- Liu, G.; Li, X.; Chen, J.; Shi, H.; Xiao, W.; Dong, S. Colossal low-frequency resonant magnetomechanical and magnetoelectric effects in a three-phase ferromagnetic/elastic/piezoelectric composite. Appl. Phys. Lett. 2012, 101, 142904. [Google Scholar] [CrossRef]
- Liu, G.; Dong, S. A magneto-mechano-electric coupling equivalent circuit of piezoelectric bimorph/magnets composite cantilever. J. Appl. Phys. 2014, 115, 84112. [Google Scholar] [CrossRef]
- Han, J.; Hu, J.; Wang, S.X.; He, J. Magnetic energy harvesting properties of piezofiber bimorph/NdFeB composites. Appl. Phys. Lett. 2014, 104, 093901. [Google Scholar] [CrossRef]
- Han, J.; Hu, J.; Yang, Y.; Wang, Z.; Wang, S.X.; He, J. A Nonintrusive Power Supply Design for Self-Powered Sensor Networks in the Smart Grid by Scavenging Energy from AC Power Line. IEEE Trans. Ind. Electron. 2015, 62, 4398–4407. [Google Scholar] [CrossRef]
- Zhou, Y.; Apo, D.J.; Priya, S. Dual-phase self-biased magnetoelectric energy harvester. Appl. Phys. Lett. 2013, 103, 192909. [Google Scholar] [CrossRef]
- Ding, R.; Su, X.; Zhang, J.; Gao, Y. Tunability of longitudinal wave band gaps in one dimensional phononic crystal with magnetostrictive material. J. Appl. Phys. 2014, 115, 74104. [Google Scholar] [CrossRef]


















| ME Structure | ABS- Case | ABS+ Case | ABS+- Case | Without NbFeB (HDC = 79.6 kA/m) [34] |
|---|---|---|---|---|
| Response frequencies (kHz) | 25.2, 35.6, 45.0, 48.0, 61.0 | 20.6, 26.2, 32.2, 48.5, 55.2, 59.4, 67.0 | 23.7, 26.4, 32.4, 35.0, 42.8, 45.6 | 21.0, 37.6, 46.1, 57.3, 81.2, 87.0 |
| αE,max (V/A) | 2.724 | 4.142 | 3.173 | 6.877 |
| ME Structure | With NbFeB | Without NbFeB (HDC = 79.6 kA/m) [34] |
|---|---|---|
| Response frequencies (kHz) | 9.7, 21.6, 31.5, 38.7, 46.5, 56.7, 59.7, 72.2, 82.5, 104.0 | 21.0, 29.0, 39.0, 71.5, 83.0, 105.0 |
| Broadband range (kHz) | 65–87 | 65–87 |
© 2019 by the authors. Licensee MDPI, Basel, Switzerland. This article is an open access article distributed under the terms and conditions of the Creative Commons Attribution (CC BY) license (http://creativecommons.org/licenses/by/4.0/).
Share and Cite
Zhang, J.; Kang, Y.; Gao, Y.; Weng, G.J. Experimental Investigation of the Magnetoelectric Effect in NdFeB-Driven A-Line Shape Terfenol-D/PZT-5A Structures. Materials 2019, 12, 1055. https://doi.org/10.3390/ma12071055
Zhang J, Kang Y, Gao Y, Weng GJ. Experimental Investigation of the Magnetoelectric Effect in NdFeB-Driven A-Line Shape Terfenol-D/PZT-5A Structures. Materials. 2019; 12(7):1055. https://doi.org/10.3390/ma12071055
Chicago/Turabian StyleZhang, Juanjuan, Yan Kang, Yuanwen Gao, and George J. Weng. 2019. "Experimental Investigation of the Magnetoelectric Effect in NdFeB-Driven A-Line Shape Terfenol-D/PZT-5A Structures" Materials 12, no. 7: 1055. https://doi.org/10.3390/ma12071055
APA StyleZhang, J., Kang, Y., Gao, Y., & Weng, G. J. (2019). Experimental Investigation of the Magnetoelectric Effect in NdFeB-Driven A-Line Shape Terfenol-D/PZT-5A Structures. Materials, 12(7), 1055. https://doi.org/10.3390/ma12071055

